New Sensors for Monitoring pH and Corrosion of Embedded Steel in Mortars during Sulfuric Acid Attack
Abstract
:1. Introduction
2. Materials and Methods
2.1. Synthesis and Characterization of pH IrOx Sensors
2.2. Mortars and Sensors Embedment
2.3. pH Monitoring
2.4. Corrosion Monitoring
3. Results and Discussion
3.1. Characterization of the pH Sensors
3.2. Measurement of pH Inside Mortar Samples
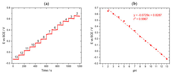
3.3. Response of IrOx Sensors in 1 M H2SO4
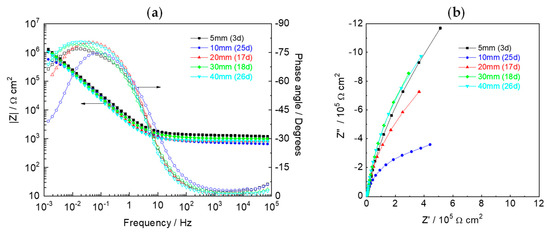
3.4. Corrosion of Iron Wires in Mortar during Sulfuric Acid Attack
4. Conclusions
Author Contributions
Funding
Institutional Review Board Statement
Informed Consent Statement
Data Availability Statement
Conflicts of Interest
References
- Pedeferri, P.; Bertolini, L.; Elsener, B.; Redaelli, E.; Polder, R.B. Corrosion of Steel in Concrete—Prevention, Diagnosis, Repair; Wiley: Hoboken, NJ, USA, 2013. [Google Scholar]
- Alexander, M.; Bertron, A.; De Belie, N. Performance of Cement-Based Materials in Aggressive Environments, State-of-the-Art Report, RILEM TC 211-PAE; Springer: Berlin, Germany, 2013. [Google Scholar] [CrossRef]
- Attiogbe, E.K.; Rizkalla, S.H. Response of Concrete to Sulfuric Acid Attack. ACI Mater. J. 1988, 85, 481–488. [Google Scholar]
- Khitab, A.; Arshad, M.T.; Awan, F.M.; Khan, I. Development of an acid resistant concrete: A review. Int. J. Sustain. Constr. Eng. Technol. 2013, 4, 33–38. [Google Scholar]
- Zivica, V.; Bajza, A. Acidic attack of cement based materials—A review. Part 1. Principle of acidic attack. Constr. Build. Mater. 2001, 15, 331–340. [Google Scholar] [CrossRef]
- Beddoe, R.E.; Dorner, H.W. Modelling acid attack on concrete: Part I. The essential mechanisms. Cem. Concr. Res. 2005, 35, 2333–2339. [Google Scholar] [CrossRef]
- Irico, S.; De Meyst, L.; Qvaeschning, D.; Alonso, M.C.; Villar, K.; De Belie, N. Severe sulfuric acid attack on self-compacting concrete with granulometrically optimized blast-furnace slag-comparison of different test methods. Materials 2020, 13, 1431. [Google Scholar] [CrossRef] [Green Version]
- Gutberlet, T.; Hilbig, H.; Beddoe, R.E. Acid attack on hydrated cement - Effect of mineral acids on the degradation process. Cem. Concr. Res. 2015, 74, 35–43. [Google Scholar] [CrossRef]
- Gay, H.; Meynet, T.; Colombani, J. Local study of the corrosion kinetics of hardened Portland cement under acid attack. Cem. Concr. Res. 2016, 90, 36–42. [Google Scholar] [CrossRef]
- Oueslati, O.; Duchesne, J. The effect of SCMs and curing time on resistance of mortars subjected to organic acids. Cem. Concr. Res. 2012, 42, 205–214. [Google Scholar] [CrossRef]
- Nnadi, E.O.; Lizarazo-Marriaga, J. Acid Corrosion of Plain and Reinforced Concrete Sewage Systems. J. Mater. Civ. Eng. 2013, 25, 1353–1356. [Google Scholar] [CrossRef]
- Yuan, H.; Dangla, P.; Chatellier, P.; Chaussadent, T. Degradation modelling of concrete submitted to sulfuric acid attack. Cem. Concr. Res. 2013, 53, 267–277. [Google Scholar] [CrossRef]
- Gu, L.; Visintin, P.; Bennett, T. Evaluation of accelerated degradation test methods for cementitious composites subject to sulfuric acid attack; application to conventional and alkali-activated concretes. Cem. Concr. Compos. 2018, 87, 187–204. [Google Scholar] [CrossRef]
- Woyciechowski, P.; Łukowski, P.; Szmigiera, E.; Adamczewski, G.; Chilmon, K.; Spodzieja, S. Concrete corrosion in a wastewater treatment plant—A comprehensive case study. Const. Build. Mater. 2021, 303, 124388. [Google Scholar] [CrossRef]
- Behnood, A.; Van Tittelboom, K.; De Belie, N. Methods for measuring pH in concrete: A review. Constr. Build. Mater. 2016, 105, 176–188. [Google Scholar] [CrossRef]
- Longuet, P. La protection des armatures dans le béton armé élaboré avec des ciments de laitiers. Silic. Ind. 1976, 8, 321–328. [Google Scholar]
- Barneyback, R.S.; Diamond, S. Expression and analysis of pore fluids from hardened cement pastes and mortars. Cem. Concr. Res. 1981, 11, 279–285. [Google Scholar] [CrossRef]
- Sagues, A.A.; Moreno, E.I.; Andrade, C. Evolution of pH during in-situ leaching in small concrete cavities. Cem. Concr. Res. 1997, 27, 1747–1759. [Google Scholar] [CrossRef]
- Li, L.; Sagues, A.A.; Poor, N. In-situ leaching investigation of pH and nitrite concentration in concrete pore solution. Cem. Concr. Res. 1999, 29, 315–321. [Google Scholar] [CrossRef]
- Bjork, F.; Eriksson, C.A. Measurement of alkalinity in concrete by a simple procedure, to investigate transport of alkaline material from the concrete slab to a self-levelling screed. Const. Build. Mater. 2002, 16, 535. [Google Scholar] [CrossRef]
- Alonso, M.C.; Calvo, J.L.G.; Walker, C.; Naito, M.; Pettersson, S.; Puigdomenech, I.; Cuñado, M.A.; Vuorio, M.; Posiva, M.; Weber, H.; et al. Development of an Accurate pH Measurement Methodology for the Pore Fluids of Low pH Cementitious Materials. SKB R-12-02; Svensk Karnbranslehantering, A.B., Ed.; Swedish Nuclear Fuel and Waste Management Co.: Stockholm, Sweden, 2012. [Google Scholar]
- Loh, P.Y.; Shafigh, P.; Katman, H.Y.B.; Ibrahim, Z.; Yousuf, S. pH Measurement of Cement-Based Materials: The Effect of Particle Size. Appl. Sci. 2021, 11, 8000. [Google Scholar] [CrossRef]
- Wang, W.C.; Huang, W.H.; Lee, M.Y.; Duong, H.T.H.; Chang, Y.H. Standardized Procedure of Measuring the pH Value of Cement Matrix Material by Ex-Situ Leaching Method (ESL). Crystals 2021, 11, 436. [Google Scholar] [CrossRef]
- EN 14630:2007; Products and Systems for the Protection and Repair of Concrete Structures—Test Methods—Determination of Carbonation Depth in Hardened Concrete by the Phenolphthalein Method. European Standards: Pilsen, Czech Republic, 2007.
- Vogler, N.; Lindemann, M.; Drabetzki, P.; Kühne, H.-C. Alternative pH-indicators for determination of carbonation depth on cement-based concretes. Cem. Concr. Comp. 2020, 109, 103565. [Google Scholar] [CrossRef]
- Nguyen, T.H.; Thillainathan, V.; Chen, S.; Sun, T.; Grattan, K.T.V.; Taylor, S.E.; Basheer, M.; Long, A.E. Fluorescence based fibre optic pH sensor for the pH 10–13 range suitable for corrosion monitoring in concrete structures. Sens. Actuators B 2014, 191, 498–507. [Google Scholar] [CrossRef]
- Blumentritt, M.; Melhorn, K.; Flachsbarth, J.; Kroener, M.; Kowalsky, W.; Johannes, H.H. A novel fabrication method of fiber-optical planar transmission sensors for monitoring pH in concrete structures. Sens. Actuators B 2008, 131, 504–508. [Google Scholar] [CrossRef]
- Du, R.-G.; Hu, R.-G.; Huang, R.-S.; Lin, C.-J. In situ measurement of Cl− concentrations and pH at the reinforcing steel/concrete interface by combination sensors. Anal. Chem. 2006, 78, 3179–3185. [Google Scholar] [CrossRef] [PubMed]
- Dong, S.-G.; Lin, C.-J.; Hu, R.-G.; Li, L.-Q.; Du, R.-G. Effective monitoring of corrosion in reinforcing steel in concrete constructions by a multifunctional sensor. Electrochim. Acta 2011, 56, 1881–1888. [Google Scholar] [CrossRef]
- Yu, H.; Caseres, L. An embedded multi-parameter corrosion sensor for reinforced concrete structures. Mater. Corros. 2012, 63, 1011–1016. [Google Scholar] [CrossRef]
- Gandía-Romero, J.M.; Campos, I.; Valcuende, M.; García-Breijo, E.; Marcos, M.D.; Pay, J.; Soto, J. Potentiometric thick-film sensors for measuring the pH of concrete. Cem. Concr. Comp. 2016, 68, 66–76. [Google Scholar] [CrossRef]
- Yamanaka, K. Anodically electrodeposited iridium oxide films (AEIROF) from alkaline solutions for electrochromic display devices. Jpn. J. Appl. Phys. 1989, 28, 632–637. [Google Scholar] [CrossRef]
- Steegstra, P.; Ahlberg, E. Involvement of nanoparticles in the electrodeposition of hydrous iridium oxide films. Electrochim. Acta 2012, 68, 206–213. [Google Scholar] [CrossRef]
- Chen, Y.; Taylor, P.L.; Scherson, D. Electrochemical and in situ optical studies of supported iridium oxide films in aqueous solutions. J. Electrochem. Soc. 2009, 156, F14. [Google Scholar] [CrossRef]
- El-Giar, E.E.D.M.; Wipf, D.O. Microparticle-based iridium oxide ultramicroelectrodes for pH sensing and imaging. J. Electroanal. Chem. 2007, 609, 147–154. [Google Scholar] [CrossRef]
- Burke, L.D.; Mulcahy, J.K.; Whelan, D.P. Preparation of an oxidized iridium electrode and the variation of its potential with pH. J. Electroanal. Chem. 1984, 163, 117–128. [Google Scholar] [CrossRef]












| Mortar Composition | Mass/% |
|---|---|
| Cement CEM I 42.5N | 20.83 |
| Sand 0–2 mm | 62.50 |
| Water | 16.67 |
| Water/cement ratio | 0.8 |
| Sand/cement ratio | 3 |
| Depth | RHF (Ω cm2) | YLF (10−5 Ω−1 sn cm−2) | nLF | RLF (106 Ω cm2) | 104 χ2 |
|---|---|---|---|---|---|
| 5 mm | 1315 | 4.16 | 0.840 | 11.6 | 19 |
| 10 mm | 731 | 4.92 | 0.829 | 0.907 | 9 |
| 20 mm | 860.7 | 5.66 | 0.886 | 3.18 | 14 |
| 30 mm | 1061 | 5.21 | 0.850 | 1.01 | 29 |
| 40 mm | 865.7 | 6.62 | 0.891 | 7.31 | 11 |
| Time | RHF (Ω cm2) | YLF (10−5 Ω−1 sn cm−2) | nLF | RLF (Ω cm2) | 104 χ2 |
|---|---|---|---|---|---|
| 0 d | 2451 | 4.11 | 0.810 | 1.50 × 106 | 36 |
| 25 d | 731 | 4.92 | 0.829 | 9.07 × 105 | 9 |
| 26 d (625 h) | 698 | 7.92 | 0.736 | 2952 | 17 |
| 27 d (646 h) | 425 | 7.33 | 0.737 | 2497 | 8 |
| 27 d (654 h) | 156 | 23.3 | 0.841 | 231 | 1 |
| 28 d (678 h) | 10.84 | 48.8 | 0.829 | 21.5 | 3 |
Publisher’s Note: MDPI stays neutral with regard to jurisdictional claims in published maps and institutional affiliations. |
© 2022 by the authors. Licensee MDPI, Basel, Switzerland. This article is an open access article distributed under the terms and conditions of the Creative Commons Attribution (CC BY) license (https://creativecommons.org/licenses/by/4.0/).
Share and Cite
Sampaio, R.; Bastos, A.; Ferreira, M. New Sensors for Monitoring pH and Corrosion of Embedded Steel in Mortars during Sulfuric Acid Attack. Sensors 2022, 22, 5356. https://doi.org/10.3390/s22145356
Sampaio R, Bastos A, Ferreira M. New Sensors for Monitoring pH and Corrosion of Embedded Steel in Mortars during Sulfuric Acid Attack. Sensors. 2022; 22(14):5356. https://doi.org/10.3390/s22145356
Chicago/Turabian StyleSampaio, Rui, Alexandre Bastos, and Mário Ferreira. 2022. "New Sensors for Monitoring pH and Corrosion of Embedded Steel in Mortars during Sulfuric Acid Attack" Sensors 22, no. 14: 5356. https://doi.org/10.3390/s22145356
APA StyleSampaio, R., Bastos, A., & Ferreira, M. (2022). New Sensors for Monitoring pH and Corrosion of Embedded Steel in Mortars during Sulfuric Acid Attack. Sensors, 22(14), 5356. https://doi.org/10.3390/s22145356

