Portable Wideband Directional Antenna Scheme with Semicircular Corrugated Reflector for Digital Television Reception
Abstract
:1. Introduction
2. Antenna Structure
3. Parametric Study
3.1. Conceptualization of the Portable Directional Antenna Scheme
3.2. Evolution of the Portable Wideband Antenna Scheme
3.3. Surface Current Distribution
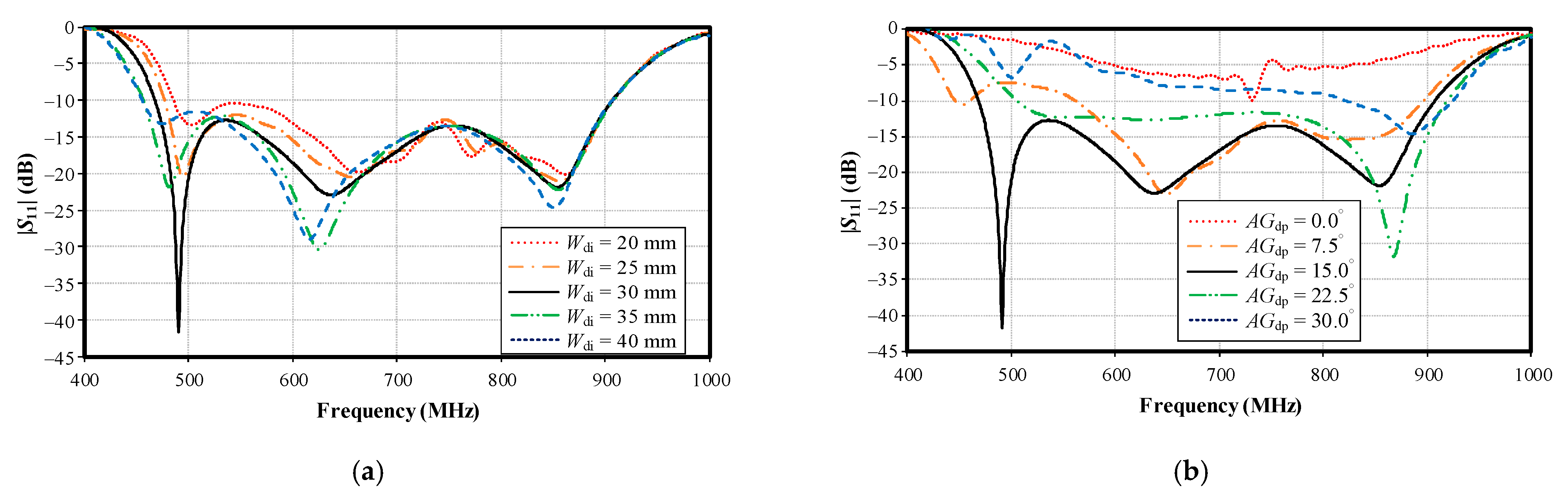
3.4. Parametric Sweep of the Antenna Scheme
4. Prototype Fabrication and Measured Results
5. Indoor and Outdoor Application Testing
6. Conclusions
Author Contributions
Funding
Institutional Review Board Statement
Informed Consent Statement
Acknowledgments
Conflicts of Interest
References
- Chen, O.T.C.; Tsai, C. CPW-fed wideband printed dipole antenna for digital TV applications. IEEE Trans. Antennas Propag. 2011, 59, 4826–4830. [Google Scholar] [CrossRef]
- Lin, D.; Tsai, P.; Tang, I.; Chen, P. Spiral and multimode antenna miniaturization for DTV signal receptions. IEEE Antennas Wirel. Propag. Lett. 2010, 9, 902–905. [Google Scholar] [CrossRef]
- Van Trinh, T.; Kim, G.; Kim, J.; Jung, C.W. Wideband internal PIFA-loop antenna designed on the bezel of digital television applications for UHF band. IET Electron. Lett. 2018, 54, 1260–1262. [Google Scholar] [CrossRef]
- Luadang, B.; Phongcharoenpanich, C. Magneto dielectric-laden miniaturized wideband meander line antenna for mobile devices. Int. J. Antennas Propag. 2018, 2018, 4284520. [Google Scholar] [CrossRef] [Green Version]
- Fujimoto, K.; Morishita, H. Enhancement of bandwidth. In Modern Small Antennas; United States of America by Cambridge University Press: New York, NY, USA, 2013; pp. 337–339. [Google Scholar]
- Lerosey, G. Yagi-uda antenna shines bright. Nat. Photonics 2010, 4, 267–268. [Google Scholar] [CrossRef]
- Feng, B.T.; Li, S.F.; An, W.X.; Yin, S.X.; Li, J.C.; Qiu, T.S. U shaped Bow-tie magneto-electric dipole antenna with a modified horned reflector for ultra-wideband applications. Microw. Antennas Propag. 2014, 8, 990–998. [Google Scholar] [CrossRef]
- Uysal, S.; Leong, M.; Ng, C. Bowtie patch antennas and simple arrays for wireless indoor communications. IEEE Trans. Microw. Theory Tech. 1999, 47, 738–745. [Google Scholar] [CrossRef]
- Yarovoy, A. Adaptive Bow-tie antenna for ground penetrating radar. In Proceedings of the Tenth International Conference on Ground Penetrating Radar GPR 2004, Delft, The Netherlands, 21–24 June 2004; pp. 121–124. [Google Scholar]
- Qu, S.W.; Li, J.L.; Xue, Q. Bowtie dipole antenna with wide beamwidth for base station application. IEEE Antennas Wirel. Propag. Lett. 2007, 6, 293–295. [Google Scholar] [CrossRef]
- Kwag, Y.K.; Hassanein, A.; Edwards, D. A high-directive Bow-tie radar antenna with a pyramidal reflector for ultra wideband radar imaging applications. Microw. Opt. Technol. Lett. 2009, 51, 387–390. [Google Scholar] [CrossRef]
- Zhou, S.; Huang, G.; Chio, T. A low profile, wideband cavity-backed bowtie antenna. Microw. Opt. Technol Lett. 2013, 55, 1422–1426. [Google Scholar] [CrossRef]
- Mukherjee, S.; Biswas, A.; Srivastava, K.V. Broadband substrate integrated waveguide cavity-backed Bow-tie slot antenna. IEEE Antennas Wirel. Propag. Lett. 2014, 13, 1152–1155. [Google Scholar] [CrossRef]
- Luadang, B.; Phongcharoenpanich, C. Unidirectional bowtie array antenna with incision gap for digital video broadcasting-T2 base station. IET Microw. Antennas Propag. 2015, 9, 1087–1095. [Google Scholar] [CrossRef]
- Lim, S. Design of a multidirectional, high-gain compact Yagi antenna. IEEE Antennas Wireless Propag. Lett. 2009, 8, 418–420. [Google Scholar]
- Kaneda, N.; Deal, W.R.; Qian, Y.X.; Waterhouse, R.; Itoh, T. A broadband planar quasi-Yagi antenna. IEEE Trans. Antennas Propag. 2002, 50, 1158–1160. [Google Scholar] [CrossRef]
- Arceo, D.; Balanis, C.A. A compact Yagi–Uda antenna with enhanced bandwidth. IEEE Antennas Wireless Propag. Lett. 2011, 10, 442–445. [Google Scholar] [CrossRef]
- Stutzman, W.L.; Thiele, G.A. Antenna Theory and Design, 2nd ed.; John Wiley and Sons, Inc.: Hoboken, NJ, USA, 1998; pp. 56–270. [Google Scholar]
- Wang, C.; Lee, Y. A compact dipole antenna for DTV applications by utilizing L-shaped stub and coupling strip. IEEE Trans. Antennas Propag. 2014, 62, 6515–6519. [Google Scholar] [CrossRef]
- Duangtang, P.; Wongsan, R. Design of band-notched planar dipole antenna for DTV application. In Proceedings of the 7th International Electrical Engineering Congress (iEECON), Hua Hin, Thailand, 6–8 March 2019; pp. 1–4. [Google Scholar]
- Taonok, C.; Saetiaw, C. Design of unbalance slot printed dipole antenna with triangle parasitic element for DTV receiver. In Proceedings of the 17th International Conference on Electrical Engineering/Electronics, Computer, Telecommunications and Information Technology (ECTI-CON), Phuket, Thailand, 24–27 June 2020; pp. 238–241. [Google Scholar]
- Spectrum Product. K-Vesta. Available online: http://www.spectrum.co.kr/product/k-vesta/?lang=en (accessed on 4 February 2022).
- Yeo, J.; Lee, J.I. Miniaturized wideband loop antenna using a multiple half-circular-ring-based loop structure and horizontal slits for terrestrial DTV and UHD TV applications. Sensors 2021, 21, 2916. [Google Scholar] [CrossRef]
- Lee, J.I.; Yeo, J.; Cho, Y.K. Broadband compact quasi-Yagi antenna for indoor digital TV. Microw. Opt. Technol. Lett. 2013, 55, 2859–2863. [Google Scholar] [CrossRef]
- Rachchompoo, S.; Intarawiset, N.; Akatimagool, S.; Chaiyawong, K. Development of learning innovation of DTV antennas for telecommunication education. In Proceedings of the 7th International Conference on Technical Education (ICTechEd7), Bangkok, Thailand, 25–26 March 2020; pp. 41–44. [Google Scholar]
- Mistry, K.K.; Lazaridis, P.I.; Zaharis, Z.D.; Chochliouros, I.P.; Loh, T.H.; Gravas, I.P.; Cheadle, D. Optimization of log-periodic TV reception antenna with UHF mobile communications band rejection. Electronics 2020, 9, 1830. [Google Scholar] [CrossRef]
- Audone, B.; Delogu, A.; Moriondo, P. Radome Design and Measurements. IEEE Trans. Instrum. Meas. 1998, 37, 292–295. [Google Scholar] [CrossRef]
- Moreno, J.; Fernandez, M.; Somolinos, A.; Lozano, L.; Catedra, F.; Gonzalez, I. Analysis and Design of Antenna Radomes. In Proceedings of the Communications, Antennas and Electronic Systems (COMCAS 2013), Tel Aviv, Israel, 21–23 October 2013. [Google Scholar]
- What is Radome. Available online: http://www.radomeservices.com/what-is-a-radome/ (accessed on 8 January 2022).
- Chen, Z.N.; Luk, K.-M. Radome materials In Antennas for Base Stations in Wireless Communication; McGraw-Hill: New York, NY, USA, 2009; pp. 56, 246. [Google Scholar]
- Studio, C.P. CST Studio Suite 3D EM Simulation and Analysis Software; CST Studio Suite; Simulia: Darmstadt, Germany, 2018. [Google Scholar]
- Altınoklu, A.; Karaosmanoğlu, B.; Ergül, Ö. Electromagnetic optimization of corrugatedmetallic sheets for maximum power focusing. J. Electromagn. Waves Appl. 2017, 31, 1–13. [Google Scholar] [CrossRef]
- Karaova, G.; Altınoklu, A.; Ergül, Ö. Full-wave electromagnetic optimisation of corrugated metallic reflectors using a multigrid approach. Sci. Rep. 2018, 8, 1267. [Google Scholar] [CrossRef] [PubMed] [Green Version]
- Pumpoung, T.; Wongsiritorn, P. Accurate measurement techniques for 75 ohms antenna with 50 ohms vector network analyzer. Przegląd Elektrotechniczny 2020, 96, 39–43. [Google Scholar] [CrossRef]
- Suwansukho, N.; Promwong, S.; Chamchoy, M. Evaluation of DVB-T2 transmission channel in Bangkok, Thailand. In Proceedings of the 2nd International Conference on Digital Arts, Media and Technology Digital Economy for sustainable growth (ICDAMT), Chiang Mai, Thailand, 1–4 March 2017; pp. 1–6. [Google Scholar]
- Antennas and Digital Television. Available online: https://www.fcc.gov/sites/default/files/antennas_and_digital_television.pdf (accessed on 12 May 2022).
























| Symbol | Description | Physical Size, mm | Electrical Size at 680 MHz |
|---|---|---|---|
| h | Spacing between the lower base plate and the reflector | 139.00 | 0.315 λC |
| p | Thickness of the supporting plate and the base plate | 5.00 | 0.011 λC |
| Hbalun | Balun height | 140.32 | 0.318 λC |
| hdi | Antenna height | 156.00 | 0.353 λC |
| Dbalun | Distance between center to center of the balun | 19.24 | 0.043 λC |
| href | Reflector height | 45.00 | 0.102 λC |
| Lref | Reflector length | 226.42 | 0.513 λC |
| Dref | Distance from center of the supporting plate to the reflector | 78.61 | 0.178 λC |
| AGdp | Angle of the folded bowtie radiator (degree) | 15.00 | - |
| Wdi | Width of the folded bowtie radiator | 30.00 | 0.068 λC |
| Ddi | Distance between director and center of the supporting plate | 25.00 | 0.056 λC |
| Ldi | Director’s arm length | 43.34 | 0.098 λC |
| AGdi | Angle of the director’s arm (degree) | 34.60 | - |
| Ddp | Length of triangular section of the folded bowtie radiator | 18.70 | 0.042 λC |
| hmi | Height of the folded bowtie radiator | 15.00 | 0.034 λC |
| Wmi | Width of the 1st and 2nd sections of the folded bowtie radiator | 15.20 | 0.034 λC |
| Wr | Width of the final section of the folded bowtie radiator | 6.90 | 0.015 λC |
| Specifics | Simulation | Measurement | ||||
|---|---|---|---|---|---|---|
| 470 MHz | 680 MHz | 890 MHz | 470 MHz | 680 MHz | 890 MHz | |
| |S11| < −10 dB Bandwidth, % | (468–907), 63.85% | (424–943), 75.93% | ||||
| Gain (dBi) | 3.45 | 4.07 | 5.21 | 2.69 | 3.75 | 4.84 |
| HPBW in xz-plane, (deg.) | 149 | 194 | 185.1 | 150 | 159 | 160 |
| HPBW in yz-plane, (deg.) | 99 | 92.8 | 84.2 | 102 | 78 | 102 |
| Cross-pol. in xz-plane (dB) | ≤−40 | ≤−20 | ||||
| Cross-pol. in yz-plane (dB) | ≤−40 | ≤−40 | ||||
| Back lobe level (dB) | ≤−10 | ≤−9 | ||||
| Radiation pattern | Unidirectional | Unidirectional | ||||
| Reference | Antenna Type | Bandwidth (MHz), (%) | Gain (dBi) | Dimension (mm) (Electrical Size at 470 MHz) |
|---|---|---|---|---|
| [1] | Printed dipole with multiple loops antenna | 430–1180 (93.16%) | 1.78–2.83 | 58.5 × 241 × 1.6 (0.091λ × 0.377λ × 0.0025λ) |
| [2] | Printed monopole with spiral loops antenna | 470–862 (58.85%) | −19–(−12) | 20 × 30 × 0.4 (0.031λ × 0.047λ × 0.0006λ) |
| [3] | PIFA-loop antenna | 470–771 (48.50%) | 2.2–4.8 | 17 × 375 (0.026λ × 0.587λ) |
| [4] | Printed meander line antenna with magneto dielectric | 467–1012 (73.69%) | 0.86–1.65 | 10 × 25 × 1 (0.015λ × 0.039λ × 0.0015λ) |
| [19] | Printed dipole antenna | 455–1070 (80.65%) | −0.57–1.15 | 20 × 200 × 0.8 (0.031λ × 0.313λ × 0.001λ) |
| [20] | Printed dipole antenna | 452–897 (65.97%) | 2.09–3.85 | 45 × 250 × 1.6 (0.070λ × 0.391λ × 0.002λ) |
| [21] | Printed dipole antenna | 441–890 (67.46%) | 4.65 (peak) | 35 × 243 × 1.6 (0.054λ × 0.380λ × 0.002λ) |
| [23] | Printed loop antenna | 461–806 (54.45%) | 1.9–2.5 | 165 × 165 × 0.8 (0.258λ × 0.258λ × 0.001λ) |
| [24] | Printed quasi-Yagi antenna | 450–848 (61.32%) | 3.5–4.6 | 200 × 240 × 1.6 (0.313λ × 0.376λ× 0.002λ) |
| [26] | Log-periodic antenna | 470–790 (50.79%) | 8 (peak) | 302.6 × 356 × 35 (0.474λ × 0.557λ 0.054λ) |
| Proposed antenna | Yagi-Uda with bowtie antenna | 424–943 (75.93%) | 2.69–4.84 | 175 × 175 × 209 (0.274λ × 0.274λ × 0.327λ) |
Publisher’s Note: MDPI stays neutral with regard to jurisdictional claims in published maps and institutional affiliations. |
© 2022 by the authors. Licensee MDPI, Basel, Switzerland. This article is an open access article distributed under the terms and conditions of the Creative Commons Attribution (CC BY) license (https://creativecommons.org/licenses/by/4.0/).
Share and Cite
Luadang, B.; Pukraksa, R.; Janpangngern, P.; Pookkapund, K.; Dentri, S.; Kosulvit, S.; Phongcharoenpanich, C. Portable Wideband Directional Antenna Scheme with Semicircular Corrugated Reflector for Digital Television Reception. Sensors 2022, 22, 5338. https://doi.org/10.3390/s22145338
Luadang B, Pukraksa R, Janpangngern P, Pookkapund K, Dentri S, Kosulvit S, Phongcharoenpanich C. Portable Wideband Directional Antenna Scheme with Semicircular Corrugated Reflector for Digital Television Reception. Sensors. 2022; 22(14):5338. https://doi.org/10.3390/s22145338
Chicago/Turabian StyleLuadang, Bancha, Rerkchai Pukraksa, Pisit Janpangngern, Khanet Pookkapund, Sitthichai Dentri, Sompol Kosulvit, and Chuwong Phongcharoenpanich. 2022. "Portable Wideband Directional Antenna Scheme with Semicircular Corrugated Reflector for Digital Television Reception" Sensors 22, no. 14: 5338. https://doi.org/10.3390/s22145338
APA StyleLuadang, B., Pukraksa, R., Janpangngern, P., Pookkapund, K., Dentri, S., Kosulvit, S., & Phongcharoenpanich, C. (2022). Portable Wideband Directional Antenna Scheme with Semicircular Corrugated Reflector for Digital Television Reception. Sensors, 22(14), 5338. https://doi.org/10.3390/s22145338

