Multiclass Classification of Metrologically Resourceful Tripartite Quantum States with Deep Neural Networks
Abstract
:1. Introduction
2. Preliminary
2.1. Quantum Entanglement
2.1.1. Bipartite Entanglement
- (a)
- Separable: A bipartite pure state is called separable if it can be written as a single product of vectors that describe the subsystem states as:
- (b)
- Entangled: A state that is not separable or that cannot be written as a product state is called entangled. For entangled states, we have complete knowledge about the whole system but our information about individual systems is incomplete. This information lies in the quantum correlations that were established due to the entanglement. One of the most fundamental and well-known types of bipartite entangled states are the Bell states, given as:The Bell states can be transformed into one another simply by employing a unitary transformation. Furthermore, these states are extensively used in QIS tasks, such as quantum teleportation, superdense coding, and secure quantum communication protocols.
2.1.2. Tripartite Entanglement
- (a)
- Fully Separable: In a fully separable case, there exists no entanglement between any of the parties involved in the composite systems. The tripartite pure state is fully separable if it can be written as a tensor product of each party’s state as:
- (b)
- Biseparable: In this case, only two parties are entangled with each other in a bipartite fashion, as discussed in the previous subsection, while the remaining party is non-entangled. There are three possible cases for tripartite pure biseparable states, which can be written as:where Bob and Charlie in are entangled. Similarly, the other cases are:
- (c)
- Fully Entangled: A tripartite state is called fully entangled if all three parties are entangled. In other words, the state is neither fully separable nor biseparable. The two states that represent the fundamental classes of maximally entangled tripartite states are the Greenberger–Horne–Zeilinger (GHZ) state and the W state, defined as:These two types of states are totally inequivalent under stochastic local operations and classical communication. It means that it is impossible to transform any state of one class into any state of the other class. The entanglement of the GHZ state is very sensitive to noise errors. If any subsystem is traced out, the state will become a fully separable state. In contrast, the entanglement of the W state is more resilient, such that if any of the subsystems is traced out, the state will become a biseparable state.
2.2. Quantum Entanglement for Quantum Sensing and Metrology
2.2.1. Tripartite Quantum Probe States
2.2.2. Quantum Fisher Information
2.3. ANNs and Supervised Learning
2.4. Bell’s Inequality
2.4.1. Bell’s Inequality for Bipartite Quantum Systems
2.4.2. Mermin Inequality
2.4.3. Svetlichny Inequality
3. Methods
3.1. Optimizing Mermin and Svetlichny Inequalities
3.2. Generating Quantum Datasets and Labels
3.3. Training the ANN
4. Results
4.1. Linear Optimization
4.2. Nonlinear Optimization
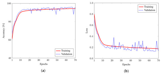
4.3. Deep Learning Classifiers
5. Discussion and Conclusions
Author Contributions
Funding
Institutional Review Board Statement
Informed Consent Statement
Data Availability Statement
Conflicts of Interest
Abbreviations
| QIS | quantum information science |
| ANN | artificial neural network |
| DNN | deep neural network |
| GHZ | Greenberger–Horne–Zeilinger |
| ReLu | rectified linear unit |
| RMSprop | root mean square propagation |
| PPT | positive partial transpose |
| CHSH | Clauser–Horne–Shimony–Holt |
References
- Wilde, M.M. Quantum Information Theory, 2nd ed.; Cambridge University Press: New York, NY, USA, 2017. [Google Scholar]
- Bennett, C.H.; DiVincenzo, D.P. Quantum information and computation. Nature 2000, 404, 247–255. [Google Scholar] [CrossRef]
- Monroe, C. Quantum information processing with atoms and photons. Nature 2002, 416, 238–246. [Google Scholar] [CrossRef] [PubMed]
- Degen, C.L.; Reinhard, F.; Cappellaro, P. Quantum sensing. Rev. Mod. Phys. 2017, 89, 035002. [Google Scholar] [CrossRef]
- Bell, J.S. On the Einstein Podolsky Rosen paradox. Phys. Phys. Fiz. 1964, 1, 195–200. [Google Scholar] [CrossRef]
- Vedral, V. Quantum entanglement. Nat. Phys. 2014, 10, 256–258. [Google Scholar] [CrossRef]
- Taylor, M.A.; Bowen, W.P. Quantum metrology and its application in biology. Phys. Rep. 2016, 615, 1–59. [Google Scholar] [CrossRef]
- Tóth, G. Multipartite entanglement and high-precision metrology. Phys. Rev. A 2012, 85, 022322. [Google Scholar] [CrossRef]
- Demkowicz-Dobrzański, R.; Maccone, L. Using Entanglement Against Noise in Quantum Metrology. Phys. Rev. Lett. 2014, 113, 250801. [Google Scholar] [CrossRef] [PubMed]
- Terhal, B.M. Detecting quantum entanglement. Theor. Comput. Sci. 2002, 287, 313–335. [Google Scholar] [CrossRef]
- Tóth, G.; Apellaniz, I. Quantum metrology from a quantum information science perspective. J. Phys. A-Math. Theor. 2014, 47, 424006. [Google Scholar] [CrossRef] [Green Version]
- Yu, T.; Eberly, J.H. Sudden death of entanglement: Classical noise effects. Opt. Commun. 2006, 264, 393–397. [Google Scholar] [CrossRef]
- Khalid, U.; Jeong, Y.; Shin, H. Measurement-based quantum correlation in mixed-state quantum metrology. Quantum Inf. Process. 2018, 17, 1–12. [Google Scholar] [CrossRef]
- Biamonte, J.; Wittek, P.; Pancotti, N.; Rebentrost, P.; Wiebe, N.; Lloyd, S. Quantum machine learning. Nature 2017, 549, 195–202. [Google Scholar] [CrossRef]
- Lee, Y.; Joo, J.; Lee, S. Hybrid quantum linear equation algorithm and its experimental test on IBM Quantum Experience. Sci. Rep. 2019, 9, 4778. [Google Scholar] [CrossRef] [PubMed]
- Schuld, M.; Sinayskiy, I.; Petruccione, F. An introduction to quantum machine learning. Contemp. Phys. 2014, 56, 172–185. [Google Scholar] [CrossRef]
- Gao, J.; Qiao, L.F.; Jiao, Z.Q.; Ma, Y.C.; Hu, C.Q.; Ren, R.J.; Yang, A.L.; Tang, H.; Yung, M.H.; Jin, X.M. Experimental Machine Learning of Quantum States. Phys. Rev. Lett. 2018, 120, 240501. [Google Scholar] [CrossRef] [PubMed]
- Rupp, M. Machine learning for quantum mechanics in a nutshell. Int. J. Quantum Chem. 2015, 115, 1058–1073. [Google Scholar] [CrossRef]
- Horodecki, R.; Horodecki, P.; Horodecki, M.; Horodecki, K. Quantum entanglement. Rev. Mod. Phys. 2009, 81, 865–942. [Google Scholar] [CrossRef]
- Wang, C.; Deng, F.G.; Li, Y.S.; Liu, X.S.; Long, G.L. Quantum secure direct communication with high-dimension quantum superdense coding. Phys. Rev. A 2005, 71, 044305. [Google Scholar] [CrossRef]
- Bouwmeester, D.; Pan, J.W.; Mattle, K.; Eibl, M.; Weinfurter, H.; Zeilinger, A. Experimental quantum teleportation. Nature 1997, 390, 575–579. [Google Scholar] [CrossRef] [Green Version]
- Gisin, N.; Ribordy, G.; Tittel, W.; Zbinden, H. Quantum cryptography. Rev. Mod. Phys. 2002, 74, 145. [Google Scholar] [CrossRef]
- Figgatt, C.; Ostrander, A.; Linke, N.M.; Landsman, K.A.; Zhu, D.; Maslov, D.; Monroe, C. Parallel entangling operations on a universal ion-trap quantum computer. Nature 2019, 572, 368–372. [Google Scholar] [CrossRef]
- Cunha, M.M.; Fonseca, A.; Silva, E.O. Tripartite entanglement: Foundations and applications. Universe 2019, 5, 209. [Google Scholar] [CrossRef]
- Giovannetti, V.; Lloyd, S.; Maccone, L. Quantum-Enhanced Measurements: Beating the Standard Quantum Limit. Science 2004, 306, 1330–1336. [Google Scholar] [CrossRef]
- D’Angelo, M.; Chekhova, M.V.; Shih, Y. Two-Photon Diffraction and Quantum Lithography. Phys. Rev. Lett. 2001, 87, 013602. [Google Scholar] [CrossRef] [PubMed]
- Ono, T.; Okamoto, R.; Takeuchi, S. An entanglement-enhanced microscope. Nat. Commun. 2013, 4, 2426. [Google Scholar] [CrossRef]
- Giovannetti, V.; Lloyd, S.; Maccone, L. Positioning and clock synchronization through entanglement. Phys. Rev. A 2002, 65, 022309. [Google Scholar] [CrossRef]
- Arvidsson-Shukur, D.R.M.; Halpern, N.Y.; Lepage, H.V.; Lasek, A.A.; Barnes, C.H.W.; Lloyd, S. Quantum advantage in postselected metrology. Nat. Commun. 2020, 11, 3775. [Google Scholar] [CrossRef] [PubMed]
- Giovannetti, V.; Lloyd, S.; Maccone, L. Advances in quantum metrology. Nat. Phys. 2011, 5, 222–229. [Google Scholar] [CrossRef]
- Ma, J.; Xiao Huang, Y.; Wang, X.; Sun, C.P. Quantum Fisher information of the Greenberger-Horne-Zeilinger state in decoherence channels. Phys. Rev. A 2011, 84, 022302. [Google Scholar] [CrossRef] [Green Version]
- Alipour, S.; Mehboudi, M.; Rezakhani, A.T. Quantum Metrology in Open Systems: Dissipative Cramér-Rao Bound. Phys. Rev. Lett. 2014, 112, 120405. [Google Scholar] [CrossRef]
- Giovannetti, V.; Lloyd, S.; Maccone, L. Quantum Metrology. Phys. Rev. Lett. 2006, 96, 010401. [Google Scholar] [CrossRef]
- Meyer, V.; Rowe, M.A.; Kielpinski, D.; Sackett, C.A.; Itano, W.M.; Monroe, C.; Wineland, D.J. Experimental Demonstration of Entanglement-Enhanced Rotation Angle Estimation Using Trapped Ions. Phys. Rev. Lett. 2001, 86, 5870–5873. [Google Scholar] [CrossRef] [PubMed]
- Huelga, S.F.; Macchiavello, C.; Pellizzari, T.; Ekert, A.K.; Plenio, M.B.; Cirac, J.I. Improvement of frequency standards with quantum entanglement. Phys. Rev. Lett. 1997, 79, 3865. [Google Scholar] [CrossRef]
- Braunstein, S.L.; Caves, C.M. Statistical distance and the geometry of quantum states. Phys. Rev. Lett. 1994, 72, 3439–3443. [Google Scholar] [CrossRef] [PubMed]
- Li, N.; Luo, S. Entanglement detection via quantum Fisher information. Phys. Rev. A 2013, 88, 014301. [Google Scholar] [CrossRef]
- Pezzé, L.; Smerzi, A. Entanglement, Nonlinear Dynamics, and the Heisenberg Limit. Phys. Rev. Lett. 2009, 102, 100401. [Google Scholar] [CrossRef]
- Khalid, U.; Ur Rehman, J.; Shin, H. Metrologically resourceful multipartite entanglement under quantum many-body effects. Quantum Sci. Technol. 2021, 6, 025007. [Google Scholar] [CrossRef]
- Magesan, E.; Gambetta, J.M.; Córcoles, A.; Chow, J.M. Machine Learning for Discriminating Quantum Measurement Trajectories and Improving Readout. Phys. Rev. Lett. 2015, 114, 200501. [Google Scholar] [CrossRef] [PubMed]
- Mills, K.; Spanner, M.; Tamblyn, I. Deep learning and the Schrödinger equation. Phys. Rev. A 2017, 96, 042113. [Google Scholar] [CrossRef] [Green Version]
- Carleo, G.; Troyer, M. Solving the quantum many-body problem with artificial neural network. Science 2017, 355, 602–606. [Google Scholar] [CrossRef] [PubMed]
- Huang, L.; Wang, L. Accelerated Monte Carlo simulations with restricted Boltzmann machines. Phys. Rev. B. 2017, 95, 035105. [Google Scholar] [CrossRef]
- Carrasquilla, J.; Melko, R.G. Machine learning phases of matter. Nat. Phys. 2017, 13, 431–434. [Google Scholar] [CrossRef]
- Van Nieuwenburg, E.P.L.; Liu, Y.H.; Huber, S.D. Learning phase transitions by confusion. Nat. Phys. 2017, 13, 435–439. [Google Scholar] [CrossRef]
- Deng, D.L.; Li, X.; Sarma, S.D. Quantum entanglement in neural network states. Phys. Rev. X 2017, 7, 021021. [Google Scholar] [CrossRef]
- Hentschel, A.; Sanders, B.C. Machine learning for precise quantum measurement. Phys. Rev. Lett. 2010, 104, 063603. [Google Scholar] [CrossRef] [PubMed]
- Guţă, M.; Kotłowski, W. Quantum learning: Asymptotically optimal classification of qubit states. New J. Phys. 2010, 12, 123032. [Google Scholar] [CrossRef]
- Clauser, J.F.; Horne, M.A.; Shimony, A.; Holt, R.A. Proposed Experiment to Test Local Hidden-Variable Theories. Phys. Rev. Lett. 1969, 23, 880–884. [Google Scholar] [CrossRef]
- Cirel’son, B.S. Quantum generalizations of Bell’s inequality. Lett. Math. Phys. 1980, 4, 93–100. [Google Scholar] [CrossRef]
- Śliwa, C. Symmetries of the Bell correlation inequalities. Phys. Lett. A 2003, 317, 165–168. [Google Scholar] [CrossRef] [Green Version]
- Mermin, N.D. Extreme quantum entanglement in a superposition of macroscopically distinct states. Phys. Rev. Lett. 1990, 65, 1838–1840. [Google Scholar] [CrossRef] [PubMed]
- Cabello, A.; Rodríguez, D.; Villanueva, I. Necessary and Sufficient Detection Efficiency for the Mermin Inequalities. Phys. Rev. Lett. 2008, 101, 120402. [Google Scholar] [CrossRef] [PubMed]
- Svetlichny, G. Distinguishing three-body from two-body nonseparability by a Bell-type inequality. Phys. Rev. D 1987, 35, 3066–3069. [Google Scholar] [CrossRef]
- MATLAB. Version 9.6.0 1472908 (R2019a); The MathWorks Inc.: Natick, MA, USA, 2019. [Google Scholar]
- Johnston, N. QETLAB: A MATLAB Toolbox for Quantum Entanglement, Version 0.9; CVX Research, Inc.: Austin, TX, USA, 2016. [Google Scholar]
- Wei, K.X.; Lauer, I.; Srinivasan, S.; Sundaresan, N.; McClure, D.T.; Toyli, D.; McKay, D.C.; Gambetta, J.M.; Sheldon, S. Verifying multipartite entangled Greenberger-Horne-Zeilinger states via multiple quantum coherences. Phys. Rev. A 2020, 101, 032343. [Google Scholar] [CrossRef]
- Roik, J.; Bartkiewicz, K.; Černoch, A.; Lemr, K. Accuracy of Entanglement Detection via Artificial Neural Networks and Human-Designed Entanglement Witnesses. Phys. Rev. A 2021, 15, 054006. [Google Scholar] [CrossRef]
- Ghahi, M.G.; Akhtarshenas, S.J. Entangled graphs: A classification of four-qubit entanglement. Eur. Phys. J. D 2016, 70, 1–6. [Google Scholar] [CrossRef]
- Harney, C.; Pirandola, S.; Ferraro, A.; Paternostro, M. Entanglement classification via neural network quantum states. New J. Phys. 2020, 22, 045001. [Google Scholar] [CrossRef]
- Harney, C.; Paternostro, M.; Pirandola, S. Mixed state entanglement classification using artificial neural networks. New J. Phys. 2021, 23, 063033. [Google Scholar] [CrossRef]








| Operator | Feature | Weight | Architecture |
|---|---|---|---|
| Mermin | fixed | 4 fixed values | linear, no hidden layer |
| Svetlichny | fixed | 8 fixed values | linear, no hidden layer |
| Mermin-ML | variable | many optimized values | nonlinear, hidden layer |
| Svetlichny-ML | variable | many optimized values | nonlinear, hidden layer |
| Class | Precision | Recall | F1-Score |
|---|---|---|---|
| Fully Separable | 1 | ||
| Biseparable | |||
| Fully Entanglement | 1 | ||
| Accuracy | N/A | N/A | |
| Macro Avg |
| Class | Precision | Recall | F1-Score |
|---|---|---|---|
| Fully Separable | 1 | ||
| Biseparable | |||
| Fully Entanglement | |||
| Accuracy | N/A | N/A | |
| Macro Avg |
Publisher’s Note: MDPI stays neutral with regard to jurisdictional claims in published maps and institutional affiliations. |
© 2022 by the authors. Licensee MDPI, Basel, Switzerland. This article is an open access article distributed under the terms and conditions of the Creative Commons Attribution (CC BY) license (https://creativecommons.org/licenses/by/4.0/).
Share and Cite
Rizvi, S.M.A.; Asif, N.; Ulum, M.S.; Duong, T.Q.; Shin, H. Multiclass Classification of Metrologically Resourceful Tripartite Quantum States with Deep Neural Networks. Sensors 2022, 22, 6767. https://doi.org/10.3390/s22186767
Rizvi SMA, Asif N, Ulum MS, Duong TQ, Shin H. Multiclass Classification of Metrologically Resourceful Tripartite Quantum States with Deep Neural Networks. Sensors. 2022; 22(18):6767. https://doi.org/10.3390/s22186767
Chicago/Turabian StyleRizvi, Syed Muhammad Abuzar, Naema Asif, Muhammad Shohibul Ulum, Trung Q. Duong, and Hyundong Shin. 2022. "Multiclass Classification of Metrologically Resourceful Tripartite Quantum States with Deep Neural Networks" Sensors 22, no. 18: 6767. https://doi.org/10.3390/s22186767
APA StyleRizvi, S. M. A., Asif, N., Ulum, M. S., Duong, T. Q., & Shin, H. (2022). Multiclass Classification of Metrologically Resourceful Tripartite Quantum States with Deep Neural Networks. Sensors, 22(18), 6767. https://doi.org/10.3390/s22186767

