Maximizing Average Throughput of Cooperative Cognitive Radio Networks Based on Energy Harvesting
Abstract
1. Introduction
- (1)
- A time-power joint optimization model with the goal of maximizing the network’s throughput is proposed and analyzed. The optimization model is constrained by transmission power, energy and interruption. Moreover, we comprehensively analyze the impacts of different key parameters on the average throughput of EH-CCRNs, i.e., the transmission power of PU, the system time switching factor and distance, etc.
- (2)
- A power splitting factor expression at SU is proposed, on the basis that the effect of time switching factor on the network average throughput is independent of this factor. We provide a detailed analysis of the influence of this factor on the communication quality of short-range users.
- (3)
- A multi-user time-power resource allocation algorithm (M-TPRA) is proposed. Firstly, M-TPRA transforms non-convex optimization problems into convex optimization problems by introducing slack variables. Secondly, using the idea of hierarchical optimization, the optimization problem is divided into two sub-problems: power control and time allocation. Thirdly, the power control is obtained by sub-gradient descent, and time allocation is obtained by unary linear optimization. Finally, we analyze the energy consumed by implementing the M-TPRA algorithm.
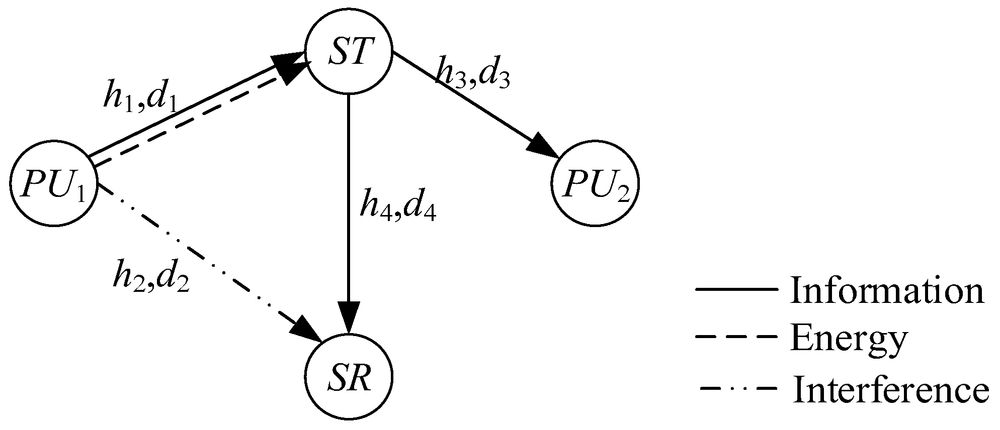
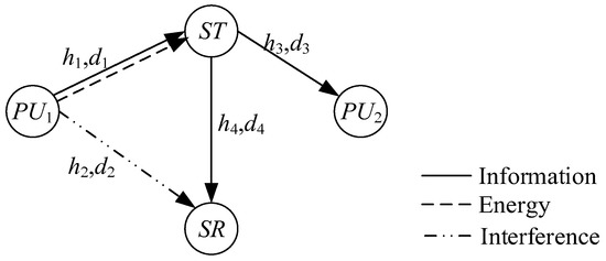
2. System Model
2.1. Broadcasting
2.2. Broadcasting
2.3. Problem Formulation
3. Multi-User Time-Power Resource Allocation Algorithm (M-TPRA)
3.1. Power Control
| Algorithm 1: Multi-User Time-Power Resource Allocation Algorithm |
| 1. Initialization: , , , , convergence tolerance; 2. while 3. calculated , according to Equations (22) and (27); 4. if and 5. update 6. end if 7. calculated according to Equation (17); 8. iteratively update according to Equation (29); 9. end while 10. obtained according to P5; 11. for 12. calculated according to Equation (17); 13. end for |
3.2. Time Allocation
4. Results and Discussion
4.1. Simulation Parameters
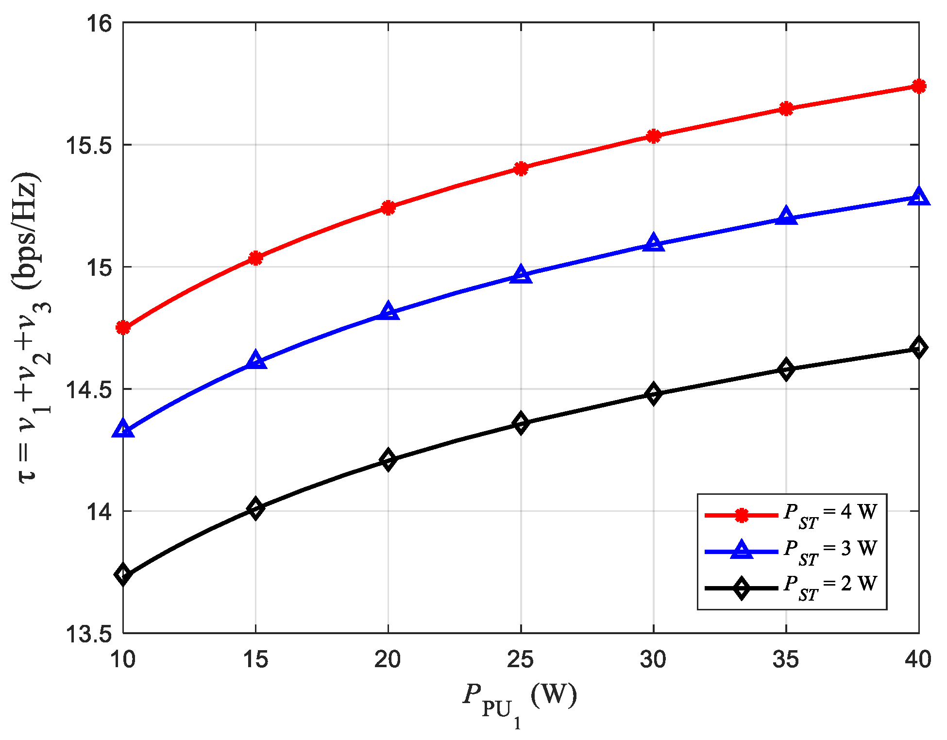
4.2. Effect of Transmission Power on Throughput
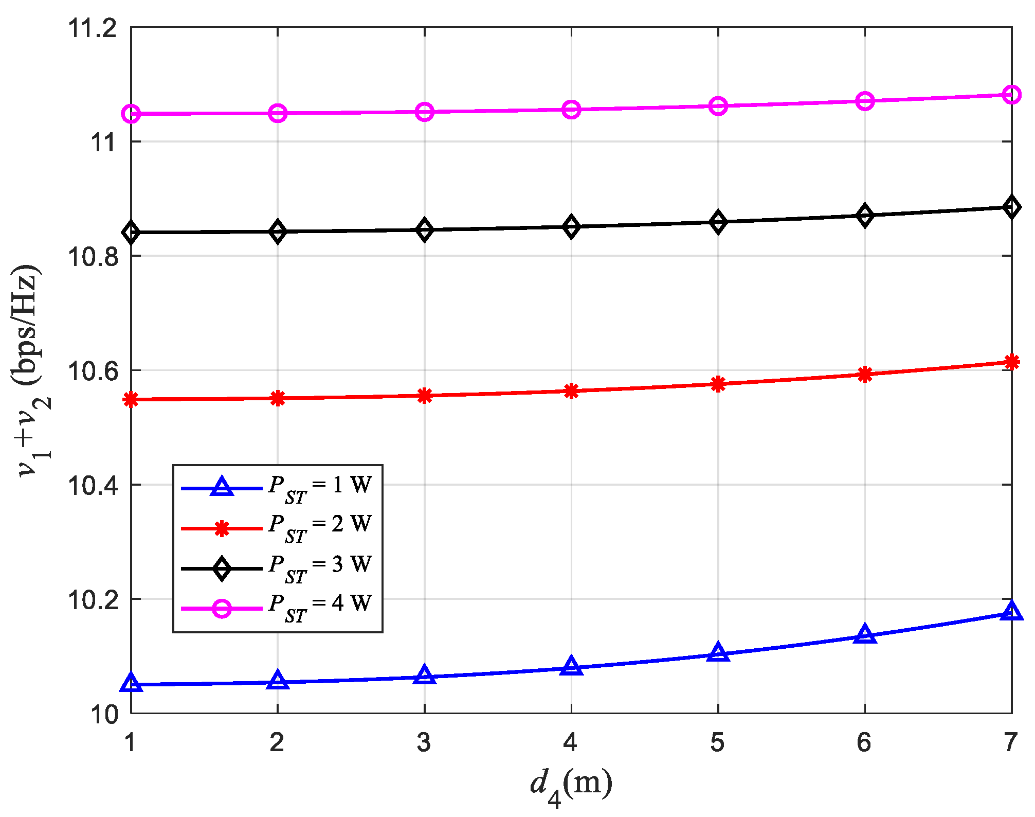
4.3. Relationship between and Throughput
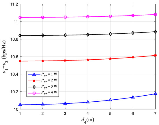
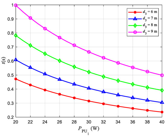
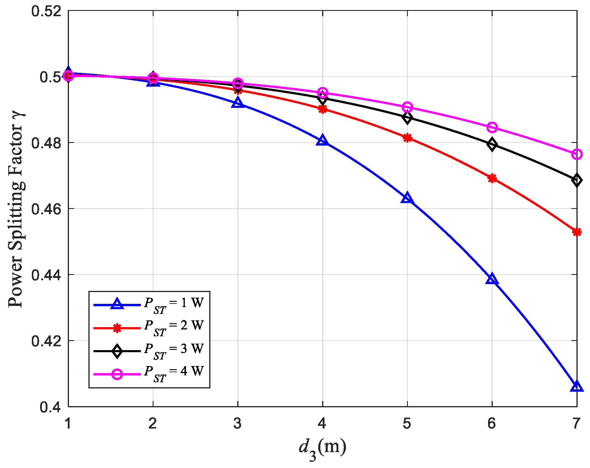
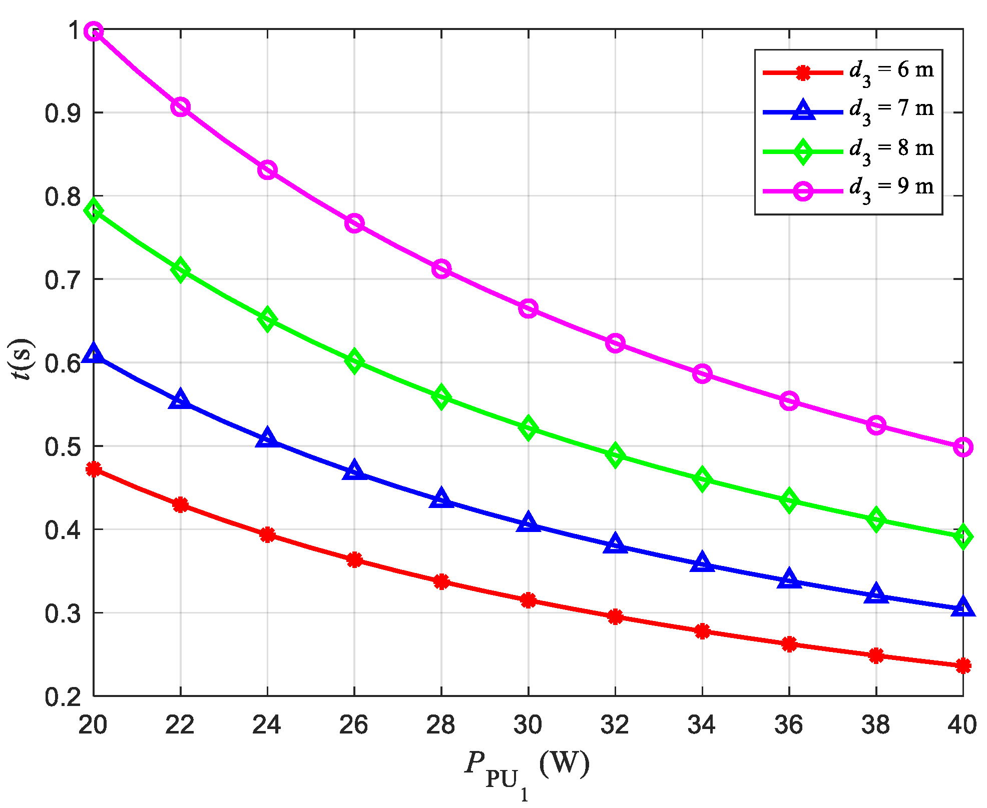
4.4. Effect of Distance on
4.5. Algorithm Comparative Analysis
4.6. Energy Consumption Analysis
5. Conclusions
Author Contributions
Funding
Institutional Review Board Statement
Informed Consent Statement
Data Availability Statement
Conflicts of Interest
Appendix A
| Notation | Description |
|---|---|
| transmission power of | |
| transmission power of | |
| channel coefficient | |
| distance between users | |
| zero-mean additive white Gaussian noise at | |
| zero-mean additive white Gaussian noise at | |
| zero-mean additive white Gaussian noise at | |
| AWGN variance at | |
| AWGN variance at | |
| AWGN variance at | |
| path loss index | |
| time switching factor | |
| power-splitting factor | |
| energy conversion efficiency | |
| interference threshold | |
| maximum transmission power | |
| maximum transmission rate | |
| target rate | |
| average network throughput | |
| energy collected by |
Appendix B
Appendix C
References
- Commission, F.C. Spectrum Policy Task Force Report. IEEE Trans. Inf. Forensics Secur. 2002, 1, 2–135. [Google Scholar]
- Mitola, J.; Maguire, G.Q. Cognitive Radio: Making Software Radios More Personal. IEEE Pers. Commun. 1999, 6, 13–18. [Google Scholar] [CrossRef]
- Aboulfotouh, A.; Soliman, S.S. Time-Efficient Sub-Optimal Solutions for Dynamic Spectrum Allocation in CRN with User Fairness. IEEE Access 2021, 9, 145033–145044. [Google Scholar] [CrossRef]
- Sangdeh, P.K.; Pirayesh, H.; Quadri, A.; Zeng, H. A Practical Spectrum Sharing Scheme for Cognitive Radio Networks: Design and Experiments. IEEE/ACM Trans. Netw. 2020, 28, 1818–1831. [Google Scholar] [CrossRef]
- Chauhan, P.; Deka, S.K.; Chatterjee, B.C.; Sarma, N. Cooperative Spectrum Prediction-Driven Sensing for Energy Constrained Cognitive Radio Networks. IEEE Access 2021, 9, 26107–26118. [Google Scholar] [CrossRef]
- Wang, C.; Song, T.; Wu, J.; Yu, Y.; Hu, J. Energy-Efficient Cooperative Spectrum Sensing with Reporting Errors in Hybrid Spectrum Sharing CRNs. IEEE Access 2018, 6, 48391–48402. [Google Scholar] [CrossRef]
- Roy, R.B.; Rokonuzzaman, M.; Amin, N.; Mishu, M.K.; Alahakoon, S.; Rahman, S.; Mithulananthan, N.; Rahman, K.S.; Shakeri, M.; Pasupuleti, J. A Comparative Performance Analysis of ANN Algorithms for MPPT Energy Harvesting in Solar PV System. IEEE Access 2021, 9, 102137–102152. [Google Scholar] [CrossRef]
- Xu, T.; Zhang, N. Coordinated Operation of Concentrated Solar Power and Wind Resources for the Provision of Energy and Reserve Services. IEEE Trans. Power Syst. 2017, 32, 1260–1271. [Google Scholar] [CrossRef]
- Sudevalayam, S.; Kulkarni, P. Energy Harvesting Sensor Nodes: Survey and Implications. IEEE Commun. Surv. Tutor. 2011, 13, 443–461. [Google Scholar] [CrossRef]
- Zhang, S.; Gu, H.; Chi, K.; Huang, L.; Yu, K.; Mumtaz, S. DRL-Based Partial Offloading for Maximizing Sum Computation Rate of Wireless Powered Mobile Edge Computing Network. IEEE Trans. Wirel. Commun. 2022, 1–15. [Google Scholar] [CrossRef]
- Zheng, J.; Zhang, J.; Ai, B. UAV Communications with WPT-Aided Cell-Free Massive MIMO Systems. IEEE J. Sel. Areas Commun. 2021, 39, 3114–3128. [Google Scholar] [CrossRef]
- Xiao, H.; Jiang, H.; Deng, L.-P.; Luo, Y.; Zhang, Q.-Y. Outage Energy Efficiency Maximization for UAV-Assisted Energy Harvesting Cognitive Radio Networks. IEEE Sens. J. 2022, 22, 7094–7105. [Google Scholar] [CrossRef]
- Ni, L.; Da, X.; Hu, H.; Zhang, M.; Cumanan, K. Outage Constrained Robust Secrecy Energy Efficiency Maximization for EH Cognitive Radio Networks. IEEE Wirel. Commun. Lett. 2020, 9, 363–366. [Google Scholar] [CrossRef]
- Du, K.; Xie, X.; Shi, Z.; Li, M. Joint Time and Power Control of Energy Harvesting CRN Based on PPO. In Proceedings of the 2022 Wireless Telecommunications Symposium (WTS), Pomona, CA, USA, 6–8 April 2022; pp. 1–6. [Google Scholar]
- Zheng, K.; Liu, X.; Zhu, Y.; Chi, K.; Li, Y. Impact of Battery Charging on Spectrum Sensing of CRN with Energy Harvesting. IEEE Trans. Veh. Technol. 2020, 69, 7545–7557. [Google Scholar] [CrossRef]
- Talukdar, B.; Kumar, D.; Arif, W. Analytical Modelling and Performance Evaluation of a Prediction Based EH-Cooperative CRN under Erlang Distribution. In Proceedings of the 2019 IEEE International Conference on Advanced Networks and Telecommunications Systems (ANTS), Goa, India, 16–19 December 2019; pp. 1–6. [Google Scholar]
- Liu, X.; Zheng, K.; Chi, K.; Zhu, Y.-H. Cooperative Spectrum Sensing Optimization in Energy-Harvesting Cognitive Radio Networks. IEEE Trans. Wirel. Commun. 2020, 19, 7663–7676. [Google Scholar] [CrossRef]
- Boddapati, H.K.; Prakriya, S.; Bhatnagar, M.R. Throughput Analysis of Cooperative Multi-Hop Underlay CRNs with Incremental Relaying. In Proceedings of the 2017 IEEE International Conference on Communications Workshops (ICC Workshops), Paris, France, 21–25 May 2017; pp. 379–385. [Google Scholar]
- Chen, X.; Chen, H.-H.; Meng, W. Cooperative Communications for Cognitive Radio Networks—From Theory to Applications. IEEE Commun. Surv. Tutor. 2014, 16, 1180–1192. [Google Scholar] [CrossRef]
- Chinh Chu, T.M.; Zepernick, H.-J. Outage Probability of a Hybrid AF-DF Protocol for Two-Way Underlay Cognitive Cooperative Radio Networks. In Proceedings of the 2017 11th International Conference on Signal Processing and Communication Systems (ICSPCS), Gold Coast, Australia, 13–15 December 2017; pp. 1–9. [Google Scholar]
- Ji, Y.; Zhang, X.; Zhang, G.; Zhu, X.; Sun, Q.; Duan, W. Use of NOMA for Maritime Communication Networks with P-DF Relaying Channel. China Commun. 2020, 17, 236–246. [Google Scholar] [CrossRef]
- Sun, H.; Naraghi-Pour, M.; Sheng, W.; Zhang, R. A Hop-by-Hop Relay Selection Strategy in Multi-Hop Cognitive Relay Networks. IEEE Access 2020, 8, 21117–21126. [Google Scholar] [CrossRef]
- Senthilkumar, L.; Meenakshi, M. Asymmetric Resource Allocation in Relay-Aided Cognitive Radio Networks. In Proceedings of the 2017 International Conference on Communication and Signal Processing (ICCSP), Chennai, India, 6–8 April 2017; pp. 1043–1047. [Google Scholar]
- Varshney, L.R. Transporting Information and Energy Simultaneously. In Proceedings of the 2008 IEEE International Symposium on Information Theory, Toronto, ON, Canada, 6–11 July 2008; pp. 1612–1616. [Google Scholar]
- Ding, Z.; Schober, R.; Poor, H.V. No-Pain No-Gain: DRL Assisted Optimization in Energy-Constrained CR-NOMA Networks. IEEE Trans. Commun. 2021, 69, 5917–5932. [Google Scholar] [CrossRef]
- Zhang, Z.; Lu, Y.; Huang, Y.; Zhang, P. Neural Network-Based Relay Selection in Two-Way SWIPT-Enabled Cognitive Radio Networks. IEEE Trans. Veh. Technol. 2020, 69, 6264–6274. [Google Scholar] [CrossRef]
- Zheng, K.; Liu, X.; Zhu, Y.; Chi, K.; Liu, K. Total Throughput Maximization of Cooperative Cognitive Radio Networks with Energy Harvesting. IEEE Trans. Wirel. Commun. 2020, 19, 533–546. [Google Scholar] [CrossRef]
- Zhang, Z.; Lu, Y.; Huang, Y. Simultaneous Wireless Information and Power Transfer for Dynamic Cooperative Spectrum Sharing Networks. IEEE Access 2019, 7, 823–834. [Google Scholar] [CrossRef]
- Ali, Z.; Sidhu, G.A.S.; Waqas, M.; Xing, L.; Gao, F. A Joint Optimization Framework for Energy Harvesting Based Cooperative CR Networks. IEEE Trans. Cogn. Commun. Netw. 2019, 5, 452–462. [Google Scholar] [CrossRef]










| Parameters | Value |
|---|---|
| energy conversion efficiency | 1 |
| path loss index | 2.7 |
| target rate | 1 |
| maximum transmission power | 50 |
| power split factor | 0.5 |
| interference threshold | 5 |
| distance between users | 1.5 |
| AWGN variance | 10−3 |
Publisher’s Note: MDPI stays neutral with regard to jurisdictional claims in published maps and institutional affiliations. |
© 2022 by the authors. Licensee MDPI, Basel, Switzerland. This article is an open access article distributed under the terms and conditions of the Creative Commons Attribution (CC BY) license (https://creativecommons.org/licenses/by/4.0/).
Share and Cite
Wang, Y.; Chen, S.; Wu, Y.; Zhao, C. Maximizing Average Throughput of Cooperative Cognitive Radio Networks Based on Energy Harvesting. Sensors 2022, 22, 8921. https://doi.org/10.3390/s22228921
Wang Y, Chen S, Wu Y, Zhao C. Maximizing Average Throughput of Cooperative Cognitive Radio Networks Based on Energy Harvesting. Sensors. 2022; 22(22):8921. https://doi.org/10.3390/s22228921
Chicago/Turabian StyleWang, Yaqing, Shiyong Chen, Yucheng Wu, and Chengxin Zhao. 2022. "Maximizing Average Throughput of Cooperative Cognitive Radio Networks Based on Energy Harvesting" Sensors 22, no. 22: 8921. https://doi.org/10.3390/s22228921
APA StyleWang, Y., Chen, S., Wu, Y., & Zhao, C. (2022). Maximizing Average Throughput of Cooperative Cognitive Radio Networks Based on Energy Harvesting. Sensors, 22(22), 8921. https://doi.org/10.3390/s22228921

