Improved Metaheuristics-Based Clustering with Multihop Routing Protocol for Underwater Wireless Sensor Networks
Abstract
1. Introduction
2. Literature Review
3. The Proposed Model
3.1. Energy Model
3.2. Process Involved in CKHA-Based Clustering Technique
- Foraging behaviour.
- Motion impacted by other krill.
- Physical diffusion.
3.3. Process Involved in SA-GSO-Based Multihop Routing
| Algorithm 1: Pseudocode of GSO Algorithm. |
| Initialization: m dimension Initialization: n glowworms Let s be step size Let indicates the location of glow-worm t at time instant t Deploy agents in an arbitrary way for Consider highest number of iterations assume while do: { for every glowworm i do for every glow-worm i do { for every glow-worm do: } } |
4. Experimental Validation
5. Conclusions
Author Contributions
Funding
Institutional Review Board Statement
Informed Consent Statement
Data Availability Statement
Acknowledgments
Conflicts of Interest
References
- Xiao, X.; Huang, H. A clustering routing algorithm based on improved ant colony optimization algorithms for underwater wireless sensor networks. Algorithms 2020, 13, 250. [Google Scholar] [CrossRef]
- Neelakandan, S. A gradient boosted decision tree-based sentiment classification of twitter data. Int. J. Wavelets Multiresolut. Inf. Process. 2020, 18, 205027. [Google Scholar] [CrossRef]
- Xing, G.; Chen, Y.; He, L.; Su, W.; Hou, R.; Li, W.; Zhang, C.; Chen, X. Energy consumption in relay underwater acoustic sensor networks for NDN. IEEE Access 2019, 7, 42694–42702. [Google Scholar] [CrossRef]
- Paulraj, D. An automated exploring and learning model for data prediction using balanced CA-SVM. J. Ambient. Intell. Humaniz. Comput. 2020, 12, 4979–4990. [Google Scholar]
- Ahmed, G.; Zhao, X.; Fareed, M.M.S.; Fareed, M.Z. An energy-efficient redundant transmission control clustering approach for underwater acoustic networks. Sensors 2019, 19, 4241. [Google Scholar] [CrossRef] [PubMed]
- Tripathi, S. IoT-based traffic prediction and traffic signal control system for smart city. Soft Comput. 2021, 25, 12241–12248. [Google Scholar] [CrossRef]
- Wang, K.; Gao, H.; Xu, X.; Jiang, J.; Yue, D. An energy-efficient reliable data transmission scheme for complex environmental monitoring in underwater acoustic sensor networks. IEEE Sens. J. 2016, 16, 4051–4062. [Google Scholar] [CrossRef]
- Kamalraj, R.; Neelakandan, S.; Kumar, M.R.; Rao, V.C.S.; Anand, R.; Singh, H. Interpretable filter based convolutional neural network (IF-CNN) for glucose prediction and classification using PD-SS algorithm. Measurement 2021, 183, 109804. [Google Scholar] [CrossRef]
- Aloui, M.; Hamidi, F.; Jerbi, H.; Omri, M.; Popescu, D.; Abbassi, R. A chaotic krill herd optimization algorithm for global numerical estimation of the attraction domain for nonlinear systems. Mathematics 2021, 9, 1743. [Google Scholar] [CrossRef]
- Zhou, Z.; Peng, Z.; Cui, J.; Jiang, Z. Handling triple hidden terminal problems for multichannel MAC in long-delay underwater sensor networks. IEEE Trans. Mob. Comput. 2012, 11, 139–154. [Google Scholar] [CrossRef]
- Yahya, A.; Islam, S.U.; Zahid, M.; Ahmed, G.; Raza, M.; Pervaiz, H.; Yang, F. Cooperative routing for energy efficient underwater wireless sensor networks. IEEE Access 2019, 7, 141888–141899. [Google Scholar] [CrossRef]
- Rayen, S.J.; Arunajsmine, J. Social media networks owing to disruptions for effective learning. Procedia Comput. Sci. 2020, 172, 145–151. [Google Scholar] [CrossRef]
- Li, P.; Wang, S.; Zhang, H.; Zhang, E. Improved particle swarm optimization algorithm of clustering in underwater acoustic sensor networks. In Proceedings of the IEEE OCEANS 2017, Aberdeen, UK, 19–22 June 2017; pp. 1–7. [Google Scholar]
- Yu, W.; Chen, Y.; Wan, L.; Zhang, X.; Zhu, P.; Xu, X. An energy optimization clustering scheme for multi-hop underwater acoustic cooperative sensor networks. IEEE Access 2020, 8, 89171–89184. [Google Scholar] [CrossRef]
- Wang, M.; Chen, Y.; Sun, X.; Xiao, F.; Xu, X. Node energy consumption balanced multi-hop transmission for underwater acoustic sensor networks based on clustering algorithm. IEEE Access 2020, 8, 191231–191241. [Google Scholar] [CrossRef]
- Zhang, W.; Wang, J.; Han, G.; Zhang, X.; Feng, Y. A cluster sleep-wake scheduling algorithm based on 3D topology control in underwater sensor networks. Sensors 2019, 19, 156. [Google Scholar] [CrossRef]
- Bouabdallah, F.; Zidi, C.; Boutaba, R. Joint routing and energy management in underwater acoustic sensor networks. IEEE Trans. Netw. Serv. Manag. 2017, 14, 456–471. [Google Scholar] [CrossRef]
- Zhang, J.; Cai, M.; Han, G.; Qian, Y.; Shu, L. Cellular clustering-based interference-aware data transmission protocol for underwater acoustic sensor networks. IEEE Trans. Veh. Technol. 2020, 69, 3217–3230. [Google Scholar] [CrossRef]
- Subramani, N.; Mohan, P.; Alotaibi, Y.; Alghamdi, S.; Khalaf, O.I. An Efficient Metaheuristic-Based Clustering with Routing Protocol for Underwater Wireless Sensor Networks. Sensors 2022, 22, 415. [Google Scholar] [CrossRef]
- Alotaibi, Y.; Subahi, A.F. New goal-oriented requirements extraction framework for e-health services: A case study of diagnostic testing during the COVID-19 outbreak. Bus. Process. Manag. J. 2021, 28, 273–292. [Google Scholar] [CrossRef]
- Rajendran, S.; Khalaf, O.I.; Alotaibi, Y.; Alghamdi, S. MapReduce-based big data classification model using feature subset selection and hyperparameter tuned deep belief network. Sci. Rep. 2021, 11, 24138. [Google Scholar] [CrossRef]
- Srilakshmi, U.; Veeraiah, N.; Alotaibi, Y.; Alghamdi, S.A.; Khalaf, O.I.; Subbayamma, B.V. An improved hybrid secure multipath routing protocol for MANET. IEEE Access 2021, 9, 163043–163053. [Google Scholar] [CrossRef]
- Rout, R.; Parida, P.; Alotaibi, Y.; Alghamdi, S.; Khalaf, O.I. Skin lesion extraction using multiscale morphological local variance reconstruction based watershed transform and fast fuzzy c-means clustering. Symmetry 2021, 13, 2085. [Google Scholar] [CrossRef]
- Veeraiah, N.; Khalaf, O.I.; Prasad, C.V.P.R.; Alotaibi, Y.; Alsufyani, A.; Alghamdi, S.A.; Alsufyani, N. Trust aware secure energy efficient hybrid protocol for manet. IEEE Access 2021, 9, 120996–121005. [Google Scholar] [CrossRef]
- Bharany, S.; Sharma, S.; Badotra, S.; Khalaf, O.I.; Alotaibi, Y.; Alghamdi, S.; Alassery, F. Energy-efficient clustering scheme for flying ad-hoc networks using an optimized LEACH protocol. Energies 2021, 14, 6016. [Google Scholar] [CrossRef]
- Palanisamy, S.; Thangaraju, B.; Khalaf, O.I.; Alotaibi, Y.; Alghamdi, S.; Alassery, F. A novel approach of design and analysis of a hexagonal fractal antenna array (hfaa) for next-generation wireless communication. Energies 2021, 14, 6204. [Google Scholar] [CrossRef]
- Alotaibi, Y. A new database intrusion detection approach based on hybrid meta-heuristics. CMC-Comput. Mater. Contin. 2021, 66, 1879–1895. [Google Scholar] [CrossRef]
- Suryanarayana, G.; Chandran, K.; Khalaf, O.I.; Alotaibi, Y.; Alsufyani, A.; Alghamdi, S.A. Accurate magnetic resonance image super-resolution using deep networks and gaussian filtering in the stationary wavelet domain. IEEE Access 2021, 9, 71406–71417. [Google Scholar] [CrossRef]
- Li, G.; Liu, F.; Sharma, A.; Khalaf, O.I.; Alotaibi, Y.; Alsufyani, A.; Alghamdi, S. Research on the natural language recognition method based on cluster analysis using neural network. Math. Probl. Eng. 2021, 2021, 9982305. [Google Scholar] [CrossRef]
- Yadav, S.; Kumar, V. Optimal clustering in underwater wireless sensor networks: Acoustic, EM and FSO communication compliant technique. IEEE Access 2017, 5, 12761–12776. [Google Scholar] [CrossRef]
- Alsufyani, A.; Alotaibi, Y.; Almagrabi, A.O.; Alghamdi, S.A.; Alsufyani, N. Optimized intelligent data management framework for a cyber-physical system for computational applications. Complex Intell. Syst. 2021, 1–13. [Google Scholar] [CrossRef]
- Jha, N.; Prashar, D.; Khalaf, O.I.; Alotaibi, Y.; Alsufyani, A.; Alghamdi, S. Blockchain based crop insurance: A decentralized insurance system for modernization of indian farmers. Sustainability 2021, 13, 8921. [Google Scholar] [CrossRef]
- Fei, W.; Hexiang, B.; Deyu, L.; Jianjun, W. Energy-efficient clustering algorithm in underwater sensor networks based on fuzzy C means and Moth-flame optimization method. IEEE Access 2020, 8, 97474–97484. [Google Scholar] [CrossRef]
- Alotaibi, Y. A new secured e-government efficiency model for sustainable services provision. J. Inf. Secur. Cybercrimes Res. 2020, 3, 75–96. [Google Scholar] [CrossRef]
- Neelakandan, S.; Anand, J.G. Trust based optimal routing in MANET’s. In Proceedings of the International Conference on Emerging Trends in Electrical and Computer Technology, Nagercoil, India, 23–24 March 2011; pp. 1150–1156. [Google Scholar] [CrossRef]
- Song, X.; Sun, W.; Zhang, Q. A Dynamic Hierarchical Clustering Data Gathering Algorithm Based on Multiple Criteria Decision Making for 3D Underwater Sensor Networks. Complexity 2020, 2020, 8835103. [Google Scholar] [CrossRef]
- Divyabharathi, S. Large scale optimization to minimize network traffic using MapReduce in big data applications. In Proceedings of the International Conference on Computation of Power, Energy Information and Communication (ICCPEIC), Melmaruvathur, India, 20–21 April 2016; pp. 193–199. [Google Scholar] [CrossRef]
- Neelakandan, S.; Rene Beulah, J.; Prathiba, L.; Murthy, G.L.N.; Irudaya Raj, E.F.; Arulkumar., N. Blockchain with deep learning-enabled secure healthcare data transmission and diagnostic model. Int. J. Modeling Simul. Sci. Comput. 2022, 2241006. [Google Scholar] [CrossRef]
- Hou, W.; Jin, Y.; Zhu, C.; Li, G. A novel maximum power point tracking algorithm based on glowworm swarm optimization for photovoltaic systems. Int. J. Photoenergy 2016, 2016, 4910862. [Google Scholar] [CrossRef]
- Oramus, P. Improvements to glowworm swarm optimization algorithm. Comput. Sci. 2010, 11, 7–20. [Google Scholar]
- Manikandan, S.; Sambit, S.; Sanchali, D. An efficient technique for cloud storage using secured de-duplication algorithm. J. Intell. Fuzzy Syst. 2021, 42, 2969–2980. [Google Scholar]
- Rene Beulah, J.; Harshavardhan, A.; Sivabalaselvamani, D. An automated learning model for sentiment analysis and data classification of Twitter data using balanced CA-SVM. Concurr. Eng. Res. Appl. 2021, 29, 386–395. [Google Scholar]
- Rajaram, P.V.; Prakash, M. Intelligent deep learning based bidirectional long short term memory model for automated reply of e-mail client prototype. Pattern Recognit. Lett. 2021, 152, 340–347. [Google Scholar]
- Susmita, M.; Prakash, M. Digital Mammogram Inferencing System Using Intuitionistic Fuzzy Theory. Comput. Syst. Sci. Eng. 2022, 41, 1099–1115. [Google Scholar]
- Wang, G.-G.; Guo, L.; Gandomi, A.; Hao, G.-S.; Wang, H. Chaotic Krill Herd algorithm. Inf. Sci. 2014, 274, 17–34. [Google Scholar] [CrossRef]
- Omeke, K.G.; Mollel, M.S.; Ozturk, M.; Ansari, S.; Zhang, L.; Abbasi, Q.H.; Imran, M.A. DEKCS: A dynamic clustering protocol to prolong underwater sensor networks. IEEE Sens. J. 2021, 21, 9457–9464. [Google Scholar] [CrossRef]
- Xiao, X.; Huang, H.; Wang, W. Underwater wireless sensor networks: An energy-efficient clustering routing protocol based on data fusion and genetic algorithms. Appl. Sci. 2021, 11, 312. [Google Scholar] [CrossRef]
- Jaishankar, B.; Vishwakarma, S.; Aditya Kumar, S.P.; Ibrahim, P.; Arulkumar, N. Blockchain for Securing Healthcare Data Using Squirrel Search Optimization Algorithm. Intell. Autom. Soft Comput. 2022, 32, 1815–1829. [Google Scholar] [CrossRef]
- Subbulakshmi, P.; Prakash, M. Mitigating eavesdropping by using fuzzy based MDPOP-Q learning approach and multilevel Stackelberg game theoretic approach in wireless CRN. Cogn. Syst. Res. 2018, 52, 853–861. [Google Scholar] [CrossRef]
- Prakash, M.; Ravichandran, T. An Efficient Resource Selection and Binding Model for Job Scheduling in Grid. Eur. J. Sci. Res. 2012, 81, 450–458. [Google Scholar]
- Mohan, P.; Thangavel, R. Resource Selection in Grid Environment based on Trust Evaluation using Feedback and Performance. Am. J. Appl. Sci. 2013, 10, 924–930. [Google Scholar] [CrossRef][Green Version]
- Sozer, E.M.; Stojanovic, M.; Proakis, J.G. Underwater acoustic networks. IEEE J. Ocean. Eng. 2000, 25, 72–83. [Google Scholar] [CrossRef]
- Gandomi, A.H.; Alavi, A.H. Krill herd: A new bio-inspired optimization algorithm. Commun. Nonlinear Sci. Numer. Simul. 2012, 17, 4831–4845. [Google Scholar] [CrossRef]
- Wang, L.; Jia, P.; Huang, T.; Duan, S.; Yan, J.; Wang, L. A novel optimization technique to improve gas recognition by electronic noses based on the enhanced krill herd algorithm. Sensors 2016, 16, 1275. [Google Scholar] [CrossRef]
- Jain, D.K.; Tyagi, S.K.K.S.; Natrayan, L. Metaheuristic optimization-based resource allocation technique for cybertwin-driven 6 g on ioe environment. IEEE Trans. Ind. Inform. 2021. [Google Scholar] [CrossRef]
- Neelakandan, S.; Arun, A.; Bhukya, R.R.; Hardas, B.M.; Kumar, T.; Ashok, M. An automated word embedding with parameter tuned model for web crawling. Intell. Autom. Soft Comput. 2022, 32, 1617–1632. [Google Scholar]
- Venu, D.; Mayuri, A.V.R.; Neelakandan, S.; Murthy, G.L.N.; Arulkumar, N.; Nilesh, S. An efficient low complexity compression based optimal homomorphic encryption for secure fiber optic communication. Optik 2021, 252, 168545. [Google Scholar] [CrossRef]







| Ref. No. | Methodology | Description | Pros | Cons |
|---|---|---|---|---|
| [30] | FSO communication compliant | Free space optical (FSO), acoustic, and electromagnetic (EM) waves-based transmission systems. | No extra packet transmission occurs due to the use of the priority value. | High error ratepacket redundancy. |
| [33] | Fuzzy c-means and moth–flame optimization. | Creates energy-effective cluster by utilizing FCM and later uses optimization method for selecting an optimum CH within all the clusters. | Reduces energy consumption. Enhances network lifetime. | Time delay packet loss. |
| [36] | Multiple criteria decision-making. | Sorting approach is utilized for the formation of clustering topology model to resolve the problems. | Reduces network delay. High packet delivery. | Low throughput. Less reliability. |
| [13] | Improved particle swarm optimization algorithm. | Discrete particle swarm optimization (PSO) algorithm applied for effective clustering model. | Throughput is high. Reliability in clustering process. Efficient routing mechanism. | Network life time packet delivery ratio. |
| [39] | Underwater acoustic cooperative sensor networks. | Improves the constrained energy source of the underwater sensors. | Low energy consumptions. Improving lifetime of network. | Time delay and packet loss. |
| [42] | Multi-hop transmission for underwater acoustic sensor networks. | Extends lifespan of underwater sensor networks by avoiding the energy hole and balancing the energy utilization of underwater sensors. | Packet delivery ratio is high. Reliable transmission. | Not suitable for deep water area networks. Dead nodes formation. |
| [45] | Dynamic clustering protocol. | Dynamically upgrades the energy threshold set for CHs to guarantee that the network communication. | Avoiding of Packet collision Reducing network delay. Optimal path routing. | Sensor communication failure. |
| [47] | Data fusion and genetic algorithms. | Used for data fusion is enhanced by adopting a momentum technique that could minimize energy utilization. | High throughput. Reliable transmission. | Maximization of connection time and network delay. |
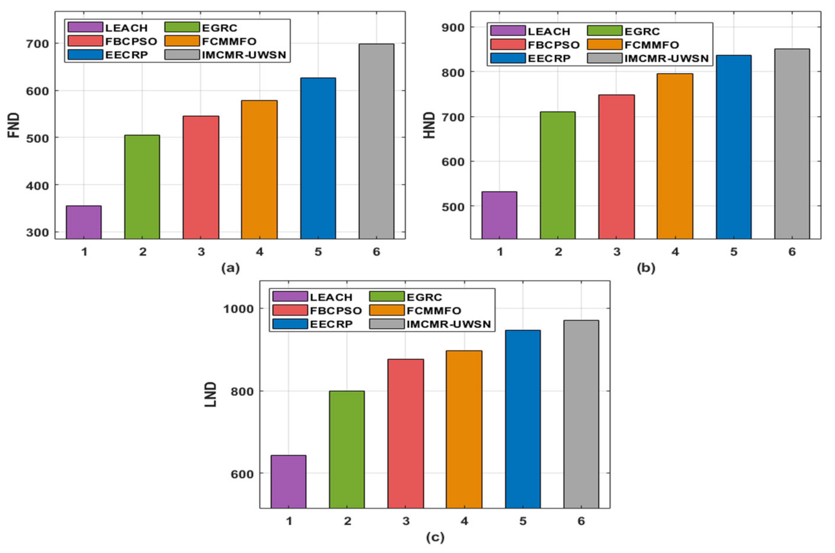
| Methods | FND | HND | LND |
|---|---|---|---|
| LEACH | 355 | 532 | 643 |
| EGRC | 505 | 711 | 799 |
| FBCPSO | 546 | 748 | 876 |
| FCMMFO | 578 | 796 | 896 |
| EECRP | 626 | 837 | 946 |
| IMCMR-UWSN | 698 | 875 | 970 |
| No. of Rounds | LEACH | EGRC | FBCPSO | FCMMFO | EECRP | IMCMR-UWSN |
|---|---|---|---|---|---|---|
| 0 | 0 | 0 | 0 | 0 | 0 | 0 |
| 50 | 922 | 2296 | 2296 | 2951 | 3212 | 3932 |
| 100 | 2100 | 4063 | 4652 | 5437 | 6157 | 6680 |
| 150 | 3409 | 6026 | 6811 | 7662 | 8839 | 9886 |
| 200 | 4652 | 7792 | 8578 | 9494 | 10,344 | 11,326 |
| 250 | 5568 | 9232 | 10,213 | 10,671 | 11,718 | 12,700 |
| 300 | 6418 | 10,671 | 11,522 | 12,176 | 13,158 | 14,074 |
| 350 | 7923 | 11,718 | 12,176 | 13,092 | 14,270 | 15,579 |
| 400 | 8512 | 12,569 | 13,289 | 14,205 | 15,186 | 17,018 |
| 450 | 9167 | 13,485 | 14,205 | 14,793 | 16,364 | 18,065 |
| 500 | 10,344 | 14,401 | 14,924 | 15,840 | 17,411 | 18,850 |
| 550 | 10,999 | 14,728 | 15,906 | 17,149 | 18,588 | 19,504 |
| 600 | 11,522 | 15,448 | 16,822 | 17,672 | 18,915 | 20,224 |
| 650 | 11,849 | 15,644 | 17,280 | 18,196 | 19,766 | 21,009 |
| 700 | 11,849 | 16,298 | 17,738 | 18,785 | 20,420 | 21,336 |
| 750 | 11,849 | 16,887 | 18,130 | 19,374 | 21,206 | 21,925 |
| 800 | 11,849 | 16,887 | 18,392 | 19,766 | 21,467 | 22,187 |
| 850 | 11,849 | 16,887 | 18,785 | 20,028 | 21,729 | 22,514 |
| 900 | 11,849 | 16,756 | 18,915 | 20,224 | 21,991 | 23,038 |
| 950 | 11,849 | 16,822 | 18,785 | 20,224 | 22,056 | 23,234 |
| 1000 | 11,849 | 16,822 | 18,785 | 20,159 | 22,056 | 23,234 |
Publisher’s Note: MDPI stays neutral with regard to jurisdictional claims in published maps and institutional affiliations. |
© 2022 by the authors. Licensee MDPI, Basel, Switzerland. This article is an open access article distributed under the terms and conditions of the Creative Commons Attribution (CC BY) license (https://creativecommons.org/licenses/by/4.0/).
Share and Cite
Mohan, P.; Subramani, N.; Alotaibi, Y.; Alghamdi, S.; Khalaf, O.I.; Ulaganathan, S. Improved Metaheuristics-Based Clustering with Multihop Routing Protocol for Underwater Wireless Sensor Networks. Sensors 2022, 22, 1618. https://doi.org/10.3390/s22041618
Mohan P, Subramani N, Alotaibi Y, Alghamdi S, Khalaf OI, Ulaganathan S. Improved Metaheuristics-Based Clustering with Multihop Routing Protocol for Underwater Wireless Sensor Networks. Sensors. 2022; 22(4):1618. https://doi.org/10.3390/s22041618
Chicago/Turabian StyleMohan, Prakash, Neelakandan Subramani, Youseef Alotaibi, Saleh Alghamdi, Osamah Ibrahim Khalaf, and Sakthi Ulaganathan. 2022. "Improved Metaheuristics-Based Clustering with Multihop Routing Protocol for Underwater Wireless Sensor Networks" Sensors 22, no. 4: 1618. https://doi.org/10.3390/s22041618
APA StyleMohan, P., Subramani, N., Alotaibi, Y., Alghamdi, S., Khalaf, O. I., & Ulaganathan, S. (2022). Improved Metaheuristics-Based Clustering with Multihop Routing Protocol for Underwater Wireless Sensor Networks. Sensors, 22(4), 1618. https://doi.org/10.3390/s22041618

