A Big Coal Block Alarm Detection Method for Scraper Conveyor Based on YOLO-BS
Abstract
1. Introduction
- (1)
- The transform module that can extract global information of an image is integrated with the YOLOv4 algorithm, meaning the YOLO-BS algorithm has a strong ability to read global information.
- (2)
- In response to the requirement to monitor big coal blocks in scraper conveyors, the PAnet module of the YOLO-BS algorithm performs the pruning operation of small targets, and the simAM module is introduced to accelerate the convergence of the model and reduce the feature loss.
- (3)
- Sample imbalance was present in the big coal block data collected on site. In this paper, focal loss was selected as the loss function of YOLO-BS to solve the problem of data imbalance.
- (4)
- To verify the effectiveness of the scraper conveyor monitoring algorithm proposed in this paper, we installed data acquisition and processing equipment in Daliuta Mine as an example of its application.
2. Literature Review
2.1. Traditional Image Processing Methods
2.2. Image Processing Method Based on Deep Learning
3. Research Technology Route
4. Method
4.1. Big Coal Block Detection Algorithm for Scraper Conveyor
4.1.1. YOLO-BS Algorithm Framework
4.1.2. The Backbone Structure of Fusion Transform
4.1.3. PANet Modules with Large-Scale Features
4.1.4. Loss Function to Solve Sample Distribution Imbalance
4.2. Calculation of the Abnormal Value of Coal Block in Scraper Conveyor
5. Monitoring and Analysis of Big Coal Blocks in Scraper Conveyor
5.1. Introduction to the Environment of Underground Mines
5.2. Big Coal Block Monitoring System Equipment Installation and Data Collection
5.3. Implementation Details
5.4. Experiment
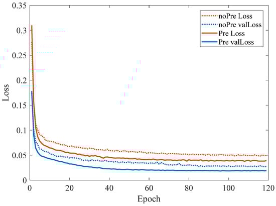
5.4.1. Model Training
5.4.2. Model Test
5.4.3. Analysis of Ablation Experiment
5.5. Analysis of Monitoring Accuracy of Big Coal Blocks in Scraper Conveyor
5.6. Comparative Analysis of Advantages of Different Categories of Methods
6. Conclusions
Author Contributions
Funding
Institutional Review Board Statement
Informed Consent Statement
Data Availability Statement
Acknowledgments
Conflicts of Interest
References
- Zhang, M.; Shi, H.; Yu, Y.; Zhou, M. A computer vision based conveyor deviation detection system. Appl. Sci. 2020, 10, 2402. [Google Scholar] [CrossRef]
- Jiang, S.; Huang, S.; Mao, Q.; Zeng, Q.; Gao, K.; Lv, J. Dynamic Properties of Chain Drive in a Scraper Conveyor under Various Working Conditions. Machines 2022, 10, 579. [Google Scholar] [CrossRef]
- Wang, Y.; Guo, W.; Zhao, S.; Xue, B.; Xing, Z. A Scraper Conveyor Coal Flow Monitoring Method Based on Speckle Structured Light Data. Appl. Sci. 2022, 12, 6955. [Google Scholar] [CrossRef]
- Lv, J.; Shi, P.; Wan, Z.; Cheng, J.; Xing, K.; Wang, M.; Gou, H. Research on a Real-Time Monitoring Method for the Three-Dimensional Straightness of a Scraper Conveyor Based on Binocular Vision. Mathematics 2022, 10, 3545. [Google Scholar] [CrossRef]
- Xing, Z.; Zhao, S.; Guo, W.; Guo, X.; Wang, S.; Li, M.; Wang, Y.; He, H. Analyzing Point Cloud of Coal Mining Process in Much Dust Environment Based on Dynamic Graph Convolution Neural Network. Environ. Sci. Pollut. Res. 2022, 1–18. [Google Scholar] [CrossRef]
- Burnos, P.; Gajda, J. Optimised Autocalibration Algorithm of Weigh-In-Motion Systems for Direct Mass Enforcement. Sensors 2020, 20, 3049. [Google Scholar] [CrossRef]
- Burnos, P.; Gajda, J.; Sroka, R.; Wasilewska, M.; Dolega, C. High Accuracy Weigh-In-Motion Systems for Direct Enforcement. Sensors 2021, 21, 8046. [Google Scholar] [CrossRef]
- Gao, H.; Pang, W. A high-accuracy dynamic weighing system based on single-idler conveyor belt. In Proceedings of the 2009 International Conference on Machine Learning and Cybernetics, Baoding, China, 12–15 July 2009; Volume 4, pp. 2483–2487. [Google Scholar]
- Zhang, M.; Zhou, M.; Shi, H. A computer vision-based real-time load perception method for belt conveyors. Math. Probl. Eng. 2020, 2020, 8816388. [Google Scholar] [CrossRef]
- Xing, Z.; Zhao, S.; Guo, W.; Guo, X.; Wang, Y.; Bai, Y.; Zhu, S.; He, H. Identifying Balls Feature in a Large-Scale Laser Point Cloud of a Coal Mining Environment by a Multiscale Dynamic Graph Convolution Neural Network. ACS Omega 2022, 7, 4892–4907. [Google Scholar] [CrossRef]
- Fojtík, D. Measurement of the volume of material on the conveyor belt measuring of the volume of wood chips during transport on the conveyor belt using a laser scanning. In Proceedings of the 2014 15th International Carpathian Control Conference (ICCC), Velke Karlovice, Czech Republic, 28–30 May 2014; pp. 121–124. [Google Scholar]
- Sun, J.; Su, B. Coal–rock interface detection on the basis of image texture features. Int. J. Min. Sci. Technol. 2013, 23, 681–687. [Google Scholar] [CrossRef]
- Xing, Z.; Zhao, S.; Guo, W.; Guo, X.; Wang, Y. Processing Laser Point Cloud in Fully Mechanized Mining Face Based on DGCNN. ISPRS Int. J. Geo-Inf. 2021, 10, 482. [Google Scholar] [CrossRef]
- Zhang, Z.; Yang, J.; Wang, Y.; Dou, D.; Xia, W. Ash content prediction of coarse coal by image analysis and GA-SVM. Powder Technol. 2014, 268, 429–435. [Google Scholar] [CrossRef]
- Zhang, K.; Wang, W.; Lv, Z.; Fan, Y.; Song, Y. Computer vision detection of foreign objects in coal processing using attention CNN. Eng. Appl. Artif. Intell. 2021, 102, 104242. [Google Scholar] [CrossRef]
- Xian, X.; Jiang, Q.; Liu, X. Target detection in mine based on fusion of color and edge information. In Proceedings of the 2017 International Conference on Advanced Mechatronic Systems (ICAMechS), Xiamen, China, 6–9 December 2017; pp. 355–360. [Google Scholar]
- Hou, W. Identification of coal and gangue by feed-forward neural network based on data analysis. Int. J. Coal Prep. Util. 2019, 39, 33–43. [Google Scholar] [CrossRef]
- Zhang, H.; Zhang, J. Feature Analysis and Target Detection of High-resolution Remote Sensing Image of Coal Mining Subsidence Area. Earth Environ. Sci. 2020, 558, 022004. [Google Scholar] [CrossRef]
- Wang, G.; Li, X.; Yang, L. Dynamic Coal Quantity Detection and Classification of Permanent Magnet Direct Drive Belt Conveyor Based on Machine Vision and Deep Learning. Int. J. Pattern Recognit. Artif. Intell. 2021, 35, 2152017. [Google Scholar] [CrossRef]
- Bai, F.; Fan, M.; Yang, H.; Dong, L. Image segmentation method for coal particle size distribution analysis. Particuology 2021, 56, 163–170. [Google Scholar] [CrossRef]
- Wang, X.; Wang, S.; Guo, Y.; Hu, K.; Wang, W. Coal gangue image segmentation method based on edge detection theory of star algorithm. Int. J. Coal Prep. Util. 2022, 1–16. [Google Scholar] [CrossRef]
- Lv, Z.; Wang, W.; Xu, Z.; Zhang, K.; Fan, Y.; Song, Y. Fine-grained object detection method using attention mechanism and its application in coal–gangue detection. Appl. Soft Comput. 2021, 113, 107891. [Google Scholar] [CrossRef]
- Yan, P.; Sun, Q.; Yin, N.; Hua, L.; Shang, S.; Zhang, C. Detection of coal and gangue based on improved YOLOv5. 1 which embedded scSE module. Measurement 2022, 188, 110530. [Google Scholar] [CrossRef]
- Liu, Q.; Li, J.; Li, Y.; Gao, M. Recognition methods for coal and coal gangue based on deep learning. IEEE Access 2021, 9, 77599–77610. [Google Scholar] [CrossRef]
- Wang, W.; Wang, S.; Guo, Y.; Zhao, Y. Obstacle detection method of unmanned electric locomotive in coal mine based on YOLOv3-4L. J. Electron. Imaging 2022, 31, 023032. [Google Scholar] [CrossRef]
- Ma, G.; Wang, X.; Liu, J.; Chen, W.; Niu, Q.; Liu, Y.; Gao, X. Intelligent Detection of Foreign Matter in Coal Mine Transportation Belt Based on Convolution Neural Network. Sci. Program. 2022, 2022, 9740622. [Google Scholar] [CrossRef]
- Xiao, D.; Shan, F.; Li, Z.; Le, B.; Liu, X.; Li, X. A target detection model based on improved tiny-yolov3 under the environment of mining truck. IEEE Access 2019, 7, 123757–123764. [Google Scholar] [CrossRef]
- Qu, D.; Qiao, T.; Pang, Y.; Yang, Y.; Zhang, H. Research on ADCN method for damage detection of mining conveyor belt. IEEE Sens. J. 2020, 21, 8662–8669. [Google Scholar] [CrossRef]
- Shao, X.; Zhu, H.; Guo, D.; Zheng, R.; Wei, J. Research on detection of large coal blockage at the transfer point of belt conveyor based on improved mask R-CNN. IOP Conf. Ser. Earth Environ. Sci. 2020, 440, 052028. [Google Scholar] [CrossRef]
- Xie, J.; Cai, X.; Yang, H.; Meng, Q.; Li, B.; Yan, Y.; Zhao, L. Coal Gangue Data Set Expansion Method Based on DCGAN. In Proceedings of the 2022 2nd International Conference on Consumer Electronics and Computer Engineering 2022, Guangzhou, China, 14–16 January 2022; pp. 303–308. [Google Scholar]
- Zhao, X.; Li, X.; Yin, L.; Feng, W.; Zhang, N.; Zhang, X. Foreign body recognition for coal mine conveyor based on improved PCANSet. In Proceedings of the 2019 11th International Conference on Wireless Communications and Signal Processing 2019, Xi’an, China, 23–25 October 2019; pp. 1–6. [Google Scholar]
- Gui, F.; Yu, S.; Zhang, H.; Zhu, H. Coal Gangue Recognition Algorithm Based on Improved YOLOv5. In Proceedings of the 2021 IEEE 2nd International Conference on Information Technology, Big Data and Artificial Intelligence 2021, Chongqing, China, 17–19 December 2021; Volume 2, pp. 1136–1140. [Google Scholar]
- Liu, M.; Zhu, Q.; Yin, Y.; Fan, Y.; Su, Z.; Zhang, S. Damage Detection Method of Mining Conveyor Belt Based on Deep Learning. IEEE Sens. J. 2022, 22, 10870–10879. [Google Scholar] [CrossRef]
- Mao, W.L.; Chiu, Y.Y.; Lin, B.H.; Wang, C.C.; Wu, Y.T.; You, C.Y.; Chien, Y.R. Integration of Deep Learning Network and Robot Arm System for Rim Defect Inspection Application. Sensors 2022, 22, 3927. [Google Scholar] [CrossRef]
- Bochkovskiy, A.; Wang, C.; Liao, H. Yolov4: Optimal speed and accuracy of object detection. arXiv Prepr. 2004, arXiv:10934. [Google Scholar]
- Carion, N.; Massa, F.; Synnaeve, G.; Usunier, N.; Kirillov, A.; Zagoruyko, S. End-to-end object detection with transformers. arXiv 2020, arXiv:2005.12872. [Google Scholar] [CrossRef]
- Tolstikhin, I.; Houlsby, N.; Kolesnikov, A.; Beyer, L.; Zhai, X.; Unterthiner, T.; Dosovitskiy, A. Mlp-mixer: An all-mlp architecture for vision. Adv. Neural Inf. Process. Syst. 2021, 34, 24261–24272. [Google Scholar]
- Yang, L.; Zhang, R.; Li, L.; Xie, X. Simam: A simple, parameter-free attention module for convolutional neural networks. Int. Conf. Mach. Learn. 2021, 139, 11863–11874. [Google Scholar]
- Lin, T.; Goyal, P.; Girshick, R.; He, K.; Dollár, P. Focal loss for dense object detection. In Proceedings of the IEEE International Conference on Computer Vision, Venice, Italy, 22–29 October 2017; pp. 2980–2988. [Google Scholar]
- Hu, J.; Shen, L.; Sun, G. Squeeze-and-excitation networks. In Proceedings of the IEEE Conference on Computer Vision and Pattern Recognition, Salt Lake City, UT, USA, 18–23 June 2018; pp. 7132–7141. [Google Scholar]
- Woo, S.; Park, J.; Lee, J.; Kweon, I. Cbam: Convolutional block attention module. In Proceedings of the European Conference on Computer Vision, Munich, Germany, 8–14 September 2018; pp. 3–19. [Google Scholar]
- Wang, Q.; Wu, B.; Zhu, P.; Li, P.; Zuo, W.; Hu, Q. Supplementary Material for ‘ECA-Net: Efficient Channel Attention for Deep Convolutional Neural Networks. In Proceedings of the 2020 IEEE/CVF Conference on Computer Vision and Pattern Recognition, Seattle, WA, USA, 14–19 June 2020; pp. 13–19. [Google Scholar]
- Liu, W.; Anguelov, D.; Erhan, D.; Szegedy, C.; Reed, S.; Fu, C.; Berg, A. Ssd: Single shot multibox detector. In Proceedings of the European Conference on Computer Vision 2016, Amsterdam, The Netherlands, 11–14 October 2016; pp. 21–37. [Google Scholar]
- Su, S.; Chen, R.; Fang, X.; Zhu, Y.; Zhang, T.; Xu, Z. A Novel Lightweight Grape Detection Method. Agriculture 2022, 12, 1364. [Google Scholar] [CrossRef]
- Redmon, J.; Farhadi, A. Yolov3: An incremental improvement. arXiv Prepr. 2018, arXiv:1804.02767. [Google Scholar]
- Lv, H.; Yan, H.; Liu, K.; Zhou, Z.; Jing, J. YOLOv5-AC: Attention Mechanism-Based Lightweight YOLOv5 for Track Pedestrian Detection. Sensors 2022, 22, 5903. [Google Scholar] [CrossRef] [PubMed]
- Zhan, J.; Hu, Y.; Cai, W.; Zhou, G.; Li, L. PDAM–STPNNet: A Small Target Detection Approach for Wildland Fire Smoke through Remote Sensing Images. Symmetry 2021, 13, 2260. [Google Scholar] [CrossRef]













| Parameter Type | Unit | Parameter |
|---|---|---|
| Image sensor | - | 1/2.7 inch HM2131 |
| Image pixel | - | 2M 1080P |
| Image format | - | YUV/JPG |
| Camera lens | mm | F.3.0 f/no.24,000 |
| Working current | mA | <200 mA |
| Sleep current | mA | <10 mA |
| Operating temperature | °C | −20~50 |
| Parameter Type | Unit | Parameter |
|---|---|---|
| Model | - | MIC-7700 |
| CPU | - | i7-6700T |
| Graphics card | - | Intel HD |
| System memory | GB | 16 (DDR4 2400 MHz) |
| BIOS | - | AMI BIOS, ASPI supported |
| Power | V | DC 12 V |
| COM | - | 6 × RS232 |
| Attention | FLOPs | Param | mAP |
|---|---|---|---|
| Original | 48,516,594,022 | 54,943,070.0 | 96.11 |
| SENet | +239,616 | +32,768 | 96.27 |
| CBAM | +469,348 | +65,634 | 96.41 |
| ECA | +179,200 | +5 | 96.31 |
| SimAM | +0 | +0 | 96.35 |
| Model | Input Size | mAP/% | Precision/% | Prams/M | FLOPs/G | FPS |
|---|---|---|---|---|---|---|
| SSD | 300 × 300 | 84.18 | 74.44 | 26.285 | 62.798 | 112.96 |
| Faster-RCNN | 600 × 600 | 86.04 | 46.54 | 137.099 | 370.406 | 21.77 |
| RetinaNet | 600 × 600 | 90.86 | 73.14 | 37.969 | 169.821 | 43.54 |
| YOLOv3 | 416 × 416 | 85.74 | 82.70 | 61.949 | 66.096 | 65.79 |
| YOLOv4 | 416 × 416 | 90.09 | 89.36 | 64.363 | 60.334 | 61.34 |
| YOLOv5-L | 640 × 640 | 90.52 | 83.95 | 47.057 | 115.603 | 72.12 |
| YOLOX-L | 416 × 416 | 89.03 | 83.13 | 54.209 | 65.762 | 64.45 |
| YOLO-BS | 416 × 416 | 96.86 | 96.10 | 57.303 | 49.315 | 80.68 |
| Transform | Branch-d | SimAM | Focal Loss | mAP/% | Precision/% | Prams/M | Flops/G | FPS |
|---|---|---|---|---|---|---|---|---|
| -- | -- | -- | -- | 90.09 | 89.36 | 64.363 | 60.334 | 61.34 |
| √ | -- | -- | -- | 95.66 | 93.18 | 59.112 | 58.559 | 63.73 |
| √ | √ | -- | -- | 94.13 | 91.86 | 54.943 | 48.517 | 79.97 |
| √ | √ | √ | -- | 96.35 | 94.35 | 57.303 | 49.315 | 80.68 |
| √ | √ | √ | √ | 96.86 | 96.10 | 57.303 | 49.315 | 80.68 |
| Contrast Item | T-I Method | Our Method | Lidar Method |
|---|---|---|---|
| Economic cost | low | middle | high |
| Calculation power | low | high | high |
| Detection speed | middle | high | middle |
| Accuracy | middle | high | high |
Publisher’s Note: MDPI stays neutral with regard to jurisdictional claims in published maps and institutional affiliations. |
© 2022 by the authors. Licensee MDPI, Basel, Switzerland. This article is an open access article distributed under the terms and conditions of the Creative Commons Attribution (CC BY) license (https://creativecommons.org/licenses/by/4.0/).
Share and Cite
Wang, Y.; Guo, W.; Zhao, S.; Xue, B.; Zhang, W.; Xing, Z. A Big Coal Block Alarm Detection Method for Scraper Conveyor Based on YOLO-BS. Sensors 2022, 22, 9052. https://doi.org/10.3390/s22239052
Wang Y, Guo W, Zhao S, Xue B, Zhang W, Xing Z. A Big Coal Block Alarm Detection Method for Scraper Conveyor Based on YOLO-BS. Sensors. 2022; 22(23):9052. https://doi.org/10.3390/s22239052
Chicago/Turabian StyleWang, Yuan, Wei Guo, Shuanfeng Zhao, Buqing Xue, Wugang Zhang, and Zhizhong Xing. 2022. "A Big Coal Block Alarm Detection Method for Scraper Conveyor Based on YOLO-BS" Sensors 22, no. 23: 9052. https://doi.org/10.3390/s22239052
APA StyleWang, Y., Guo, W., Zhao, S., Xue, B., Zhang, W., & Xing, Z. (2022). A Big Coal Block Alarm Detection Method for Scraper Conveyor Based on YOLO-BS. Sensors, 22(23), 9052. https://doi.org/10.3390/s22239052

