Design and Installed Performance Analysis of a Miniaturized All-GNSS Bands Antenna Array for Robust Navigation on UAV Platforms
Abstract
1. Introduction
2. Antenna Array
2.1. Antenna Concept
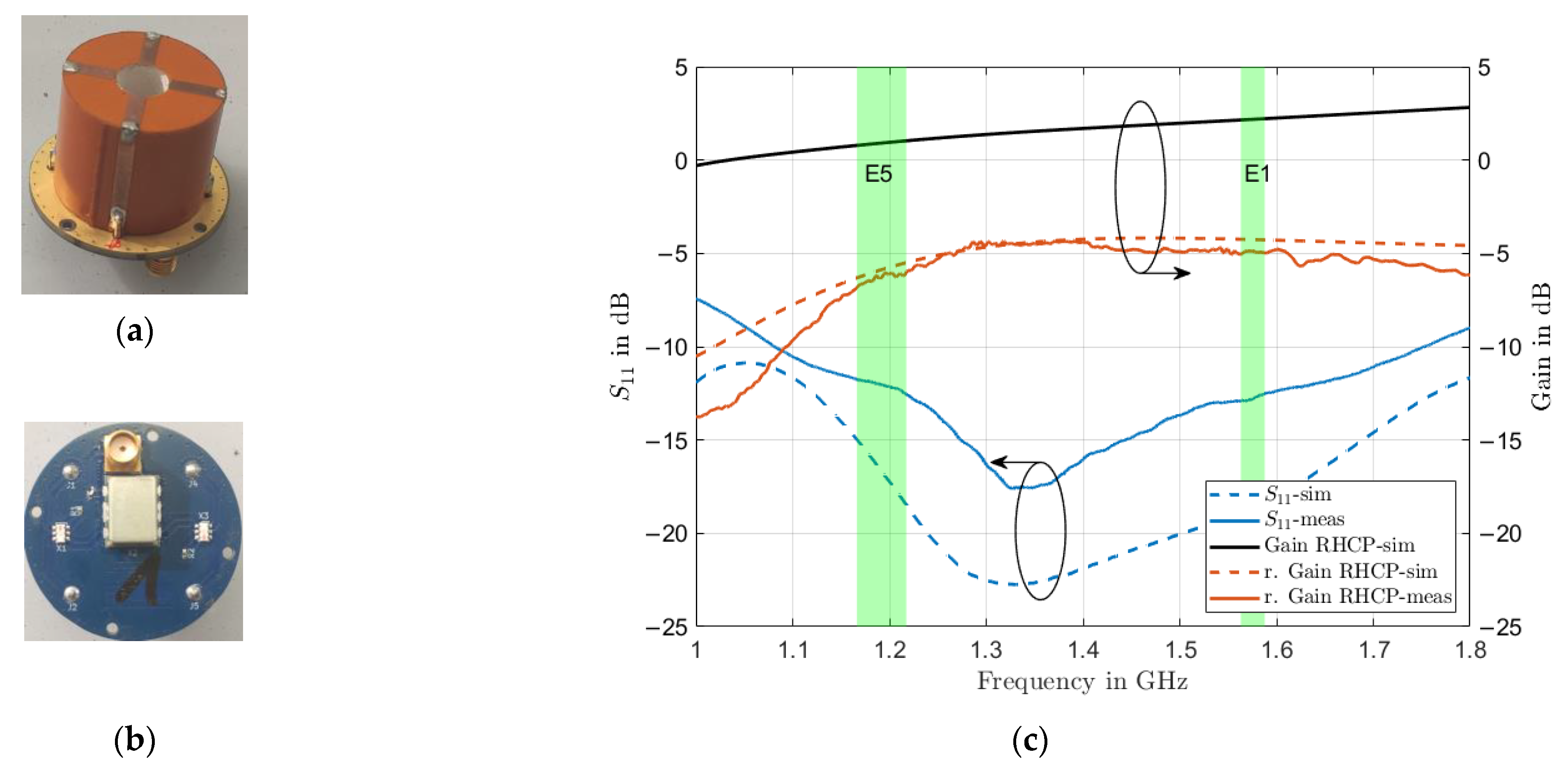
2.2. Antenna Module
2.3. Array
2.4. Vertical Choke Rings
3. Installed Performance
3.1. Simulation of Installed Performance
3.2. Measurement of Installed Performance
4. GNSS Measurements
5. Conclusions
Author Contributions
Funding
Institutional Review Board Statement
Informed Consent Statement
Data Availability Statement
Acknowledgments
Conflicts of Interest
References
- Cui, S.; Chen, Y.; Li, X. A Robust and Efficient UAV Path Planning Approach for Tracking Agile Targets in Complex Environments. Machines 2022, 10, 931. [Google Scholar] [CrossRef]
- Pinker, A.; Smith, C. Vulnerability of the GPS Signal to Jamming. GPS Solut. 1999, 3, 19–27. [Google Scholar] [CrossRef]
- Kerns, A.J.; Shepard, D.P.; Bhatti, J.A.; Humphreys, T.E. Unmanned Aicraft Capture and Control via GPS Spoofing. J. Field Robot. 2014, 31, 617–636. [Google Scholar] [CrossRef]
- Purisai, S.; Sharar, O. A Robust Navigation Solution to Enable Safe Autonomous Aerospace Operations. SAE Tech. Pap. 2022. [Google Scholar] [CrossRef]
- Basta, N.; Dreher, A.; Caizzone, F.; Sgammini, M.; Antreich, F.; Kappen, G.; Irteza, S.; Stephan, R.; Hein, M.A.; Schäfer, E.; et al. System Concept of a Compact Multi-Antenna GNSS Receiver. In Proceedings of the German Microwave Conference (GEMIC), Ilmenau, Germany, 12–14 March 2012. [Google Scholar]
- Volakis, J.L.; O’Brien, A.J.; Chen, C.-C. Small and Adaptive Antennas and Arrays for GNSS Applications. Proc. IEEE 2016, 104, 1221–1232. [Google Scholar] [CrossRef]
- Varma, S.; Caizzone, S. Dual Band GNSS Antenna with High Back Lobe Suppression. In Proceedings of the 2020 14th European Conference on Antennas and Propagation (EuCAP), Copenhagen, Denmark, 15–20 March 2020; pp. 1–5. [Google Scholar] [CrossRef]
- Hehenberger, S.; Tripathi, V.; Varma, S.; Elmarissi, W.; Caizzone, S. A Miniaturized All-GNSS Bands Antenna Array Incorporating Multipath Suppression for Robust Satellite Navigation on UAV Platforms. In Proceedings of the 2021 15th European Conference on Antennas and Propagation (EuCAP), Düsseldorf, Germany, 22–26 March 2021; pp. 1–4. [Google Scholar] [CrossRef]
- Caizzone, S. Miniaturized E5a/E1 Antenna Array for Robust GNSS Navigation. IEEE Antennas Wirel. Prop. Lett. 2016, 16, 485–488. [Google Scholar] [CrossRef]
- Caizzone, S.; Buchner, G.; Circiu, M.-S.; Cuntz, M.; Elmarissi, W.; Marcos, E.P. A Miniaturized Multiband Antenna Array for Robust Navigation in Aerial Applications. Sensors 2019, 19, 2258. [Google Scholar] [CrossRef] [PubMed]
- Caizzone, S.; Varma, S.; Buchner, G.; Elmarissi, W. 3D Printed All-GNSS Bands Miniaturized Antenna and Array for Robust Satellite Navigation. In Proceedings of the 2020 14th European Conference on Antennas and Propagation (EuCAP), Copenhagen, Denmark, 15–20 March 2020; pp. 1–4. [Google Scholar] [CrossRef]
- Available online: https://catalog.ides.com/Datasheet.aspx?I=19843&FMT=PDF&E=438006&SKEY=19843.1484624.235739633%3A2e1bb653-c21c-476a-bc31-fce6405ec9e2&CULTURE=en-US& (accessed on 25 November 2022).
- Goulas, A.; Zhang, S.; Cadman, D.A.; Järveläinen, J.; Mylläri, V.; Whittow, W.G.; Vardaxoglou, J.C.; Engstrøm, D.S. The Impact of 3D Printing Process Parameters on the Dielectric Properties of High Permittivity Composites. Designs 2019, 3, 50. [Google Scholar] [CrossRef]
- Abdalmalak, K.A. Standing-Wave Feeding for High-Gain Linear Dielectric Resonator Antenna (DRA) Array. Sensors 2022, 22, 3089. [Google Scholar] [CrossRef] [PubMed]
- Tamjid, F.; Foroughian, F.; Thomas, C.M.; Ghahreamani, A.; Kazemi, R.; Fathy, A.E. Toward High-Performance Wideband GNSS Antennas-Design Tradeoffs and Development of Wideband Feed Network Structure. IEEE Trans. Antennas Propag. 2020, 68, 5796–5806. [Google Scholar] [CrossRef]
- Caizzone, S.; Tripathi, V.; Hehenberger, S. Investigating GNSS Multipath in Aeronautic Applications Through Antenna Installed Performance. In Proceedings of the 2021 15th European Conference on Antennas and Propagation (EuCAP), Düsseldorf, Germany, 22–26 March 2021; pp. 1–5. [Google Scholar] [CrossRef]
- Wang, X.; Li, J.; Chen, W.; Zhang, M.; Chen, J.; Zhang, A. The Effect of Mutual Coupling on the Performance of GNSS Antenna Arrays. IEEE Access 2020, 8, 20480–20487. [Google Scholar] [CrossRef]

















Publisher’s Note: MDPI stays neutral with regard to jurisdictional claims in published maps and institutional affiliations. |
© 2022 by the authors. Licensee MDPI, Basel, Switzerland. This article is an open access article distributed under the terms and conditions of the Creative Commons Attribution (CC BY) license (https://creativecommons.org/licenses/by/4.0/).
Share and Cite
Hehenberger, S.P.; Elmarissi, W.; Caizzone, S. Design and Installed Performance Analysis of a Miniaturized All-GNSS Bands Antenna Array for Robust Navigation on UAV Platforms. Sensors 2022, 22, 9645. https://doi.org/10.3390/s22249645
Hehenberger SP, Elmarissi W, Caizzone S. Design and Installed Performance Analysis of a Miniaturized All-GNSS Bands Antenna Array for Robust Navigation on UAV Platforms. Sensors. 2022; 22(24):9645. https://doi.org/10.3390/s22249645
Chicago/Turabian StyleHehenberger, Simon P., Wahid Elmarissi, and Stefano Caizzone. 2022. "Design and Installed Performance Analysis of a Miniaturized All-GNSS Bands Antenna Array for Robust Navigation on UAV Platforms" Sensors 22, no. 24: 9645. https://doi.org/10.3390/s22249645
APA StyleHehenberger, S. P., Elmarissi, W., & Caizzone, S. (2022). Design and Installed Performance Analysis of a Miniaturized All-GNSS Bands Antenna Array for Robust Navigation on UAV Platforms. Sensors, 22(24), 9645. https://doi.org/10.3390/s22249645

