Strongest Angle-of-Arrival Estimation for Hybrid Millimeter Wave Architecture with 1-Bit A/D Equipped at Transceivers
Abstract
1. Introduction
2. System Model
3. Proposed Strongest AoA Components Estimation Algorithm
3.1. Problem Formulation
3.2. The Design of Quantization Thresholds
| Algorithm 1 Beam Searching for Strongest AoA Components Estimation |
|
3.3. RMSE Performance Metric
| Algorithm 2 Monte Carlo Simulation for |
|
3.4. Approximated 1-Bit CRLB with AQNM
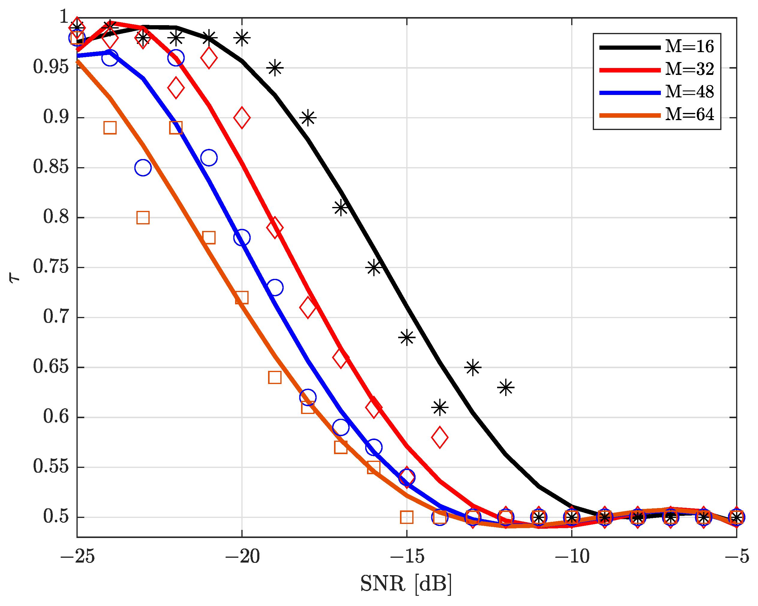
4. Simulation Results and Discussions
5. Conclusions
Author Contributions
Funding
Institutional Review Board Statement
Informed Consent Statement
Data Availability Statement
Conflicts of Interest
References
- Chen, Y.; Chen, D.; Jiang, T. Non-Uniform Quantization Codebook-Based Hybrid Precoding to Reduce Feedback Overhead in Millimeter Wave MIMO Systems. IEEE Trans. Commun. 2019, 67, 2779–2791. [Google Scholar] [CrossRef]
- Hemadeh, I.A.; Satyanarayana, K.; El-Hajjar, M.; Hanzo, L. Millimeter-Wave Communications: Physical Channel Models, Design Considerations, Antenna Constructions, and Link-Budget. IEEE Commun. Surv. Tutor. 2018, 20, 870–913. [Google Scholar] [CrossRef]
- Wang, C.X.; Haider, F.; Gao, X.; You, X.H.; Yang, Y.; Yuan, D.; Aggoune, H.M.; Haas, H.; Fletcher, S.; Hepsaydir, E. Cellular architecture and key technologies for 5G wireless communication networks. IEEE Commun. Mag. 2014, 52, 122–130. [Google Scholar] [CrossRef]
- Fan, D.; Gao, F.; Liu, Y.; Deng, Y.; Wang, G.; Zhong, Z.; Nallanathan, A. Angle Domain Channel Estimation in Hybrid Millimeter Wave Massive MIMO Systems. IEEE Trans. Wirel. Commun. 2018, 17, 8165–8179. [Google Scholar] [CrossRef]
- Niu, Y.; Li, Y.; Jin, D.; Su, L.; Vasilakos, A.V. A survey of millimeter wave communications (mmWave) for 5G: Opportunities and challenges. Wirel. Netw. 2015, 21, 2657–2676. [Google Scholar] [CrossRef]
- Prasad, K.N.R.S.V.; Hossain, E.; Bhargava, V.K. Energy Efficiency in Massive MIMO-Based 5G Networks: Opportunities and Challenges. IEEE Wirel. Commun. 2017, 24, 86–94. [Google Scholar] [CrossRef]
- Li, A.; Masouros, C. Hybrid Analog-Digital Millimeter-Wave MU-MIMO Transmission with Virtual Path Selection. IEEE Commun. Lett. 2017, 21, 438–441. [Google Scholar] [CrossRef]
- Castanheira, D.; Lopes, P.; Silva, A.; Gameiro, A. Hybrid Beamforming Designs for Massive MIMO Millimeter-Wave Heterogeneous Systems. IEEE Access 2017, 5, 21806–21817. [Google Scholar] [CrossRef]
- Ulgen, O.; Ozmat, U.; Gunaydin, E. Hybrid Implementation of Millimeter Wave and Visible Light Communications for 5G Networks. In Proceedings of the 2018 26th Telecommunications Forum (TELFOR), Belgrade, Serbia, 20–21 November 2018; pp. 1–4. [Google Scholar]
- Elbir, A.M.; Papazafeiropoulos, A.K. Hybrid Precoding for Multiuser Millimeter Wave Massive MIMO Systems: A Deep Learning Approach. IEEE Trans. Veh. Technol. 2020, 69, 552–563. [Google Scholar] [CrossRef]
- Gao, S.; Cheng, X.; Yang, L. Estimating Doubly-Selective Channels for Hybrid mmWave Massive MIMO Systems: A Doubly-Sparse Approach. IEEE Trans. Wirel. Commun. 2020, 19, 5703–5715. [Google Scholar] [CrossRef]
- Li, A.; Masouros, C.; Swindlehurst, A.L.; Yu, W. 1-Bit Massive MIMO Transmission: Embracing Interference with Symbol-Level Precoding. IEEE Commun. Mag. 2021, 59, 121–127. [Google Scholar] [CrossRef]
- Dang, H.N.; Nguyen, T.V.; Nguyen, H.T. Improve Uplink Achievable Rate for Massive MIMO Systems with Low-Resolution ADCs. In Proceedings of the IEEE 8th International Conference on Communications and Electronics (ICCE), Phu Quoc Island, Vietnam, 13–15 January 2021; pp. 99–104. [Google Scholar]
- Kaushik, A.; Tsinos, C.; Vlachos, E.; Thompson, J. Energy Efficient ADC Bit Allocation and Hybrid Combining for Millimeter Wave MIMO Systems. In Proceedings of the 2019 IEEE Global Communications Conference (GLOBECOM), Waikoloa, HI, USA, 9–13 December 2019; pp. 1–6. [Google Scholar]
- Kulsoom, F.; Vizziello, A.; Chaudhry, H.N.; Savazzi, P. Joint Sparse Channel Recovery With Quantized Feedback for Multi-User Massive MIMO Systems. IEEE Access 2020, 8, 11046–11060. [Google Scholar] [CrossRef]
- Nguyen, L.V.; Swindlehurst, A.L.; Nguyen, D.H.N. SVM-Based Channel Estimation and Data Detection for One-Bit Massive MIMO Systems. IEEE Trans. Signal Process. 2021, 69, 2086–2099. [Google Scholar] [CrossRef]
- Gallyas-Sanhueza, A.; Mirfarshbafan, S.H.; Ghods, R.; Studer, C. Sparsity-Adaptive Beamspace Channel Estimation for 1-Bit mmWave Massive MIMO Systems. In Proceedings of the 2020 IEEE 21st International Workshop on Signal Processing Advances in Wireless Communications (SPAWC), Atlanta, GA, USA, 26–29 May 2020; pp. 1–5. [Google Scholar]
- Zhang, Y.; Alrabeiah, M.; Alkhateeb, A. Deep Learning for Massive MIMO With 1-Bit ADCs: When More Antennas Need Fewer Pilots. IEEE Wirel. Commun. Lett. 2020, 9, 1273–1277. [Google Scholar] [CrossRef]
- Askerbeyli, F.; Xu, W.; Nossek, J.A. 1-Bit Precoding for Massive MIMO Downlink with Linear Programming and a Greedy Algorithm Extension. In Proceedings of the 2021 IEEE 93rd Vehicular Technology Conference (VTC2021-Spring), Helsinki, Finland, 25–28 April 2021; pp. 1–5. [Google Scholar]
- Li, A.; Liu, F.; Masouros, C.; Li, Y.; Vucetic, B. Interference Exploitation 1-Bit Massive MIMO Precoding: A Partial Branch-and-Bound Solution With Near-Optimal Performance. IEEE Trans. Wirel. Commun. 2020, 19, 3474–3489. [Google Scholar] [CrossRef]
- Mo, J.; Schniter, P.; Prelcic, N.G.; Heath, R.W. Channel estimation in millimeter wave MIMO systems with one-bit quantization. In Proceedings of the Asilomar Conf. on Signals Systems and Computers, Pacific Grove, CA, USA, 2–5 November 2014; pp. 957–961. [Google Scholar]
- Li, A.; Masouros, C. Hybrid Massive MIMO Unlicensed Transmission with 1-Bit Quantization. In Proceedings of the 2017 IEEE Globecom Workshops (GC Wkshps), Singapore, 4–8 December 2017; pp. 1–6. [Google Scholar]
- Hur, S.; Kim, T.; Love, D.J.; Krogmeier, J.V.; Thomas, T.A.; Ghosh, A. Millimeter Wave Beamforming for Wireless Backhaul and Access in Small Cell Networks. IEEE Trans. Commun. 2013, 61, 4391–4403. [Google Scholar] [CrossRef]
- Sohrabi, F.; Yu, W. Hybrid Digital and Analog Beamforming Design for Large-Scale Antenna Arrays. IEEE J. Sel. Top. Signal Process. 2016, 10, 501–513. [Google Scholar] [CrossRef]
- Liu, C.; Li, M.; Hanly, S.V.; Whiting, P.; Collings, I.B. Millimeter-Wave Small Cells: Base Station Discovery, Beam Alignment, and System Design Challenges. IEEE Wirel. Commun. 2018, 25, 40–46. [Google Scholar] [CrossRef]
- Liu, C.; Li, M.; Hanly, S.V.; Collings, I.B.; Whiting, P. Millimeter Wave Beam Alignment: Large Deviations Analysis and Design Insights. IEEE J. Sel. Areas Commun. 2017, 35, 1619–1631. [Google Scholar] [CrossRef]
- Li, M.; Liu, C.; Hanly, S.V.; Collings, I.B.; Whiting, P. Explore and Eliminate: Optimized Two-Stage Search for Millimeter-Wave Beam Alignment. IEEE Trans. Wirel. Commun. 2019, 18, 4379–4393. [Google Scholar] [CrossRef]
- Liu, C.; Li, M.; Zhao, L.; Whiting, P.; Hanly, S.V.; Collings, I.B. Millimeter-Wave Beam Search With Iterative Deactivation and Beam Shifting. IEEE Trans. Wirel. Commun. 2020, 19, 5117–5131. [Google Scholar] [CrossRef]
- Mo, J.; Schniter, P.; Heath, R.W. Channel Estimation in Broadband Millimeter Wave MIMO Systems With Few-Bit ADCs. IEEE Trans. Signal Process. 2018, 66, 1141–1154. [Google Scholar] [CrossRef]
- Yoffe, I.; Regev, N.; Wulich, D. On Direction of Arrival Estimation with 1-bit Quantizer. In Proceedings of the 2019 IEEE Radar Conference (RadarConf), Boston, MA, USA, 22–26 April 2019; pp. 1–6. [Google Scholar]
- Liu, C.; Li, M.; Collings, I.B.; Hanly, S.V.; Whiting, P. Design and Analysis of Transmit Beamforming for Millimeter Wave Base Station Discovery. IEEE Trans. Wirel. Commun. 2017, 16, 797–811. [Google Scholar] [CrossRef]
- Zhao, L.; Ng, D.W.K.; Yuan, J. Multi-User Precoding and Channel Estimation for Hybrid Millimeter Wave Systems. IEEE J. Sel. Areas Commun. 2017, 35, 1576–1590. [Google Scholar] [CrossRef]
- Zhao, L.; Wei, Z.; Ng, D.W.K.; Yuan, J.; Reed, M.C. Multi-Cell Hybrid Millimeter Wave Systems: Pilot Contamination and Interference Mitigation. IEEE Trans. Commun. 2018, 66, 5740–5755. [Google Scholar] [CrossRef]
- MacCartney, G.R.; Rappaport, T.S. A Flexible Millimeter-Wave Channel Sounder With Absolute Timing. IEEE J. Sel. Areas Commun. 2017, 35, 1402–1418. [Google Scholar] [CrossRef]
- Raghavan, V.; Partyka, A.; Sampath, A.; Subramanian, S.; Koymen, O.H.; Ravid, K.; Cezanne, J.; Mukkavilli, K.; Li, J. Millimeter-Wave MIMO Prototype: Measurements and Experimental Results. IEEE Commun. Mag. 2018, 56, 202–209. [Google Scholar] [CrossRef]
- Ko, J.; Cho, Y.J.; Hur, S.; Kim, T.; Park, J.; Molisch, A.F.; Haneda, K.; Peter, M.; Park, D.J.; Cho, D.H. Millimeter-Wave Channel Measurements and Analysis for Statistical Spatial Channel Model in In-Building and Urban Environments at 28 GHz. IEEE Trans. Wirel. Commun. 2017, 16, 5853–5868. [Google Scholar] [CrossRef]
- Hur, S.; Baek, S.; Kim, B.; Chang, Y.; Molisch, A.F.; Rappaport, T.S.; Haneda, K.; Park, J. Proposal on Millimeter-Wave Channel Modeling for 5G Cellular System. IEEE J. Sel. Top. Signal Process. 2016, 10, 454–469. [Google Scholar] [CrossRef]
- Richards, M.A. Fundamentals of Radar Signal Processing, 2nd ed.; McGraw-Hill Education: New York, NY, USA, 2014. [Google Scholar]
- Zhu, J.; Lin, X.; Blum, R.S.; Gu, Y. Parameter Estimation From Quantized Observations in Multiplicative Noise Environments. IEEE Trans. Signal Process. 2015, 63, 4037–4050. [Google Scholar] [CrossRef]
- Xiong, J.; Wang, W.Q.; Gao, K. FDA-MIMO Radar Range–Angle Estimation: CRLB, MSE, and Resolution Analysis. IEEE Trans. Aerosp. Electron. Syst. 2018, 54, 284–294. [Google Scholar] [CrossRef]
- Shi, B.; Chen, N.; Zhu, X.; Qian, Y.; Zhang, Y.; Shu, F.; Wang, J. Impact of Low-Resolution ADC on DOA Estimation Performance for Massive MIMO Receive Array. IEEE Syst. J. 2022, 1–4. [Google Scholar] [CrossRef]
- Mezghani, A.; Nossek, J.A. Capacity lower bound of MIMO channels with output quantization and correlated noise. In Proceedings of the IEEE International Symposium on Information Theory (ISIT), Cambridge, MA, USA, 1–6 July 2012; pp. 1–5. [Google Scholar]







| Case 1: Low SNR Regimes | |||||||||||
|---|---|---|---|---|---|---|---|---|---|---|---|
| SNR [dB] | −25 | −24 | −23 | −22 | −21 | −20 | −19 | −18 | −17 | −16 | −15 |
| 0.98 | 0.89 | 0.80 | 0.89 | 0.78 | 0.72 | 0.64 | 0.61 | 0.57 | 0.55 | 0.54 | |
| 10.40 | 10.36 | 10.34 | 9.97 | 9.78 | 9.49 | 9.05 | 8.52 | 7.89 | 7.21 | 6.51 | |
| Case 2: Medium-to-High SNR Regimes | |||||||||||
| SNR [dB] | −14 | −13 | −12 | −11 | −10 | −9 | −8 | −7 | −6 | −5 | |
| 0.50 | 0.50 | 0.50 | 0.50 | 0.50 | 0.50 | 0.50 | 0.50 | 0.50 | 0.50 | ||
| 4.55 | 3.82 | 3.20 | 2.73 | 2.41 | 2.13 | 1.83 | 1.63 | 1.55 | 1.55 | ||
Publisher’s Note: MDPI stays neutral with regard to jurisdictional claims in published maps and institutional affiliations. |
© 2022 by the authors. Licensee MDPI, Basel, Switzerland. This article is an open access article distributed under the terms and conditions of the Creative Commons Attribution (CC BY) license (https://creativecommons.org/licenses/by/4.0/).
Share and Cite
Li, R.; Zhao, L.; Liu, C.; Bi, M. Strongest Angle-of-Arrival Estimation for Hybrid Millimeter Wave Architecture with 1-Bit A/D Equipped at Transceivers. Sensors 2022, 22, 3140. https://doi.org/10.3390/s22093140
Li R, Zhao L, Liu C, Bi M. Strongest Angle-of-Arrival Estimation for Hybrid Millimeter Wave Architecture with 1-Bit A/D Equipped at Transceivers. Sensors. 2022; 22(9):3140. https://doi.org/10.3390/s22093140
Chicago/Turabian StyleLi, Ruihan, Lou Zhao, Chunshan Liu, and Meihua Bi. 2022. "Strongest Angle-of-Arrival Estimation for Hybrid Millimeter Wave Architecture with 1-Bit A/D Equipped at Transceivers" Sensors 22, no. 9: 3140. https://doi.org/10.3390/s22093140
APA StyleLi, R., Zhao, L., Liu, C., & Bi, M. (2022). Strongest Angle-of-Arrival Estimation for Hybrid Millimeter Wave Architecture with 1-Bit A/D Equipped at Transceivers. Sensors, 22(9), 3140. https://doi.org/10.3390/s22093140

