A Domestic Trash Detection Model Based on Improved YOLOX
Abstract
:1. Introduction
- (1)
- We proposed an improved YOLOX-based trash detection model: i-YOLOX. Firstly, we incorporated a new generation of neural network operator involution in the network, which significantly reduced the parameters of the network and improved the accuracy of the model.
- (2)
- The aggregation capability of the deep semantic information of the network was improved by adding the involution CBAM module to feature pyramid networks (FPN) structure. In addition, the capability of classification and regression in decoupled head was improved by adding residual connectivity and involution block.
- (3)
- We also proposed a self-made dataset (CDTD) containing 10,000 samples. We collected a total of 17 common trash images datasets in life scenarios and paid more attention to the collection and labeling of multi-object trash images. In addition, we applied various data enhancement techniques such as Mosaic data enhancement technique to further improve the richness of the dataset.
2. Related Methods
2.1. YOLOX Network
2.2. Involution
2.3. CBAM Attention Mechanism
3. i-YOLOX
3.1. Overview of i-YOLOX
3.2. Improved CSPLayer
3.3. Improved Feature Pyramid Network
3.4. Involution Residual Decoupled Head
4. Experimental Procedure and Results
4.1. Datasets and Evaluation Criteria
4.1.1. Dataset
- (1)
- Convert the input RGB image to a single channel grayscale image and filter the grayscale image using Gaussian blur.
- (2)
- Randomly change the height and width of the input image so that the side length of a single image can be changed to multiple proportions.
- (3)
- Rotate the input image to several different angles.
- (4)
- Use the mosaic stitching technique to randomly stitch four images into a new image.
- (5)
- Trim the processed image to a 640 × 640 RGB image. If the length or width of the processed image is less than 640, change the image size to 640 × 640 by filling with gray bars.
4.1.2. Evaluation Criteria
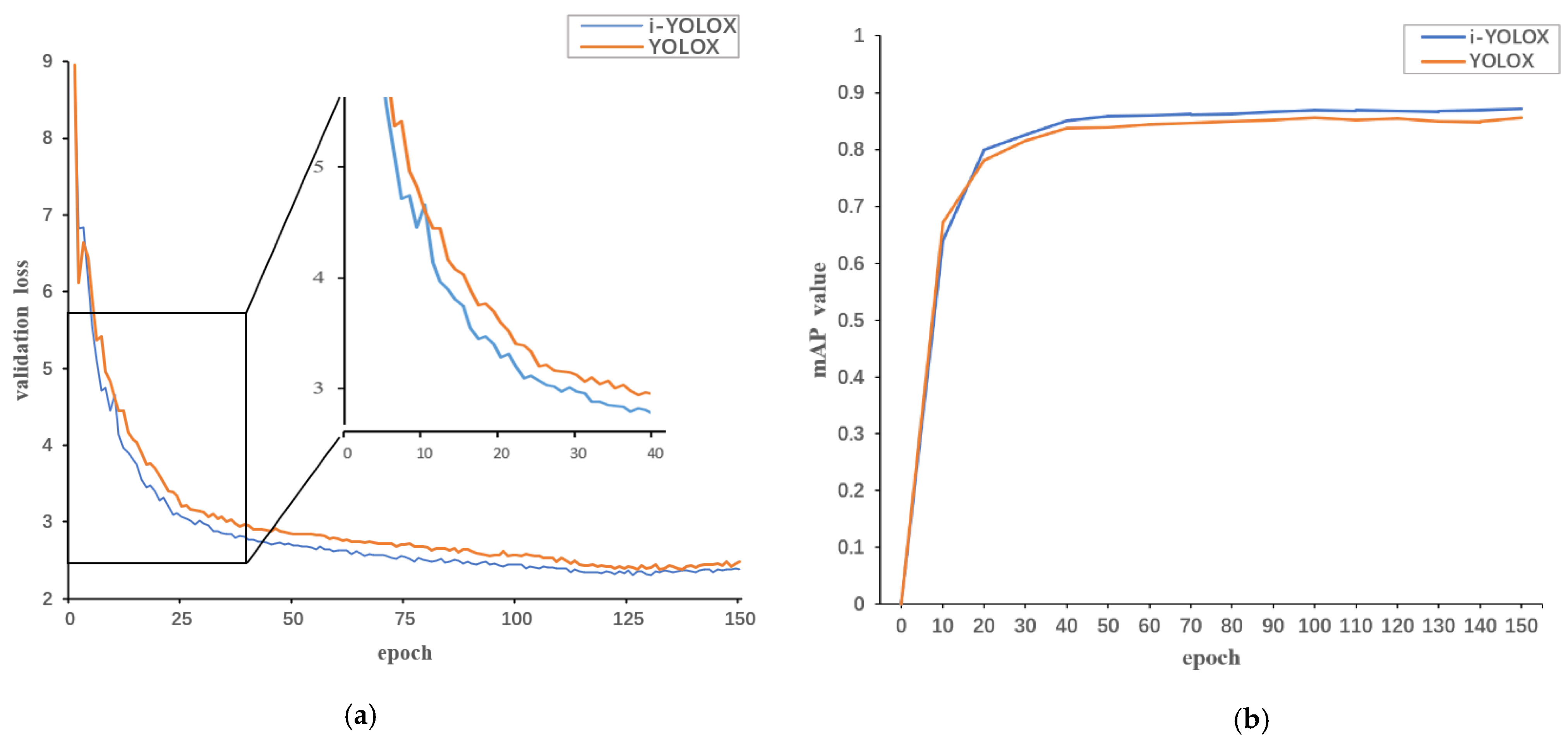
4.2. Experimental Analysis
4.2.1. Training Parameters
4.2.2. Ablation Experiments
4.2.3. Result Comparison with Other Detection Algorithms
4.2.4. Detection Results under Application Scenarios
5. Discussion
6. Conclusions
Author Contributions
Funding
Data Availability Statement
Conflicts of Interest
References
- Kaza, S.; Yao, L.C.; Bhada-Tata, P.; Van Woerden, F. What a Waste 2.0: A Global Snapshot of Solid Waste Management to 2050; The World Bank Group: Washington, DC, USA, 2018. [Google Scholar]
- Kuang, Y.; Lin, B. Public participation and city sustainability: Evidence from Urban Garbage Classification in China. Sustain. Cities Soc. 2021, 67, 102741. [Google Scholar] [CrossRef]
- Yue, S.; Shi, X. Analysis of government roles in garbage classification. IOP Conf. Ser. Earth Environ. Sci. 2020, 440, 042084. [Google Scholar] [CrossRef]
- Lukka, T.J.; Tossavainen, T.; Kujala, J.V.; Raiko, T. Zenrobotics recycler–robotic sorting using machine learning. In Proceedings of the International Conference on Sensor-Based Sorting (SBS), Aachen, Germeny, 11–13 March 2014; pp. 1–8. [Google Scholar]
- Verma, V.; Gupta, D.; Gupta, S.; Uppal, M.; Anand, D.; Ortega-Mansilla, A.; Alharithi, F.S.; Almotiri, J.; Goyal, N. A Deep Learning-Based Intelligent Garbage Detection System Using an Unmanned Aerial Vehicle. Symmetry 2022, 14, 960. [Google Scholar] [CrossRef]
- Chen, L.; Lu, W.; Ni, J.; Sun, W.; Huang, J. Region duplication detection based on Harris corner points and step sector statistics. J. Vis. Commun. Image Represent. 2013, 24, 244–254. [Google Scholar] [CrossRef]
- Pei, W.-J.; Zhang, Y.-L.; Zhang, Y.; Zheng, C.-H. Pedestrian Detection Based on HOG and LBP. In Intelligent Computing Theory; Springer: Cham, Switerland, 2014; pp. 715–720. [Google Scholar]
- Dalal, N.; Triggs, B. Histograms of oriented gradients for human detection. In Proceedings of the 2005 IEEE Computer Society Conference on Computer Vision and Pattern Recognition (CVPR’05), San Diego, CA, USA, 20–25 June 2005; pp. 886–893. [Google Scholar]
- Zhou, H.; Yu, G. Research on pedestrian detection technology based on the SVM classifier trained by HOG and LTP features. Future Gener. Comput. Syst. 2021, 125, 604–615. [Google Scholar] [CrossRef]
- Nam, W.; Dollár, P.; Han, J.H. Local decorrelation for improved pedestrian detection. In Proceedings of the 27th International Conference on Neural Information Processing Systems, Montreal, QC, Canada, 8–13 December 2014; Volume 1, pp. 424–432. [Google Scholar]
- Hearst, M.A.; Dumais, S.T.; Osuna, E.; Platt, J.; Scholkopf, B. Support vector machines. IEEE Intell. Syst. Appl. 1998, 13, 18–28. [Google Scholar] [CrossRef]
- Krizhevsky, A.; Sutskever, I.; Hinton, G.E. Imagenet classification with deep convolutional neural networks. Commun. ACM 2017, 60, 84–90. [Google Scholar] [CrossRef]
- Girshick, R.; Donahue, J.; Darrell, T.; Malik, J. Rich feature hierarchies for accurate object detection and semantic segmentation. In Proceedings of the IEEE Conference on Computer Vision and Pattern Recognition, Columbus, OH, USA, 23–28 June 2014; pp. 580–587. [Google Scholar]
- Girshick, R. Fast r-cnn. In Proceedings of the IEEE International Conference on Computer Vision, Santiago, Chile, 7–13 December 2015; pp. 1440–1448. [Google Scholar]
- Ren, S.; He, K.; Girshick, R.; Sun, J. Faster r-cnn: Towards real-time object detection with region proposal networks. IEEE Trans. Pattern Anal. Mach. Intell. 2017, 39, 1137–1149. [Google Scholar] [CrossRef]
- Redmon, J.; Divvala, S.; Girshick, R.; Farhadi, A. You only look once: Unified, real-time object detection. In Proceedings of the IEEE Conference on Computer Vision and Pattern Recognition, Las Vegas, NV, USA, 27–30 June 2016; pp. 779–788. [Google Scholar]
- Liu, W.; Anguelov, D.; Erhan, D.; Szegedy, C.; Reed, S.; Fu, C.-Y.; Berg, A.C. Ssd: Single shot multibox detector. In Proceedings of the European Conference on Computer Vision, Amsterdam, The Netherlands, 11–14 October 2016; pp. 21–37. [Google Scholar]
- Redmon, J.; Farhadi, A. YOLO9000: Better, faster, stronger. In Proceedings of the IEEE Conference on Computer Vision and Pattern Recognition, Honolulu, HI, USA, 21–26 July 2017; pp. 7263–7271. [Google Scholar]
- Redmon, J.; Farhadi, A. Yolov3: An incremental improvement. arXiv 2018, arXiv:1804.02767. [Google Scholar]
- Fu, C.-Y.; Liu, W.; Ranga, A.; Tyagi, A.; Berg, A.C. Dssd: Deconvolutional single shot detector. arXiv 2017, arXiv:1701.06659. [Google Scholar]
- Howard, A.G.; Zhu, M.; Chen, B.; Kalenichenko, D.; Wang, W.; Weyand, T.; Andreetto, M.; Adam, H. Mobilenets: Efficient convolutional neural networks for mobile vision applications. arXiv 2017, arXiv:1704.04861. [Google Scholar]
- Hu, J.; Shen, L.; Sun, G. Squeeze-and-excitation networks. In Proceedings of the IEEE Conference on Computer Vision and Pattern Recognition, Salt Lake City, UT, USA, 18–22 June 2018; pp. 7132–7141. [Google Scholar]
- Guo, Z.; Wang, C.; Yang, G.; Huang, Z.; Li, G. MSFT-YOLO: Improved YOLOv5 Based on Transformer for Detecting Defects of Steel Surface. Sensors 2022, 22, 3467. [Google Scholar] [CrossRef] [PubMed]
- Ye, J.; Yuan, Z.; Qian, C.; Li, X. CAA-YOLO: Combined-Attention-Augmented YOLO for Infrared Ocean Ships Detection. Sensors 2022, 22, 3782. [Google Scholar] [CrossRef]
- Zhao, J.; Zhang, X.; Yan, J.; Qiu, X.; Yao, X.; Tian, Y.; Zhu, Y.; Cao, W. A Wheat Spike Detection Method in UAV Images Based on Improved YOLOv5. Remote Sens. 2021, 13, 3095. [Google Scholar] [CrossRef]
- Chen, Y.; Wang, G.; Fu, Q. Surface Defect Detection Method Based on Improved Attention Mechanism and Feature Fusion Model. Comput. Intell. Neurosci. 2022, 2022, 3188645. [Google Scholar] [CrossRef] [PubMed]
- Yang, M.; Thung, G. Classification of trash for recyclability status. CS229 Proj. Rep. 2016, 2016, 3. [Google Scholar]
- Zhang, Q.; Yang, Q.; Zhang, X.; Wei, W.; Bao, Q.; Su, J.; Liu, X. A multi-label waste detection model based on transfer learning. Resour. Conserv. Recycl. 2022, 181, 106235. [Google Scholar] [CrossRef]
- Ye, A.; Pang, B.; Jin, Y.; Cui, J. A YOLO-based Neural Network with VAE for Intelligent Garbage Detection and Classification. In Proceedings of the 2020 3rd International Conference on Algorithms, Computing and Artificial Intelligence, Sanya China, 24–26 December 2020; pp. 1–7. [Google Scholar]
- Karthikeyan, M.; Subashini, T.S.; Jebakumar, R. SSD based waste separation in smart garbage using augmented clustering NMS. Autom. Softw. Eng. 2021, 28, 17. [Google Scholar] [CrossRef]
- Ge, Z.; Liu, S.; Wang, F.; Li, Z.; Sun, J. YOLOX: Exceeding YOLO Series in 2021. arXiv 2021, arXiv:2107.08430. [Google Scholar]
- Jocher, G.; BorovecJirka. ultralytics/yolov5. Available online: https://github.com/ultralytics/yolov5 (accessed on 1 August 2022).
- Li, D.; Hu, J.; Wang, C.; Li, X.; She, Q.; Zhu, L.; Zhang, T.; Chen, Q. Involution: Inverting the inherence of convolution for visual recognition. In Proceedings of the IEEE/CVF Conference on Computer Vision and Pattern Recognition, Virtual, 19–25 June 2021; pp. 12321–12330. [Google Scholar]
- Tolstikhin, I.; Houlsby, N.; Kolesnikov, A.; Beyer, L.; Zhai, X.; Unterthiner, T.; Yung, J.; Steiner, A.; Keysers, D.; Uszkoreit, J.; et al. MLP-Mixer: An all-MLP Architecture for Vision. arXiv 2021, arXiv:2105.01601. [Google Scholar]
- Woo, S.; Park, J.; Lee, J.-Y.; Kweon, I.S. CBAM: Convolutional Block Attention Module. arXiv 2018, arXiv:1807.06521. [Google Scholar]
- Wang, Q.; Wu, B.; Zhu, P.; Li, P. ECA-Net: Efficient Channel Attention for Deep Convolutional Neural Networks. arXiv 2020, arXiv:1910.03151. [Google Scholar]
- Lin, T.Y.; Dollár, P.; Girshick, R.; He, K.; Hariharan, B.; Belongie, S. Feature Pyramid Networks for Object Detection. In Proceedings of the 2017 IEEE Conference on Computer Vision and Pattern Recognition (CVPR), Honolulu, HI, USA, 21–26 July 2017; pp. 936–944. [Google Scholar]
- Liu, S.; Qi, L.; Qin, H.; Shi, J.; Jia, J. Path Aggregation Network for Instance Segmentation. In Proceedings of the 2018 IEEE/CVF Conference on Computer Vision and Pattern Recognition, Salt Lake City, UT, USA, 18–23 June 2018; pp. 8759–8768. [Google Scholar]
- Song, G.; Liu, Y.; Wang, X. Revisiting the Sibling Head in Object Detector. In Proceedings of the 2020 IEEE/CVF Conference on Computer Vision and Pattern Recognition (CVPR), Seattle, WA, USA, 13–19 June 2020; pp. 11560–11569. [Google Scholar]
- Bochkovskiy, A.; Wang, C.-Y.; Liao, H.-Y.M. YOLOv4: Optimal Speed and Accuracy of Object Detection. arXiv 2020, arXiv:2004.10934. [Google Scholar]
- Mamalis, T.; Stipanovic, D.; Voulgaris, P. Stochastic Learning Rate Optimization in the Stochastic Approximation and Online Learning Settings. arXiv 2021, arXiv:2110.10710. [Google Scholar]
- Loshchilov, I.; Hutter, F. SGDR: Stochastic Gradient Descent with Warm Restarts. arXiv 2016, arXiv:1608.03983. [Google Scholar]
- Mao, W.-L.; Chen, W.-C.; Fathurrahman, H.I.K.; Lin, Y.-H. Deep learning networks for real-time regional domestic waste detection. J. Clean. Prod. 2022, 344, 131096. [Google Scholar] [CrossRef]
- Meng, S.; Chu, W.-T. A study of garbage classification with convolutional neural networks. In Proceedings of the 2020 Indo–Taiwan 2nd International Conference on Computing, Analytics and Networks (Indo-Taiwan ICAN), Chiayi County, Taiwan, 7–8 February 2020; pp. 152–157. [Google Scholar]
- Bircanoğlu, C.; Atay, M.; Beşer, F.; Genç, Ö.; Kızrak, M.A. RecycleNet: Intelligent waste sorting using deep neural networks. In Proceedings of the 2018 Innovations in Intelligent Systems and Applications (INISTA), Thessaloniki, Greece, 3–5 July 2018; pp. 1–7. [Google Scholar]
- Aral, R.A.; Keskin, Ş.R.; Kaya, M.; Hacıömeroğlu, M. Classification of trashnet dataset based on deep learning models. In Proceedings of the 2018 IEEE International Conference on Big Data (Big Data), Seattle, WA, USA, 10–13 December 2018; pp. 2058–2062. [Google Scholar]
- Ramsurrun, N.; Suddul, G.; Armoogum, S.; Foogooa, R. Recyclable Waste Classification Using Computer Vision and Deep Learning. In Proceedings of the 2021 Zooming Innovation in Consumer Technologies Conference (ZINC), Novi Sad, Serbia, 26–27 May 2021; pp. 11–15. [Google Scholar]













| Parameter | Configuration |
|---|---|
| CPU | Intel Xeon Gold 6248R |
| GPU | NVIDIA RTX A6000 (48 GB) |
| CUDA version | CUDA 11.1 |
| Python version | Python 3.8 |
| Deep learning framework | Pytorch 1.8.1 |
| Operating system | Ubuntu 20.04.3 LTS |
| Scheme | iCSPLayer | iPANet | Residual Head | Involution Head |
|---|---|---|---|---|
| iCSPLayer | ||||
| iCSPLayer-iPANet | ||||
| iCSPLayer-iPANet-ResHead | ||||
| iCSPLayer-iPANet-iResHead |
| Method | P/% | R/% | F1/% | mAP/% | Parameters/M | GFLOPs | FPS |
|---|---|---|---|---|---|---|---|
| YOLOX(baseline) | 85.78 | 80.06 | 82.58 | 85.68 | 8.94 | 26.79 | 26.37 |
| iCSPLayer | 86.43 | 81.92 | 83.94 | 86.15 | 7.12 | 21.86 | 43.50 |
| iCSPLayer-iPANet | 87.47 | 79.34 | 83.09 | 86.29 | 8.42 | 25.97 | 35.46 |
| iCSPLayer-iPANet-ResHead | 86.43 | 81.92 | 83.94 | 86.99 | 8.42 | 25.97 | 42.33 |
| iCSPLayer-iPANet-iResHead | 87.72 | 81.96 | 84.67 | 87.15 | 6.86 | 17.28 | 37.01 |
| Methods | Training Time | Testing Time |
|---|---|---|
| YOLOX | 26.00 h | 0.0379 s |
| i-YOLOX | 13.25 h | 0.0270 s |
| Algorithm | P/% | R/% | F1/% | mAP/% | Parameters/M | GFLOPs | FPS |
|---|---|---|---|---|---|---|---|
| Faster-RCNN [14] | 54.67 | 86.14 | 66.67 | 81.70 | 137.04 | 370.14 | 11.79 |
| YOLOv4 [40] | 84.34 | 58.68 | 67.74 | 75.13 | 64.02 | 60.07 | 16.98 |
| SSD [17] | 84.15 | 77.15 | 80.25 | 82.08 | 25.88 | 62.45 | 40.13 |
| YOLOv5 [32] | 83.30 | 54.49 | 64.47 | 75.63 | 47.06 | 115.91 | 24.55 |
| YOLOX [31] | 85.78 | 80.06 | 82.58 | 85.68 | 8.94 | 26.79 | 26.37 |
| i-YOLOX (ours) | 87.72 | 81.96 | 84.67 | 87.15 | 6.86 | 17.28 | 37.01 |
| Algorithm | Accuracy/mAP | Training Times | Optimizer | Type | Model Size |
|---|---|---|---|---|---|
| i-YOLOX (ours) | 97.57 | 100 epochs | Adam | detector | 26.5 MB |
| YOLOX [31] | 97.36 | 100 epochs | Adam | detector | 34.3 MB |
| Faster R-CNN [14] | 95.83 | 100 epochs | Adam | detector | 108 MB |
| SSD [17] | 93.34 | 100 epochs | SGD | detector | 98.7 MB |
| YOLOv5 [32] | 88.52 | 100 epochs | SGD | detector | 27.3 MB |
| YOLOv3 [43] | 81.36 | 12,000 iterations | SGD | detector | 235 MB |
| ResNet50 [44] | 91.40 | 40 epochs | Adadelta | classifier | 97.2 MB |
| RecycleNet [45] | 81.00 | 200 epochs | Adam | classifier | - |
| DenseNet121 [45] | 95.00 | 200 epochs | Adam | classifier | 30.8 MB |
| Inception V4 [46] | 94.00 | 120 epochs | Adam | classifier | 174 MB |
| VGG19 + SoftMax [47] | 87.90 | 100 epochs | Adam | classifier | - |
Publisher’s Note: MDPI stays neutral with regard to jurisdictional claims in published maps and institutional affiliations. |
© 2022 by the authors. Licensee MDPI, Basel, Switzerland. This article is an open access article distributed under the terms and conditions of the Creative Commons Attribution (CC BY) license (https://creativecommons.org/licenses/by/4.0/).
Share and Cite
Liu, C.; Xie, N.; Yang, X.; Chen, R.; Chang, X.; Zhong, R.Y.; Peng, S.; Liu, X. A Domestic Trash Detection Model Based on Improved YOLOX. Sensors 2022, 22, 6974. https://doi.org/10.3390/s22186974
Liu C, Xie N, Yang X, Chen R, Chang X, Zhong RY, Peng S, Liu X. A Domestic Trash Detection Model Based on Improved YOLOX. Sensors. 2022; 22(18):6974. https://doi.org/10.3390/s22186974
Chicago/Turabian StyleLiu, Changhong, Ning Xie, Xingxin Yang, Rongdong Chen, Xiangyang Chang, Ray Y. Zhong, Shaohu Peng, and Xiaochu Liu. 2022. "A Domestic Trash Detection Model Based on Improved YOLOX" Sensors 22, no. 18: 6974. https://doi.org/10.3390/s22186974
APA StyleLiu, C., Xie, N., Yang, X., Chen, R., Chang, X., Zhong, R. Y., Peng, S., & Liu, X. (2022). A Domestic Trash Detection Model Based on Improved YOLOX. Sensors, 22(18), 6974. https://doi.org/10.3390/s22186974

