Evaluation of a Smart Knee Brace for Range of Motion and Velocity Monitoring during Rehabilitation Exercises and an Exergame
Abstract
1. Introduction
2. Materials and Methods
2.1. Participants
2.2. Device Description
2.3. Experimental Procedures
2.3.1. Calibration Procedure
2.3.2. Rehabilitation Exercises
2.3.3. Exergame
2.4. Data Processing and Analysis
3. Results
3.1. Participants
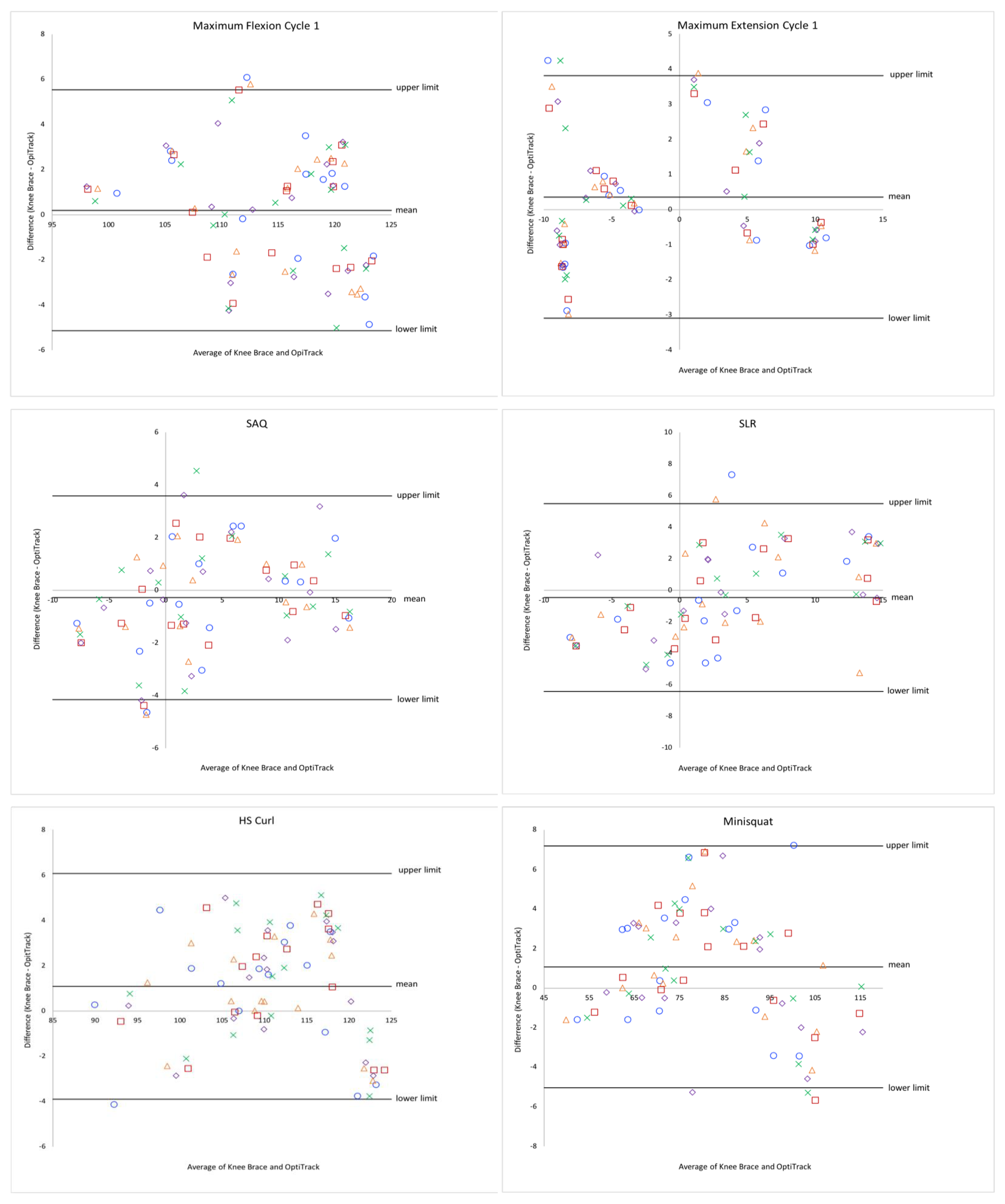
3.2. Agreement between Knee Brace and OptiTrack System for Knee Exercises
3.2.1. Range of Motion
3.2.2. Velocity
3.3. Exergame Results
4. Discussion
5. Conclusions
Author Contributions
Funding
Institutional Review Board Statement
Informed Consent Statement
Data Availability Statement
Conflicts of Interest
References
- Musahl, V.; Karlsson, J. Anterior Cruciate Ligament Tear. N. Engl. J. Med. 2019, 380, 2341–2348. [Google Scholar] [CrossRef] [PubMed]
- Eckenrode, B.J.; Carey, J.L.; Sennett, B.J.; Zgonis, M.H. Prevention asnd Management of Post-operative Complications Following ACL Reconstruction. Curr. Rev. Musculoskelet. Med. 2017, 10, 315–321. [Google Scholar] [CrossRef] [PubMed]
- Kaeding, C.C.; Léger-St-Jean, B.; Magnussen, R.A. Epidemiology and Diagnosis of Anterior Cruciate Ligament Injuries. Clin. Sport Med. 2017, 36, 1–8. [Google Scholar] [CrossRef] [PubMed]
- Beischer, S.; Hamrin Senorski, E.; Thomeé, C.; Samuelsson, K.; Thomeé, R. Young athletes return too early to knee-strenuous sport, without acceptable knee function after anterior cruciate ligament reconstruction. Knee Surg. Sport Traumatol. Arthrosc. 2018, 26, 1966–1974. [Google Scholar] [CrossRef] [PubMed]
- Królikowska, A.; Czamara, A.; Reichert, P. Between-Limb Symmetry during Double-Leg Vertical Hop Landing in Males an Average of Two Years after ACL Reconstruction is Highly Correlated with Postoperative Physiotherapy Supervision Duration. Appl. Sci. 2018, 8, 2586. [Google Scholar] [CrossRef]
- Walker, A.; Hing, W.; Lorimer, A. The Influence, Barriers to and Facilitators of Anterior Cruciate Ligament Rehabilitation Adherence and Participation: A Scoping Review. Sport Med. Open 2020, 6, 32. [Google Scholar] [CrossRef]
- Rosso, F.; Bonasia, D.E.; Cottino, U.; Cambursano, S.; Dettoni, F.; Rossi, R. Factors Affecting Subjective and Objective Outcomes and Return to Play in Anterior Cruciate Ligament Reconstruction: A Retrospective Cohort Study. Joints 2018, 6, 23–32. [Google Scholar] [CrossRef] [PubMed]
- Xu, A.L.; Mun, F.; Gupta, A.; Margalit, A.; Prasad, N.; Lee, R.J. Financial Burden of Pediatric Anterior Cruciate Ligament Reconstruction. J. Pediatr. Orthop. 2022, 42, e943–e948. [Google Scholar] [CrossRef]
- Delay, B.S.; Smolinski, R.J.; Wind, W.M.; Bowman, D.S. Current practices and opinions in ACL reconstruction and rehabilitation: Results of a survey of the American Orthopaedic Society for Sports Medicine. Am. J. Knee Surg. 2001, 14, 85–91. [Google Scholar]
- McClincy, M.; Seabol, L.G.; Riffitts, M.; Ruh, E.; Novak, N.E.; Wasilko, R.; Hamm, M.E.; Bell, K.M. Perspectives on the Gamification of an Interactive Health Technology for Postoperative Rehabilitation of Pediatric Anterior Cruciate Ligament Reconstruction: User-Centered Design Approach. JMIR Serious Games 2021, 9, e27195. [Google Scholar] [CrossRef]
- Pizzari, T.; Taylor, N.F.; McBurney, H.; Feller, J.A. Adherence to Rehabilitation after Anterior Cruciate Ligament Reconstructive Surgery: Implications for Outcome. J. Sport Rehabil. 2005, 14, 202–214. [Google Scholar] [CrossRef]
- Brewer, B.W.; Cornelius, A.E.; Van Raalte, J.L.; Tennen, H.; Armeli, S. Predictors of adherence to home rehabilitation exercises following anterior cruciate ligament reconstruction. Rehabil. Psychol. 2013, 58, 64–72. [Google Scholar] [CrossRef] [PubMed]
- Sluijs, E.M.; Kok, G.J.; van der Zee, J. Correlates of exercise compliance in physical therapy. Phys. Ther. 1993, 73, 771–782. [Google Scholar] [CrossRef] [PubMed]
- Brewer, B.W.; Cornelius, A.E.; Van Raalte, J.L.; Brickner, J.C.; Sklar, J.H.; Corsetti, J.R.; Pohlman, M.H.; Ditmar, T.D.; Emery, K. Rehabilitation adherence and anterior cruciate ligament reconstruction outcome. Psychol. Health Med. 2004, 9, 163–175. [Google Scholar] [CrossRef]
- Grindem, H.; Arundale, A.J.; Ardern, C.L. Alarming underutilisation of rehabilitation in athletes with anterior cruciate ligament reconstruction: Four ways to change the game. Br. J. Sport Med. 2018, 52, 1162–1163. [Google Scholar] [CrossRef]
- Deterding, S.; Khaled, R.; Nacke, L.; Dixon, D. Gamification: Toward a Definition. In Proceedings of the CHI 2011 Gamification Workshop, Vancouver, BC, Canada, 7–12 May 2011; pp. 12–15. [Google Scholar]
- Allam, A.; Kostova, Z.; Nakamoto, K.; Schulz, P.J. The effect of social support features and gamification on a Web-based intervention for rheumatoid arthritis patients: Randomized controlled trial. J. Med. Internet Res. 2015, 17, e14. [Google Scholar] [CrossRef]
- Stinson, J.N.; Jibb, L.A.; Nguyen, C.; Nathan, P.C.; Maloney, A.M.; Dupuis, L.L.; Gerstle, J.T.; Alman, B.; Hopyan, S.; Strahlendorf, C.; et al. Development and testing of a multidimensional iPhone pain assessment application for adolescents with cancer. J. Med. Internet Res. 2013, 15, e51. [Google Scholar] [CrossRef]
- Lister, C.; West, J.H.; Cannon, B.; Sax, T.; Brodegard, D. Just a fad? Gamification in health and fitness apps. JMIR Serious Games 2014, 2, e9. [Google Scholar] [CrossRef]
- Hamari, J.; Koivisto, J. Social Motivations to Use Gamification: An Empirical Study of Gamifying Exercise. In Proceedings of the European Conference on Information Systems, Utrecht, The Netherlands, 5–8 June 2013. [Google Scholar]
- Von Bargen, T.; Zientz, C.; Haux, R. Gamification for mHealth—A Review of Playful Mobile Healthcare. Stud. Health Technol. Inf. 2014, 202, 225–228. [Google Scholar]
- Miller, A.S.; Cafazzo, J.A.; Seto, E. A game plan: Gamification design principles in mHealth applications for chronic disease management. Health Inform. J. 2016, 22, 184–193. [Google Scholar] [CrossRef]
- Oh, Y.; Yang, S. Defining Exergames & Exergaming. In Proceedings of the Meaningful Play Conference 2010, East Lansing, MI, USA, 21–23 October 2010. [Google Scholar]
- Marley, W.D.; Barratt, A.; Pigott, T.; Granat, M.; Wilson, J.D.; Roy, B. A multicenter randomized controlled trial comparing gamification with remote monitoring against standard rehabilitation for patients after arthroscopic shoulder surgery. J. Shoulder Elb. Surg. 2022, 31, 8–16. [Google Scholar] [CrossRef] [PubMed]
- Fung, V.; Ho, A.; Shaffer, J.; Chung, E.; Gomez, M. Use of Nintendo Wii Fit™ in the rehabilitation of outpatients following total knee replacement: A preliminary randomised controlled trial. Physiotherapy 2012, 98, 183–188. [Google Scholar] [CrossRef] [PubMed]
- Ficklscherer, A.; Stapf, J.; Meissner, K.M.; Niethammer, T.; Lahner, M.; Wagenhäuser, M.; Müller, P.E.; Pietschmann, M.F. Testing the feasibility and safety of the Nintendo Wii gaming console in orthopedic rehabilitation: A pilot randomized controlled study. Arch. Med. Sci. 2016, 12, 1273–1278. [Google Scholar] [CrossRef] [PubMed]
- Baltaci, G.; Harput, G.; Haksever, B.; Ulusoy, B.; Ozer, H. Comparison between Nintendo Wii Fit and conventional rehabilitation on functional performance outcomes after hamstring anterior cruciate ligament reconstruction: Prospective, randomized, controlled, double-blind clinical trial. Knee Surg. Sport Traumatol. Arthrosc. 2013, 21, 880–887. [Google Scholar] [CrossRef] [PubMed]
- Ahmed, M.; Amin, W.; Ayoub, A.; Zaino, M.; Hommadi, R.; Haddadi, Z.; Tohary, S. Influence of virtual reality games on knee proprioception after anterior cruciate ligament reconstruction (aclr). Jokull 2020, 69, 15–35. [Google Scholar]
- Clausen, J.D.; Nahen, N.; Horstmann, H.; Lasch, F.; Krutsch, W.; Krettek, C.; Weber-Spickschen, T.S. Improving Maximal Strength in the Initial Postoperative Phase After Anterior Cruciate Ligament Reconstruction Surgery: Randomized Controlled Trial of an App-Based Serious Gaming Approach. JMIR Serious Games 2020, 8, e14282. [Google Scholar] [CrossRef]
- van Grinsven, S.; van Cingel, R.E.; Holla, C.J.; van Loon, C.J. Evidence-based rehabilitation following anterior cruciate ligament reconstruction. Knee Surg. Sport Traumatol. Arthrosc. 2010, 18, 1128–1144. [Google Scholar] [CrossRef]
- Wilk, K.E.; Macrina, L.C.; Cain, E.L.; Dugas, J.R.; Andrews, J.R. Recent advances in the rehabilitation of anterior cruciate ligament injuries. J. Orthop. Sport Phys. 2012, 42, 153–171. [Google Scholar] [CrossRef]
- Fleiss, J. The Design and Analysis of Clinical Experiments; John Wiley & Sons: Hoboken, NJ, USA, 2011; pp. 149–185. [Google Scholar] [CrossRef]
- Büttner, C.; Milani, T.L.; Sichting, F. Integrating a Potentiometer into a Knee Brace Shows High Potential for Continuous Knee Motion Monitoring. Sensors 2021, 21, 2150. [Google Scholar] [CrossRef]
- Bravo-Illanes, G.; Halvorson, R.; Matthew, R.; Lansdown, D.; Ma, C.; Bajcsy, R. IMU Sensor Fusion Algorithm for Monitoring Knee Kinematics in ACL Reconstructed Patients. In Proceedings of the 2019 41st Annual International Conference of the IEEE Engineering in Medicine and Biology Society (EMBC), Berlin, Germany, 23–27 July 2019; pp. 5877–5881. [Google Scholar]





| Exercise | Average Difference (°) | Lower Limit (°) | Upper Limit (°) |
|---|---|---|---|
| Maximum Flexion | 0.19 | −5.14 | 5.53 |
| Maximum Extension | 0.36 | −3.10 | 3.82 |
| SAQ | −0.28 | −4.16 | 3.59 |
| SLR | −0.48 | −6.44 | 5.48 |
| Hamstring Curl | 1.09 | −3.90 | 6.07 |
| Minisquat | 1.07 | −5.04 | 7.18 |
| Maximum Flexion 2 | −0.13 | −4.96 | 4.70 |
| Maximum Extension 2 | −0.74 | −5.29 | 3.81 |
| Exercise | ICC | RMSE (°) |
|---|---|---|
| Maximum Flexion | 0.93 | 2.61 |
| Maximum Extension | 0.97 | 1.75 |
| SAQ | 0.97 | 1.62 |
| SLR | 0.94 | 2.62 |
| Hamstring Curl | 0.95 | 2.67 |
| Minisquat | 0.98 | 3.07 |
| Maximum Flexion 2 | 0.95 | 2.35 |
| Maximum Extension 2 | 0.95 | 2.35 |
| Exercise | RMSE (°/s) |
|---|---|
| Maximum Flexion | 7.42 |
| Maximum Extension | 3.86 |
| SAQ | 5.03 |
| SLR | 2.95 |
| Hamstring Curl | 10.41 |
| Minisquat | 3.29 |
| Maximum Flexion 2 | 8.94 |
| Maximum Extension 2 | 3.29 |
| Participant | ROM RMSE (°) | Velocity RMSE (°/s) | Score (Pipes Avoided) |
|---|---|---|---|
| 1 | 4.53 | 3.52 | 18 |
| 2 | 0.70 | 4.79 | 19 |
| 3 | 3.07 | 5.79 | 20 |
| 4 | 1.44 | 6.94 | 18 |
| 5 | 1.65 | 5.43 | 17 |
| 6 | 1.37 | 5.49 | 18 |
| 7 | 2.36 | 4.56 | 19 |
| 8 | 1.92 | 7.45 | 19 |
| 9 | 2.37 | 6.00 | 20 |
| 10 | 2.87 | 2.66 | 17 |
| 11 | 1.95 | 3.52 | 19 |
| 12 | 0.73 | 4.56 | 20 |
| 13 | 3.12 | 5.75 | 18 |
| 14 | 2.13 | 3.47 | 20 |
| 15 | 1.83 | 2.51 | 19 |
Publisher’s Note: MDPI stays neutral with regard to jurisdictional claims in published maps and institutional affiliations. |
© 2022 by the authors. Licensee MDPI, Basel, Switzerland. This article is an open access article distributed under the terms and conditions of the Creative Commons Attribution (CC BY) license (https://creativecommons.org/licenses/by/4.0/).
Share and Cite
Riffitts, M.; Cook, H.; McClincy, M.; Bell, K. Evaluation of a Smart Knee Brace for Range of Motion and Velocity Monitoring during Rehabilitation Exercises and an Exergame. Sensors 2022, 22, 9965. https://doi.org/10.3390/s22249965
Riffitts M, Cook H, McClincy M, Bell K. Evaluation of a Smart Knee Brace for Range of Motion and Velocity Monitoring during Rehabilitation Exercises and an Exergame. Sensors. 2022; 22(24):9965. https://doi.org/10.3390/s22249965
Chicago/Turabian StyleRiffitts, Michelle, Harold Cook, Michael McClincy, and Kevin Bell. 2022. "Evaluation of a Smart Knee Brace for Range of Motion and Velocity Monitoring during Rehabilitation Exercises and an Exergame" Sensors 22, no. 24: 9965. https://doi.org/10.3390/s22249965
APA StyleRiffitts, M., Cook, H., McClincy, M., & Bell, K. (2022). Evaluation of a Smart Knee Brace for Range of Motion and Velocity Monitoring during Rehabilitation Exercises and an Exergame. Sensors, 22(24), 9965. https://doi.org/10.3390/s22249965

