Effects of Accelerated Aging on the Performance of Low-Cost Ultrasonic Sensors Used for Public Lighting and Mobility Management in Smart Cities
Abstract
:1. Introduction
2. Materials and Methods
2.1. Low-Cost Ultrasonic Distance Sensor (HY-SRF05)
2.2. Experimental Setup and Method
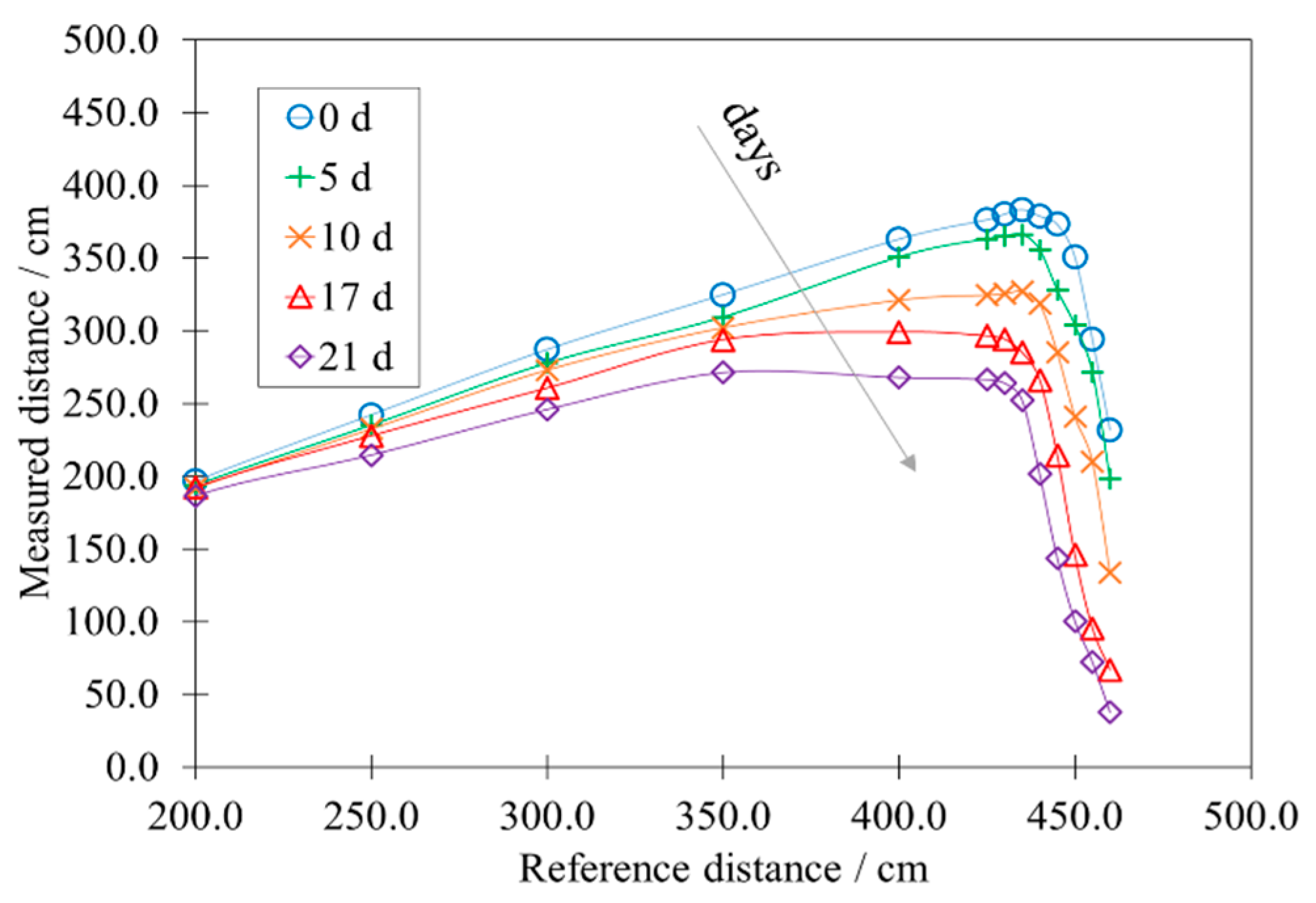
3. Results
4. Discussion and Conclusions
Author Contributions
Funding
Institutional Review Board Statement
Informed Consent Statement
Data Availability Statement
Conflicts of Interest
Appendix A
| Reference Distance [mm] | Number of Outliers | ||||
|---|---|---|---|---|---|
| at 0 d | at 5 d | at 10 d | at 17 d | at 21 d | |
| 200.0 | 0 | 0 | 0 | 0 | 0 |
| 250.0 | 0 | 0 | 0 | 0 | 0 |
| 300.0 | 0 | 0 | 0 | 0 | 0 |
| 350.0 | 0 | 2 | 3 | 5 | 6 |
| 400.0 | 14 | 17 | 25 | 54 | 62 |
| 425.0 | 26 | 38 | 51 | 103 | 109 |
| 430.0 | 35 | 52 | 71 | 141 | 155 |
| 435.0 | 68 | 85 | 102 | 190 | 198 |
| 440.0 | 110 | 126 | 139 | 211 | 219 |
| 445.0 | 154 | 168 | 179 | 227 | 232 |
| 450.0 | 183 | 191 | 195 | 236 | 240 |
| Reference Distance [mm] | Number of Invalid Measurements | ||||
|---|---|---|---|---|---|
| at 0 d | at 5 d | at 10 d | at 17 d | at 21 d | |
| 200.0 | 0 | 0 | 3 | 3 | 4 |
| 250.0 | 2 | 4 | 7 | 9 | 11 |
| 300.0 | 4 | 12 | 15 | 21 | 25 |
| 350.0 | 7 | 20 | 36 | 52 | 54 |
| 400.0 | 10 | 26 | 45 | 58 | 59 |
| 425.0 | 16 | 33 | 47 | 59 | 62 |
| 430.0 | 19 | 35 | 48 | 58 | 63 |
| 435.0 | 19 | 37 | 49 | 59 | 67 |
| 440.0 | 21 | 41 | 51 | 60 | 73 |
| 445.0 | 24 | 45 | 54 | 70 | 90 |
| 450.0 | 26 | 50 | 58 | 81 | 114 |
| Reference Distance [mm] | Err | ||||
|---|---|---|---|---|---|
| at 0 d | at 5 d | at 10 d | at 17 d | at 21 d | |
| 200.0 | 2% | 3% | 4% | 4% | 7% |
| 250.0 | 3% | 6% | 7% | 9% | 14% |
| 300.0 | 4% | 7% | 9% | 13% | 18% |
| 350.0 | 7% | 12% | 14% | 16% | 22% |
| 400.0 | 9% | 12% | 20% | 25% | 33% |
| 425.0 | 11% | 15% | 24% | 30% | 37% |
| 430.0 | 12% | 15% | 24% | 32% | 39% |
| 435.0 | 12% | 16% | 25% | 34% | 42% |
| 440.0 | 14% | 19% | 28% | 39% | 54% |
| 445.0 | 16% | 26% | 36% | 52% | 68% |
| 450.0 | 22% | 32% | 46% | 68% | 78% |
References
- Caragliu, A.; Del Bo, C.; Nijkamp, P. Smart cities in Europe. J. Urban Technol. 2011, 18, 65–82. [Google Scholar] [CrossRef]
- Vinod Kumar, T.M. Smart Environment for Smart Cities. In Advances in 21st Century Human Settlements; Springer: Singapore, 2020; pp. 1–53. [Google Scholar] [CrossRef]
- Alizzio, D.; Quattrocchi, A.; Montanini, R. Development and characterization of a self-powered measurement buoy prototype by means of piezoelectric energy harvester for monitoring activities in a marine environment. ACTA IMEKO 2021, 10, 201–208. [Google Scholar] [CrossRef]
- Quattrocchi, A.; Montanini, R.; De Caro, S.; Panarello, S.; Scimone, T.; Foti, S.; Testa, A. A New Approach for Impedance Tracking of Piezoelectric Vibration Energy Harvesters Based on a Zeta Converter. Sensors 2020, 20, 5862. [Google Scholar] [CrossRef] [PubMed]
- Available online: https://ec.europa.eu/info/eu-regional-and-urban-development/topics/cities-and-urban-development/city-initiatives/smart-cities_en (accessed on 1 October 2021).
- Hancke, G.P.; Hancke, G.P., Jr. The role of advanced sensing in smart cities. Sensors 2013, 13, 393–425. [Google Scholar] [CrossRef] [Green Version]
- Pellicer, S.; Santa, G.; Bleda, A.L.; Maestre, R.; Jara, A.J.; Skarmeta, A.G. A global perspective of smart cities: A survey. In Proceedings of the 2013 Seventh International Conference on Innovative Mobile and Internet Services in Ubiquitous Computing, Taichung, Taiwan, 3–5 July 2013; pp. 439–444. [Google Scholar] [CrossRef]
- Sánchez-Corcuera, R.; Nuñez-Marcos, A.; Sesma-Solance, J.; Bilbao-Jayo, A.; Mulero, R.; Zulaika, U.; Azkune, G.; Almeida, A. Smart cities survey: Technologies, application domains and challenges for the cities of the future. Int. J. Distrib. Sens. Netw. 2019, 15, 1–36. [Google Scholar] [CrossRef] [Green Version]
- Alizzio, D.; Bonfanti, M.; Donato, N.; Faraci, C.; Grasso, G.M.; Lo Savio, F.; Montanini, R.; Quattrocchi, A. Design and Performance Evaluation of a “Fixed-Point” Spar Buoy Equipped with a Piezoelectric Energy Harvesting Unit for Floating Near-Shore Applications. Sensors 2021, 21, 1912. [Google Scholar] [CrossRef]
- Deng, D.J.; Benslimane, A. Innovation and Application of Internet of Things for Smart Cities. Mob. Netw. Appl. 2021, 1–2. [Google Scholar] [CrossRef]
- Sharma, A.; Singh, P.K.; Kumar, Y. An integrated fire detection system using IoT and image processing technique for smart cities. Sustain. Cities Soc. 2020, 61, 102332. [Google Scholar] [CrossRef]
- Kabrane, M.; Elmaimouni, L.; Krit, S.; Laassiri, J. Urban mobility in smart cities using low-cost and energy-saving wireless sensor networks. In Proceedings of the 2016 International Conference on Engineering & MIS (ICEMIS), Agadir, Morocco, 22–24 September 2016; pp. 1–7. [Google Scholar] [CrossRef]
- Shafik, W.; Matinkhah, S.M.; Ghasemzadeh, M. Internet of things-based energy management, challenges, and solutions in smart cities. J. Commun. Technol. Electron. 2020, 27, 1–11. [Google Scholar]
- Available online: https://h2020prospect.eu/learning-programme (accessed on 1 October 2021).
- Pizzuti, S.; Annunziato, M.; Moretti, F. Smart street lighting management. Energy Effic. 2013, 6, 607–616. [Google Scholar] [CrossRef]
- Orlowski, A.; Romanowska, P. Smart Cities Concept: Smart Mobility Indicator. Cybern. Syst. 2019, 50, 118–131. [Google Scholar] [CrossRef]
- Wu, Y.M.; Chen, D.Y.; Lin, T.L.; Hsieh, C.Y.; Chin, T.L.; Chang, W.Y.; Li, W.S.; Ker, S.H. A high-density seismic network for earthquake early warning in Taiwan based on low cost sensors. Seismol. Res. Lett. 2013, 84, 1048–1054. [Google Scholar] [CrossRef]
- Karagulian, F.; Barbiere, M.; Kotsev, A.; Spinelle, L.; Gerboles, M.; Lagler, F.; Redon, N.; Crunaire, S.; Borowiak, A. Review of the performance of low-cost sensors for air quality monitoring. Atmosphere 2019, 10, 506. [Google Scholar] [CrossRef] [Green Version]
- Romli, M.A.; Daud, S.; Zainol, S.M.; Kan, P.L.E.; Ahmad, Z.A. Automatic RAS data acquisition and processing system using fog computing. In Proceedings of the 2017 IEEE 13th Malaysia International Conference on Communications (MICC), Johor Bahru, Malaysia, 28–30 November 2017; pp. 229–234. [Google Scholar] [CrossRef]
- Avelar, E.; Marques, L.; dos Passos, D.; Macedo, R.; Dias, K.; Nogueira, M. Interoperability issues on heterogeneous wireless communication for smart cities. Comput. Commun. 2015, 58, 4–15. [Google Scholar] [CrossRef]
- Lee, C.H.; Wang, Y.B.; Yu, H.L. An efficient spatiotemporal data calibration approach for the low-cost PM2. 5 sensing network: A case study in Taiwan. Environ. Int. 2019, 130, 104838. [Google Scholar] [CrossRef] [PubMed]
- Zhu, Q.; Sailhan, F.; Uddin, M.Y.S.; Issarny, V.; Venkatasubramanian, N. Multi-Sensor Calibration Planning in IoT-Enabled Smart Spaces. In Proceedings of the 2019 IEEE 39th International Conference on Distributed Computing Systems (ICDCS), Dallas, TX, USA, 7–10 July 2019; pp. 722–731. [Google Scholar] [CrossRef] [Green Version]
- Basford, P.J.; Bulot, F.M.; Apetroaie-Cristea, M.; Cox, S.J.; Ossont, S.J. LoRaWAN for smart city IoT deployments: A long term evaluation. Sensors 2020, 20, 648. [Google Scholar] [CrossRef] [Green Version]
- Glass, T.; Ali, S.; Parr, B.; Potgieter, J.; Alam, F. IoT enabled low cost air quality sensor. In Proceedings of the 2020 IEEE Sensors Applications Symposium (SAS), Kuala Lumpur, Malaysia, 9–11 March 2020; pp. 1–6. [Google Scholar] [CrossRef]
- Idrees, Z.; Zou, Z.; Zheng, L. Edge computing based IoT architecture for low cost air pollution monitoring systems: A comprehensive system analysis, design considerations & development. Sensors 2018, 18, 3021. [Google Scholar] [CrossRef] [Green Version]
- Anik, M.T.H.; Guilley, S.; Danger, J.L.; Karimi, N. On the effect of aging on digital sensors. In Proceedings of the 33rd International Conference on VLSI Design and 19th International Conference on Embedded Systems (VLSID), Bangalore, India, 4–8 January 2020; pp. 189–194. [Google Scholar] [CrossRef]
- Haddab, Y.; Mosser, V.; Kobbi, F.; Pond, R. Reliability and stability of GaAs-based pseudomorphic quantum wells for high-precision power metering. Microelectron. Reliab. 2000, 40, 1443–1447. [Google Scholar] [CrossRef]
- Tryner, J.; Mehaffy, J.; Miller-Lionberg, D.; Volckens, J. Effects of aerosol type and simulated aging on performance of low-cost PM sensors. J. Aerosol. Sci. 2020, 150, 105654. [Google Scholar] [CrossRef]
- Samad, A.; Obando Nuñez, D.R.; Solis Castillo, G.C.; Laquai, B.; Vogt, U. Effect of relative humidity and air temperature on the results obtained from low-cost gas sensors for ambient air quality measurements. Sensors 2020, 20, 5175. [Google Scholar] [CrossRef]
- Vakula, D.; Kolli, Y.K. Low cost smart parking system for smart cities. In Proceedings of the 2017 International Conference on Intelligent Sustainable Systems (ICISS), Palladam, India, 7–8 December 2017; pp. 280–284. [Google Scholar] [CrossRef]
- Jamaluddin, A.; Listiana, F.; Rahardjo, D.T.; Rahmasari, L.; Harjunowibowo, D. Simple method for non contact thickness gauge using ultrasonic sensor and android smartphone. TELKOMNIKA Indones. J. Electr. Eng. 2015, 15, 191–196. [Google Scholar] [CrossRef]
- Nuryanto, N.; Widiyanto, A.; Burhanuddin, A. Redirection Concept of Autonomous Mobile Robot HY-SRF05 Sensor to Reduce The Number of Sensors. In Proceedings of the Electrical Engineering Computer Science and Informatics (EECSI 2017), Yogyakarta, Indonesia, 19–21 September 2017; Volume 4, pp. 540–543. [Google Scholar]
- Zhmud, V.A.; Kondratiev, N.O.; Kuznetsov, K.A.; Trubin, V.G.; Dimitrov, L.V. Application of ultrasonic sensor for measuring distances in robotics. J. Phys. Conf. Ser. 2018, 1015, 032189. [Google Scholar] [CrossRef] [Green Version]
- Available online: http://www.hiletgo.com/ProductDetail/2164656.html (accessed on 1 October 2021).
- Aujla, G.S.; Kumar, N. MEnSuS: An efficient scheme for energy management with sustainability of cloud data centers in edge–cloud environment. Future Gener. Comput. Syst. 2018, 86, 1279–1300. [Google Scholar] [CrossRef]
- Fazio, M.; Ranjan, R.; Girolami, M.; Taheri, J.; Dustdar, S.; Villari, M. A note on the convergence of IoT, edge, and cloud computing in smart cities. IEEE Cloud Comput. 2018, 5, 22–24. [Google Scholar] [CrossRef] [Green Version]
- Wang, P.; Yang, L.T.; Li, J. An edge cloud-assisted CPSS framework for smart city. IEEE Cloud Comput. 2018, 5, 37–46. [Google Scholar] [CrossRef]










| Parameter | Value |
|---|---|
| Measurement range | 2–450 cm |
| Resolution | 0.3 cm |
| Detection angle | ±15° |
| Supply voltage | 5 V in DC |
| Supply current | 2 mA |
| Output signals | HIGH, 5 V in DC LOW, 0 V in DC |
| Working temperature | From −20 °C to +60 °C |
| Dimensions (length × width × thickness) | 45 mm × 20 mm × 10 mm |
| Weight | 10 g |
Publisher’s Note: MDPI stays neutral with regard to jurisdictional claims in published maps and institutional affiliations. |
© 2022 by the authors. Licensee MDPI, Basel, Switzerland. This article is an open access article distributed under the terms and conditions of the Creative Commons Attribution (CC BY) license (https://creativecommons.org/licenses/by/4.0/).
Share and Cite
Quattrocchi, A.; Alizzio, D.; Martella, F.; Lukaj, V.; Villari, M.; Montanini, R. Effects of Accelerated Aging on the Performance of Low-Cost Ultrasonic Sensors Used for Public Lighting and Mobility Management in Smart Cities. Sensors 2022, 22, 1560. https://doi.org/10.3390/s22041560
Quattrocchi A, Alizzio D, Martella F, Lukaj V, Villari M, Montanini R. Effects of Accelerated Aging on the Performance of Low-Cost Ultrasonic Sensors Used for Public Lighting and Mobility Management in Smart Cities. Sensors. 2022; 22(4):1560. https://doi.org/10.3390/s22041560
Chicago/Turabian StyleQuattrocchi, Antonino, Damiano Alizzio, Francesco Martella, Valeria Lukaj, Massimo Villari, and Roberto Montanini. 2022. "Effects of Accelerated Aging on the Performance of Low-Cost Ultrasonic Sensors Used for Public Lighting and Mobility Management in Smart Cities" Sensors 22, no. 4: 1560. https://doi.org/10.3390/s22041560
APA StyleQuattrocchi, A., Alizzio, D., Martella, F., Lukaj, V., Villari, M., & Montanini, R. (2022). Effects of Accelerated Aging on the Performance of Low-Cost Ultrasonic Sensors Used for Public Lighting and Mobility Management in Smart Cities. Sensors, 22(4), 1560. https://doi.org/10.3390/s22041560

