An Effective Design Formula for Single-Layer Printed Spiral Coils with the Maximum Quality Factor (Q-Factor) in the Megahertz Frequency Range
Abstract
1. Introduction
2. Calculating the Resistance and Self-Inductance of a Printed Spiral Coil Using a VFM
2.1. Discretization of a Printed Spiral Coil for a VFM
2.2. The Equivalent Circuit and Formulation for Calculation
2.3. Calculation Results and Analysis
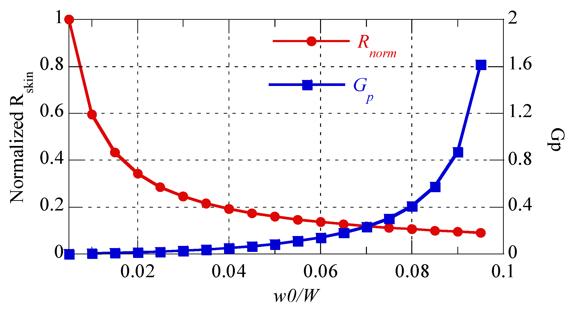
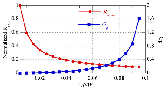
2.4. Deriving a Formula to Ensure the Maximum Q-Factor and Comparing Formulas and Calculations
3. Fabrication and Comparisons between Measurements and Calculations
4. Conclusions
Author Contributions
Funding
Institutional Review Board Statement
Informed Consent Statement
Data Availability Statement
Conflicts of Interest
References
- Lammeraner, J.; Stafl, M. Eddy Currents; Iliffe Books: London, UK, 1966. [Google Scholar]
 - Won, S.M.; Song, E.; Reeder, E.T.; Rogers, J.A. Emerging modalities and implantable technologies for neuromodulation. Cell 2020, 181, 115–135. [Google Scholar] [CrossRef] [PubMed]
 - Won, S.M.; Cai, L.; Gutruf, P.; Rogers, J.A. Wireless and battery-free technology for neuroengineering. Nat. Biomed. Eng. 2021, 1–19. [Google Scholar] [CrossRef] [PubMed]
 - Kim, C.Y.; Ku, M.J.; Qazi, R.; Nam, H.J.; Park, J.W.; Nam, K.S.; Oh, S.; Kang, I.; Jang, J.-H.; Kim, W.Y.; et al. Soft subdermal implant capable of wireless battery charging and programmable controls for applications in optogenetics. Nat. Commun. 2021, 12, 535. [Google Scholar] [CrossRef] [PubMed]
 - Zhu, J.Q.; Ban, Y.L.; Zhang, Y.; Yan, Z.; Xu, R.M.; Mi, C.C. Metal-rim-connected inductive coupler for smartwatch applications. IET Power Electron. 2020, 13, 3428–3434. [Google Scholar] [CrossRef]
 - Park, Y.J.; Kim, J.E.; Na, K.M.; Yang, K.D.; Cho, K.H. Optimization and analysis of multilayer planar spiral coils for the application of magnetic resonance wireless power transfer to wearable devices. Energies 2021, 14, 5113. [Google Scholar] [CrossRef]
 - Houran, M.A.; Yang, X.; Chen, W. Magnetically coupled resonance WPT: Review of compensation topologies, resonator structures with misalignment, and EMI diagnostics. Electronics 2018, 7, 296. [Google Scholar] [CrossRef]
 - Bao, K.; Zekios, C.L.; Georgakopoulos, S.V. A wearable WPT system on flexible substrates. IEEE Antennas Wirel. Propag. Lett. 2019, 18, 931–935. [Google Scholar] [CrossRef]
 - Kim, J.; Banks, A.; Xie, Z.; Heo, S.Y.; Gutruf, P.; Lee, J.W.; Xu, S.; Jang, K.I.; Liu, F.; Brown, G.; et al. Miniaturized flexible electronic systems with wireless power and near-field communication capabilities. Adv. Funct. Mater. 2015, 25, 4761–4767. [Google Scholar] [CrossRef]
 - Zhou, W.; Wu, P.; Mu, W.C.; Yu, W.; Huang, S.Y. Compact broadband planar resonator with a viaed double spiral for robust wireless power transfer. IEEE J. Electromagn. RF Microw. Med. Biol. 2021, 5, 329–339. [Google Scholar] [CrossRef]
 - Kim, J.; Cha, C.; Oh, J.; Hong, Y. New design topology of high-Q factor printed base antenna having unequal width and pitch used for near-field wireless power transmission. IEEE J. Emerg. Sel. Top. Power Electron. 2022, 10, 984–996. [Google Scholar] [CrossRef]
 - Jolani, F.; Yu, Y.; Chen, Z. A planar magnetically coupled resonant wireless power transfer system using printed spiral coils. IEEE Antennas Wirel. Propag. Lett. 2014, 13, 1648–1651. [Google Scholar] [CrossRef]
 - Li, J.; Lin, J.-K.; Song, X.; Yan, S.; Xu, K.-D.; Zhang, X.Y. Efficiency-enhanced wireless power transfer based on multiple coupling paths. IEEE Microw. Wirel. Compon. Lett. 2022, 32, 444–447. [Google Scholar] [CrossRef]
 - Kim, D.-H.; Park, Y.-J. Calculation of the inductance and AC resistance of planar rectangular coils. Electron. Lett. 2016, 52, 1321–1323. [Google Scholar] [CrossRef]
 - Lope, I.; Carretero, C.; Acero, J.; Alonso, R.; Burdio, J.M. AC power losses model for planar windings with rectangular cross-sectional conductors. IEEE Trans. Pow. Electron. 2014, 29, 23–28. [Google Scholar] [CrossRef]
 - Nguyen, M.H.; Blanchette, H.F. Optimizing AC resistance of solid PCB winding. Electronics 2020, 9, 875. [Google Scholar] [CrossRef]
 - Jow, U.-M.; Ghovanloo, M. Design and optimization of printed spiral coils for efficient transcutaneous inductive power transmission. IEEE Trans. Biomed. Circuits Syst. 2007, 1, 193–202. [Google Scholar] [CrossRef]
 - Kurs, A.; Karalis, A.; Moffatt, R.; Joannopoulos, J.D.; Fisher, P.; Soljacic, M. Wireless power transfer via strongly coupled magnetic resonances. Science 2007, 317, 83–86. [Google Scholar] [CrossRef]
 - Kim, D.-H.; Kim, J.; Park, Y.-J. Optimization and design of small circular coils in a magnetically coupled wireless power transfer system in the megahertz frequency. IEEE Trans. Microw. Theory Tech. 2016, 64, 1–12. [Google Scholar] [CrossRef]
 - Zierhofer, C.M.; Hochmeair, E.S. Geometric approach for coupling enhancement of magnetically coupled coils. IEEE Trans. Biomed. Eng. 1996, 43, 708–714. [Google Scholar] [CrossRef]
 - Good, R.H. Elliptic integrals, the forgotten functions. Eur. J. Phys. 2001, 22, 119–126. [Google Scholar] [CrossRef]
 - Kim, J.; Park, Y.-J. Approximate closed-form formula for calculating ohmic resistance in coils of parallel round wires with unequal pitches. IEEE Trans. Ind. Electron. 2015, 62, 3482–3489. [Google Scholar]
 








| t(oz) | N | w0/W | Calculation | Measurement | |||||
|---|---|---|---|---|---|---|---|---|---|
| R (Ω) | L (μH) | Q-Factor | R (Ω) | L (μH) | Q-Factor | ||||
| Coil 1 | 2 | 5 | 0.16 (W = 30) | 0.3058 | 6.8153 | 280.0 | 0.344 | 6.92 | 252.77 | 
| Coil 2 | 2 | 10 | 0.08 (W = 30) | 1.249 | 27.58 | 277.46 | 1.591 | 27.761 | 219.27 | 
| Coil 3 | 2 | 5 | 0.09 (W = 30) | 0.426 | 6.98 | 205.69 | 0.584 | 7.354 | 158.24 | 
| Coil 4 | 2 | 10 | 0.04 (W = 30) | 1.718 | 27.99 | 204.75 | 2.286 | 28.348 | 155.77 | 
| Coil 5 | 4 | 5 | 0.16 (W = 10) | 0.595 | 11.17 | 236.15 | 0.751 | 11.275 | 188.6 | 
| Coil 6 | 4 | 10 | 0.07 (W = 10) | 2.4247 | 45.07 | 233.6 | 3.067 | 45.34 | 185.73 | 
| Coil 7 | 4 | 10 | 0.07 (W = 30) | 0.893 | 27.59 | 388.19 | 1.096 | 27.7 | 317.61 | 
| Distance between Tx and Rx | Case 1 (Coil 5 (Tx) and Coil 6 (Rx)) | Case 2 (Coil 2 (Tx) and Coil 2 (Rx)) | ||||
|---|---|---|---|---|---|---|
| M (μH) | FoM | Efficiency (%) | M (μH) | FoM | Efficiency (%) | |
| 15 cm | 1.089 | 9.017 | 80.1 | 2.124 | 8.702 | 79.5 | 
| 30 cm | 0.217 | 1.797 | 34.5 | 0.475 | 1.946 | 37.2 | 
| 45 cm | 0.100 | 0.828 | 13.0 | 0.231 | 0.946 | 18.8 | 
| [14] | [15] | [16] | [17] | This Work | |
|---|---|---|---|---|---|
| Verified frequency | Up to 1 MHz | Up to 1 Mhz | Up to 6.78 MHz | Up to 10 MHz | Up to 6.78 MHz | 
| Calculated metal thickness | 1 oz, 2 oz | 1 oz, 2 oz | ~4 oz | 1 oz | 2 oz, 4 oz, 6 oz | 
| Coil shape | Circular | Circular | Rectangular | Rectangular | Circular | 
| Optimal design formula | No | No | No | No | Yes | 
Publisher’s Note: MDPI stays neutral with regard to jurisdictional claims in published maps and institutional affiliations.  | 
© 2022 by the authors. Licensee MDPI, Basel, Switzerland. This article is an open access article distributed under the terms and conditions of the Creative Commons Attribution (CC BY) license (https://creativecommons.org/licenses/by/4.0/).
Share and Cite
Park, Y.-J.; Kim, J.-E.; Lee, S.-H.; Cho, K.-H. An Effective Design Formula for Single-Layer Printed Spiral Coils with the Maximum Quality Factor (Q-Factor) in the Megahertz Frequency Range. Sensors 2022, 22, 7761. https://doi.org/10.3390/s22207761
Park Y-J, Kim J-E, Lee S-H, Cho K-H. An Effective Design Formula for Single-Layer Printed Spiral Coils with the Maximum Quality Factor (Q-Factor) in the Megahertz Frequency Range. Sensors. 2022; 22(20):7761. https://doi.org/10.3390/s22207761
Chicago/Turabian StylePark, Young-Jin, Ji-Eun Kim, Su-Hyeong Lee, and Kyung-Hwan Cho. 2022. "An Effective Design Formula for Single-Layer Printed Spiral Coils with the Maximum Quality Factor (Q-Factor) in the Megahertz Frequency Range" Sensors 22, no. 20: 7761. https://doi.org/10.3390/s22207761
APA StylePark, Y.-J., Kim, J.-E., Lee, S.-H., & Cho, K.-H. (2022). An Effective Design Formula for Single-Layer Printed Spiral Coils with the Maximum Quality Factor (Q-Factor) in the Megahertz Frequency Range. Sensors, 22(20), 7761. https://doi.org/10.3390/s22207761
        
