On Transient Queue-Size Distribution in a Model of WSN Node with Threshold-Type Power-Saving Algorithm
Abstract
1. Introduction
2. Mathematical Description of the Model
3. Queue-Size Distribution during Buffer Loading Period
4. Queue-Size Distribution during Busy Period
5. Main Result
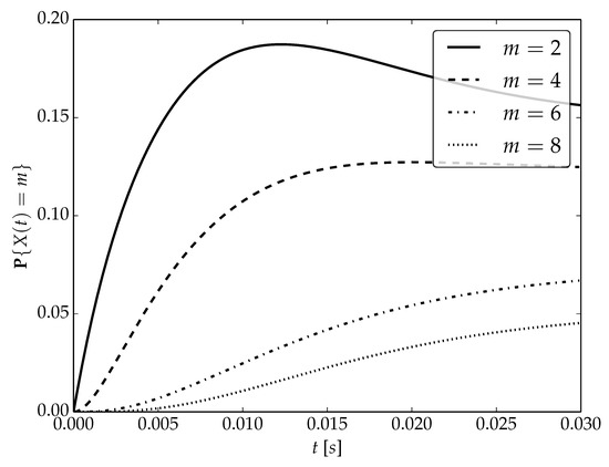
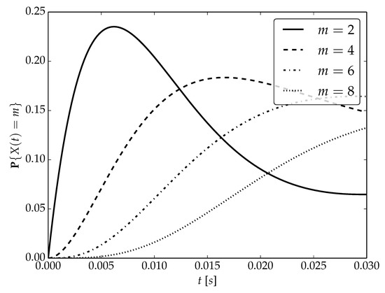
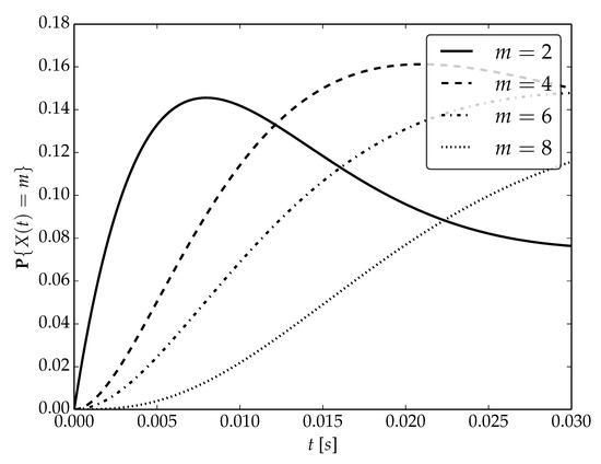
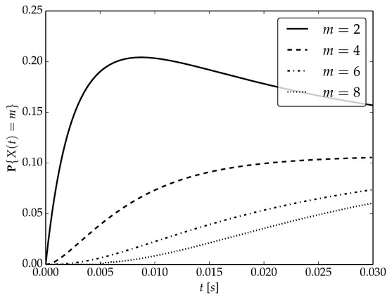
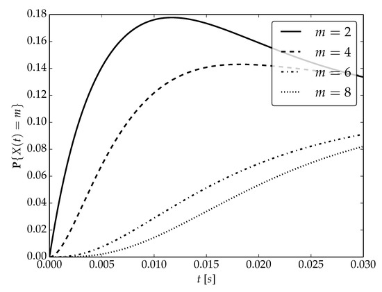
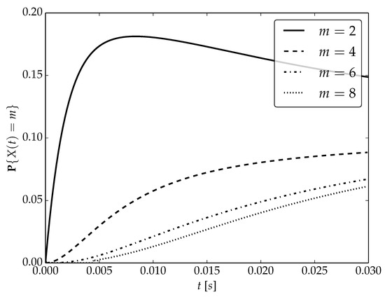
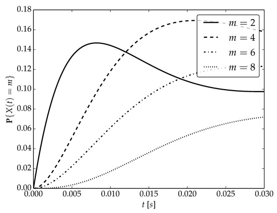
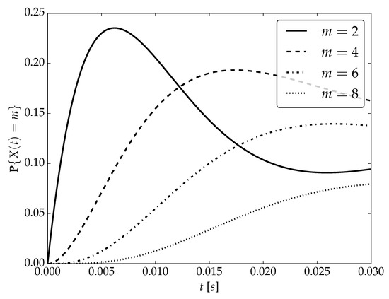
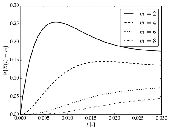
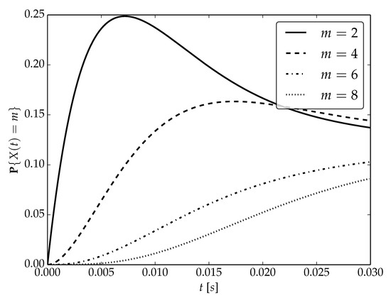
6. Numerical Examples
- •
- ;
- •
- .
- The higher the threshold value N, the more volatile is the behavior of the appropriate transient probability;
- The behavior of probability distributions close to is characterized by greater variability with greater values of m (which is directly related to a buffer loading period starting at time , during which it is possible to obtain higher values of the queue length);
- As can be observed, the graphs “stabilize” faster for a lower traffic load value .
7. Conclusions
Author Contributions
Funding
Institutional Review Board Statement
Informed Consent Statement
Data Availability Statement
Conflicts of Interest
References
- Kosar, R.; Bojaxhiu, I.; Onur, E.; Ersoy, C. Lifetime extension for surveillance wireless sensor networks with intelligent redeployment. J. Network And Comput. Appl. 2011, 34, 1784–1793. [Google Scholar] [CrossRef]
- Lee, J.H.; Moon, I. Modeling and optimization of energy efficient routing in wireless sensor networks. Appl. Math. Model. 2014, 38, 2280–2289. [Google Scholar] [CrossRef]
- Wang, J.; Liu, Y.; Song, H. Counter-unmanned aircraft system(s) (C-UAS): State of the art, challenges, and future trends. IEEE Aerosp. Electron. Syst. Mag. 2021, 36, 4–29. [Google Scholar] [CrossRef]
- Wang, Z.; Yue, L.; Chengguo, L.; Hong, G.-R.; Pen, S.R. Dynamic inversion of inland aquaculture water quality based on UAVs-WSN spectral analysis. Remote Sens. 2020, 12, 402. [Google Scholar] [CrossRef]
- Alskaif, T.; Guerrero-Zapata, M.; Bellalta, B. Game theory for energy efficiency in wireless sensor networks: Latest trends. J. Netw. Comput. 2015, 54, 33–61. [Google Scholar] [CrossRef]
- Ari, A.A.A.; Yenke, B.O.; Labraoui, N.; Damakoa, I.; Gueroui, A. A power efficient cluster-based routing algorithm for wireless sensor networks: Honeybees swarm intelligence based approach. J. Netw. Comput. 2016, 69, 77–97. [Google Scholar] [CrossRef]
- Xiao, F.; Aritsugi, M. An adaptive parallel processing strategy for complex event processing systems over data streams in wireless sensor networks. Sensors 2018, 18, 3732. [Google Scholar] [CrossRef]
- Jiang, F.C.; You, I.; Leu, F.Y. Approaching green sensor field using queue-based optimization technique. J. Netw. Comput. 2016, 66, 128–136. [Google Scholar] [CrossRef]
- Deng, X.; Ma, L.; Liu, X. CCAIB: Congestion control based on adaptive integral backstepping for wireless multi-router network. Sensors 2022, 22, 1818. [Google Scholar] [CrossRef]
- Lee, J.-H.; Jung, I.-B. Adaptive-compression based congestion control technique for wireless sensor networks. Sensors 2010, 10, 2919–2945. [Google Scholar] [CrossRef]
- Jiang, F.C.; Huang, D.C.; Yang, C.T.; Leu, F.Y. Lifetime elongation for wireless sensor network using queue-based approaches. J. Supercomput. 2012, 59, 1312–1335. [Google Scholar] [CrossRef]
- Jiang, F.C.; Huang, D.C.; Wang, K.H. Design approaches for optimizing power consumption of sensor node with N-policy M/G/1 queuing model. In Proceedings of the 4th International Conference on Queueing Theory and Network Applications, ACM, Fusionopolis, Singapore, 29–31 July 2009; p. 3. [Google Scholar]
- Jiang, F.C.; Huang, D.C.; Yang, C.T.; Wang, K.H. Mitigation techniques for the energy hole problem in sensor networks using N-policy M/G/1 queuing models. In Proceedings of the International Conference on Frontier Computing, Theory, Technologies and Applications, Bhubaneswar, India, 22–23 December 2012; pp. 281–286. [Google Scholar]
- Ma, Z.; Yu, X.; Guo, S.; Zhang, Y. Analysis of wireless sensor networks with sleep mode and threshold activation. Wirel. Netw. 2021, 27, 1431–1443. [Google Scholar] [CrossRef]
- Maheswar, R.; Jayaparvathy, R. Power control algorithm for wireless sensor networks using N-policy M/M/1 queueing model. Power 2010, 2, 2378–2382. [Google Scholar]
- Jain, M.; Kaur, S.; Singh, P. Supplementary variable technique (SVT) for non-Markovian single server queue with service interruption (QSI). Oper. Res. 2021, 21, 2203–2246. [Google Scholar] [CrossRef]
- Kumar, P.; Jain, M.; Meena, R.K. Optimal control of fault tolerant machining system with reboot and recovery in fuzzy environment using harmony search algorithm. ISA Trans. 2022, 119, 52–64. [Google Scholar] [CrossRef]
- Tian, N.; Zhang, Z.G. Vacation Queueing Models: Theory and Applications; Springer Science & Business Media: Berlin/Heidelberg, Germany, 2006; Volume 93. [Google Scholar]
- Wang, Z.; Liu, L.; Shao, Y.; Zhao, Y.Q. Joining strategies under two kinds of games for a multiple vacations retrial queue with N-policy and breakdowns. AIMS Math. 2021, 6, 9075–9099. [Google Scholar] [CrossRef]
- Wang, Z.; Liu, L.; Zhao, Y.Q. Equilibrium customer and socially optimal balking strategies in a constant retrial queue with multiple vacations and N-policy. J. Comb. Optim. 2022, 43, 870–908. [Google Scholar] [CrossRef]
- Nandi, R.; Samanta, S.K.; Kim, C. Analysis of D-BMAP/G/1 queueing system under N-policy and its cost optimization. J. Ind. Manag. Optim. 2021, 17, 3603. [Google Scholar] [CrossRef]
- Suganya, R.; Nkenyereye, L.; Anbazhagan, N.; Amutha, S.; Kameswari, M.; Acharya, S.; Joshi, G.P. Perishable inventory system with N-policy, MAP arrivals, and impatient customers. Mathematics 2021, 9, 1514. [Google Scholar] [CrossRef]
- Meena, R.K.; Jain, M.; Assad, A.; Sethi, R.; Garg, D. Performance and cost comparative analysis for M/G/1 repairable machining system with N-policy vacation. Math. Comput. Simul. 2022, 200, 315–328. [Google Scholar] [CrossRef]
- Sun, W.; Zhang, Z.; Li, S. Comparisons of customer balking behavior in observable queues with N policies and geometric abandonments. Qual. Technol. Quant. Manag. 2022, 1–27. [Google Scholar] [CrossRef]
- Kempa, W.M. On transient queue-size distribution in the batch arrival system with the N-policy and setup times. Math. Commun. 2012, 17, 285–302. [Google Scholar]
- Kempa, W.M. The virtual waiting time for the batch arrival queueing systems. Stoch. Anal. Appl. 2004, 22, 1235–1255. [Google Scholar] [CrossRef]
- Kempa, W.M. GI/G/1/∞ batch arrival queueing system with a single exponential vacation Kempa. Math. Methods Oper. Res. 2009, 69, 81–97. [Google Scholar] [CrossRef]
- Kempa, W.M. On transient queue-size distribution in the batch-arrivals system with a single vacation policy. Kybernetika 2014, 50, 126–141. [Google Scholar] [CrossRef][Green Version]
- Kempa, W.M.; Kurzyk, D. Transient departure process in M/G/1/K-type queue with threshold server’s waking up. In Proceedings of the 2015 23rd International Conference on Software, Telecommunications and Computer Networks (SoftCOM), Split, Croatia, 16–18 September 2015; pp. 32–36. [Google Scholar]
- Kempa, W.M.; Kobielnik, M. Transient solution for the queue-size distribution in a finite-buffer model with general independent input stream and single working vacation policy. Appl. Math. Model. 2018, 59, 614–628. [Google Scholar] [CrossRef]
- Kempa, W.M. A comprehensive study on the queue-size distribution in a finite-buffer system with a general independent input flow. Perform. Eval. 2017, 108, 1–15. [Google Scholar] [CrossRef]
- Sudhesh, R.; Mohammed, S.A. Transient analysis of power management in wireless sensor network with start-up times and threshold policy. Telecommun. Syst. 2022, 80, 1–16. [Google Scholar] [CrossRef]
- Ke, J.-C.; Wang, K.-H. A recursive method for the N policy G/M/1 queueing system with finite capacity. Eur. J. Oper. 2002, 142, 577–594. [Google Scholar] [CrossRef]
- Barbhuiya, F.P.; Kumar, N.; Gupta, U.C. Analysis of the GI/M/c queue with N-threshold policy. Qual. Technol. Quant. Manag. 2022, 19, 490–510. [Google Scholar] [CrossRef]
- Lee, S.W.; Lee, H.W.; Baek, J.W. Analysis of discrete-time MAP/G/1 queue under workload control. Perform. Eval. 2012, 69, 71–85. [Google Scholar] [CrossRef]
- Alfa, A.; Li, W. Optimal (N,T)-policy for M/G/1 system with cost structures. Perform. Eval. 2000, 42, 265–277. [Google Scholar] [CrossRef]
- Cohen, J.W. The Single Server Queue; North-Holland: Amsterdam, The Netherlands, 1982. [Google Scholar]
- Korolyuk, V.S. Boundary-value problems for compound Poisson processes. Theory Probab. Appl. 1974, 19, 1–13. [Google Scholar] [CrossRef]












| 1 | ||||
| 2 | ||||
| 3 | ||||
| 4 | ||||
| 5 | ||||
| 6 | ||||
| 7 | ||||
| 8 | ||||
| 1 | ||||
| 2 | ||||
| 3 | ||||
| 4 | ||||
| 5 | ||||
| 6 | ||||
| 7 | ||||
| 8 | ||||
| 1 | ||||
| 2 | ||||
| 3 | ||||
| 4 | ||||
| 5 | ||||
| 6 | ||||
| 7 | ||||
| 8 | ||||
Publisher’s Note: MDPI stays neutral with regard to jurisdictional claims in published maps and institutional affiliations. |
© 2022 by the authors. Licensee MDPI, Basel, Switzerland. This article is an open access article distributed under the terms and conditions of the Creative Commons Attribution (CC BY) license (https://creativecommons.org/licenses/by/4.0/).
Share and Cite
Kempa, W.M.; Kurzyk, D. On Transient Queue-Size Distribution in a Model of WSN Node with Threshold-Type Power-Saving Algorithm. Sensors 2022, 22, 9285. https://doi.org/10.3390/s22239285
Kempa WM, Kurzyk D. On Transient Queue-Size Distribution in a Model of WSN Node with Threshold-Type Power-Saving Algorithm. Sensors. 2022; 22(23):9285. https://doi.org/10.3390/s22239285
Chicago/Turabian StyleKempa, Wojciech M., and Dariusz Kurzyk. 2022. "On Transient Queue-Size Distribution in a Model of WSN Node with Threshold-Type Power-Saving Algorithm" Sensors 22, no. 23: 9285. https://doi.org/10.3390/s22239285
APA StyleKempa, W. M., & Kurzyk, D. (2022). On Transient Queue-Size Distribution in a Model of WSN Node with Threshold-Type Power-Saving Algorithm. Sensors, 22(23), 9285. https://doi.org/10.3390/s22239285

