Research on Measurement Principle and Key Measuring Devices of Pressure Change Rate for Electronically Controlled Pneumatic Brake of Commercial Vehicle Based on Poiseuille’s Law
Abstract
:1. Introduction
2. Measurement Principle and Verification of Pressure Change Rate for Electronically Controlled Pneumatic Brake of Commercial Vehicle Based on Poiseuille’s Law
2.1. Measurement Principle of Pressure Change Rate for Electronically Controlled Pneumatic Brake of Commercial Vehicle Based on Poiseuille’s Law
2.2. Laminar Flow Resistance Tube for Measuring Pressure Change Rate for Electronically Controlled Pneumatic Brake of Commercial Vehicle
2.3. Measurement Principle Verification of Pressure Change Rate for Electronically Controlled Pneumatic Brake of Commercial Vehicle
3. Measurement Oriented Simulation Model of Pressure Change Rate for Electronically Controlled Pneumatic Brake of Commercial Vehicle
3.1. Simulation Model of Brake Chamber Inflation Process
3.2. Simulation Model of Brake Pressure Change Rate Ignoring Temperature Change
4. Design and Analysis of Key Measuring Devices of Pressure Change Rate for Electronically Controlled Pneumatic Brake of Commercial Vehicle
4.1. Structural Parameter Design of Isothermal Container
4.2. Analysis of Copper Wire Filling Density of Isothermal Container
4.3. Structural Parameter Design of Laminar Flow Resistance Tube
5. Experimental Verification of Key Measuring Devices of Pressure Change Rate for Electronically Controlled Pneumatic Brake of Commercial Vehicle
5.1. Simulation Model of Brake Pressure Change Rate Considering Temperature Change
5.2. Pressure Change Rate Test Platform for Electronically Controlled Pneumatic Brake of Commercial Vehicle
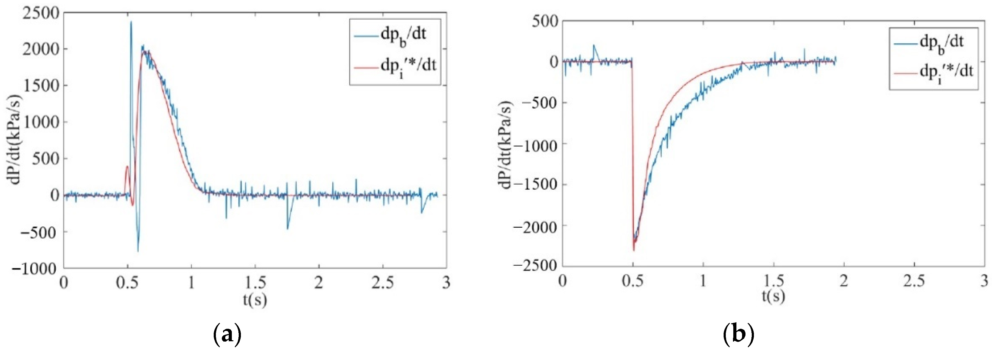
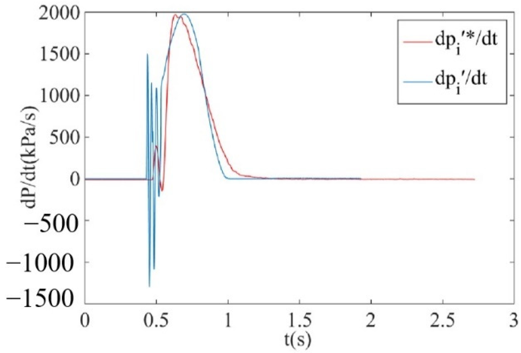
5.3. Test Results Analysis of Key Measuring Devices of the Pressure Change Rate for Electronically Controlled Pneumatic Brake of Commercial Vehicle
6. Conclusions
Author Contributions
Funding
Acknowledgments
Conflicts of Interest
Nomenclature
| Symbol | Meaning | Unit |
| The pressure in the brake chamber. | Pa | |
| The pressure in the isothermal container. | Pa | |
| The pressure difference between the brake chamber and the isothermal container. | Pa | |
| The volume flow into the isothermal container. | L/s | |
| The gas flow into the isothermal container. | kg/s | |
| Volume of isothermal container. | m3 | |
| Gas constant. | J/(kg·K) | |
| Gas mass in isothermal container. | kg | |
| Temperature in isothermal container. | K | |
| Ambient temperature. | K | |
| Atmospheric pressure. | Pa | |
| Atmospheric density. | kg/m3 | |
| Gas viscosity coefficient. | Pa·s | |
| Number of laminar flow channels. | — | |
| Radius of laminar flow channel. | mm | |
| Length of laminar flow channel. | mm | |
| Reynolds number. | — | |
| Response time constant. | s | |
| Specific heat at constant volume. | J/(kg·K) | |
| Specific heat at constant pressure. | J/(kg·K) | |
| Heat transfer coefficient of isothermal container. | W/(m2·K) | |
| Heat exchange area of isothermal container. | m2 | |
| Pressure in isothermal container in actual measurement. | Pa | |
| Gas mass in isothermal container in actual measurement. | kg | |
| Mass flow in actual measurement. | kg/s | |
| Actual measured differential pressure. | Pa |
References
- Chu, L.; Ou, Y.; Zhang, Y.S. The mechanism study of ABS hydraulic control system brake pressure change rate. In Proceedings of the International Conference on Computer Engineering and Technology, Chengdu, China, 16–18 April 2010. [Google Scholar]
- Li, X.; Zhao, L.; Zhou, C.; Li, X.; Li, H. Pneumatic ABS Modeling and Failure Mode Analysis of Electromagnetic and Control Valves for Commercial Vehicles. Electronics 2020, 9, 318. [Google Scholar] [CrossRef] [Green Version]
- Hu, J.; Liu, Y.D.; Li, X.L.; Yang, F.; Li, G.Y. Research on Large-Scale Vehicle of Electropneumatic Brake Pressure Change Rate for Braking Ride Comfort. In Proceedings of the 20th COTA International Conference of Transportation Professionals, Xi’an, China, 8–14 December 2020. [Google Scholar]
- Devika, K.B.; Sridhar, N.; Patil, H. Delay compensated pneumatic brake controller for heavy road vehicle active safety systems. Proc. Inst. Mech. Eng. C-J. Mech. 2020, 235, 2333–2346. [Google Scholar] [CrossRef]
- ISO 6358; Pneumatic Fluid Power—Components Using Compressible Fluids—Determination of Flow-Rate Characteristics. ISO: Geneva, Switzerland, 2013.
- JIS B8390; Pneumatic Fluid Power—Components Using Compressible Fluids—Determination of Flow-Rate Characteristics. JIS: Tokyo, Japan, 2000.
- Baragh, S.; Shokouhmand, H.; Ajarostaghi, S. An experimental investigation on forced convection heat transfer of single-phase flow in a channel with different arrangements of porous media. Int. J. Therm. Sci. 2018, 134, 370–379. [Google Scholar] [CrossRef]
- Wang, T.; Peng, G.Z.; Kagawa, T. Determination of Flow-rate Characteristics for Pneumatic Components Using a Quasi-isothermal Tank with Temperature Compensation. Meas. Sci. Technol. 2010, 21, 65402–65411. [Google Scholar] [CrossRef]
- Yevtushenko, A.; Kuciej, M.; Och, E. Modeling of the temperature regime and stress state in the thermal sensitive pad-disk brake system. Adv. Mech. Eng. 2018, 10, 1–12. [Google Scholar] [CrossRef]
- Yang, L.H.; Shen, H.M. Effect of porous media distribution in isothermal vessel on enhanced heat conduction and isothermal properties. Chin. J. Mech. Eng. 2017, 53, 146–152. [Google Scholar] [CrossRef]
- Wu, S.H.; Zhang, Y.C.; Liu, S.T. Topology optimization for minimizing the maximum temperature of transient heat conduction structure. Struct. Multidiscip. Optim. 2019, 60, 69–82. [Google Scholar] [CrossRef]
- Bobovnik, G.; Kutin, J. Numerical study of the fluid-dynamic loading on pipes conveying fluid with a laminar velocity profile. J. Fluids Struct. 2018, 80, 441–450. [Google Scholar] [CrossRef]
- Wang, X.L.; Zhang, S.F.; Chen, Y.C. Research on Rapid Response Flow Measurement Technology Based on Laminar Flow Meter. In Proceedings of the 9th International Conference on Mechanical and Aerospace Engineering (ICMAE), Budapest, Hungary, 10–13 July 2018. [Google Scholar]
- Jiang, Y.L. Study on Weight Function Distribution of Hybrid Gas-Liquid Two-Phase Flow Electromagnetic Flowmeter. Sensors 2020, 20, 1431. [Google Scholar] [CrossRef] [PubMed] [Green Version]
- Li, F.B.; Li, Q.; Wang, D.X. Fluid Mechanics; Metallurgical Industry Press: Beijing, China, 2017. [Google Scholar]
- Ye, Q.; Meng, G.X.; Xie, W.H. Establishment and analysis of heat transfer model of isothermal container. Hydraul. Pneum. 2007, 1, 22–25. [Google Scholar]
- Bao, H.W.; Wang, Z.Y.; Liu, Z.H. Study on Pressure Change Rate of the Automatic Pressure Regulating Valve in the Electronic-Controlled Pneumatic Braking System of Commercial Vehicle. Processes 2021, 9, 938–955. [Google Scholar] [CrossRef]
- Hu, D.W.; Li, G.Y.; Zhu, G.M. A Control-Oriented Linear Parameter-Varying Model of a Commercial Vehicle Air Brake System. Appl. Sci. 2020, 10, 4589–4609. [Google Scholar] [CrossRef]
- Drozdov, E.; Kuzmichev, E. Improvement of Automatic Pneumatic Car Brakes. In Proceedings of the 8th International Scientific Siberian Transport Forum (TransSiberia), Novosibirsk, Russia, 22–27 May 2019. [Google Scholar]
- Kaminski, Z.; Kulikowski, K. Impact of a modified braking valve for static and dynamic characteristics of pneumatic braking systems of agricultural trailers. Int. J. Heavy Veh. Syst. 2021, 28, 291–307. [Google Scholar] [CrossRef]
- Matveev, V.; Novikova, Y.; Popov, G.; Baturin, O. Design and Operational Development a Pneumatic Braking System for a Gas-Turbine Units Test Bench. In Proceedings of the ASME Turbine Technical Conference and Exposition (Turbo Expo), Charlotte, NC, USA, 26–30 June 2017. [Google Scholar]




















| Parameter | Parameter Name | Value | Unit |
|---|---|---|---|
| ρa | Atmospheric density | 1.185 | kg/m3 |
| θa | Ambient temperature | 293 | K |
| b | Critical pressure ratio | 0.38 | — |
| R | Gas constant | 287 | J/(kg·K) |
| cv | Specific heat of fixed product | 718 | J/(kg·K) |
| hb | Heat transfer coefficient | 30 | W/(m2·K) |
| xb0 | Initial displacement of piston disc | 0.0027 | m |
| Db | Diameter of diaphragm in contact with clamp | 0.21 | m |
| db | Contact diameter between diaphragm and piston disc | 0.16 | m |
| mb | Total mass of piston disc and push rod | 0.53 | kg |
| kb | Spring elasticity coefficient | 3000 | N/m |
| Fb0 | Initial deformation force of diaphragm | 10 | N |
| sb | Stroke of push rod | 0.08 | m |
| Type | A | B | C | D |
|---|---|---|---|---|
| Mass of filled copper wire per cubic meter (kg/m3) | 100 | 200 | 300 | 400 |
| Filling Density | ||||
|---|---|---|---|---|
| Type | A | B | C | D |
| Pressure difference (MPa) | 0.0548 | 0.1123 | 0.2106 | 0.2327 |
| Type | ISO | A | B | C | D | |
|---|---|---|---|---|---|---|
| Sonic conductance | 1.1 | Measured value | 1.1320 | 1.1069 | 1.1017 | 1.1059 |
| Ci [m3/(s·bar)] | error (%) | 2.91% | 0.63% | 0.15% | 0.54% |
Publisher’s Note: MDPI stays neutral with regard to jurisdictional claims in published maps and institutional affiliations. |
© 2022 by the authors. Licensee MDPI, Basel, Switzerland. This article is an open access article distributed under the terms and conditions of the Creative Commons Attribution (CC BY) license (https://creativecommons.org/licenses/by/4.0/).
Share and Cite
Hu, J.; Yan, M.; Yang, R.; Yang, F.; Li, G. Research on Measurement Principle and Key Measuring Devices of Pressure Change Rate for Electronically Controlled Pneumatic Brake of Commercial Vehicle Based on Poiseuille’s Law. Sensors 2022, 22, 3023. https://doi.org/10.3390/s22083023
Hu J, Yan M, Yang R, Yang F, Li G. Research on Measurement Principle and Key Measuring Devices of Pressure Change Rate for Electronically Controlled Pneumatic Brake of Commercial Vehicle Based on Poiseuille’s Law. Sensors. 2022; 22(8):3023. https://doi.org/10.3390/s22083023
Chicago/Turabian StyleHu, Jian, Min Yan, Rui Yang, Fan Yang, and Gangyan Li. 2022. "Research on Measurement Principle and Key Measuring Devices of Pressure Change Rate for Electronically Controlled Pneumatic Brake of Commercial Vehicle Based on Poiseuille’s Law" Sensors 22, no. 8: 3023. https://doi.org/10.3390/s22083023
APA StyleHu, J., Yan, M., Yang, R., Yang, F., & Li, G. (2022). Research on Measurement Principle and Key Measuring Devices of Pressure Change Rate for Electronically Controlled Pneumatic Brake of Commercial Vehicle Based on Poiseuille’s Law. Sensors, 22(8), 3023. https://doi.org/10.3390/s22083023

