Spherical-Cap Approximation of Vector Quantization for Quantization-Based Combining in MIMO Broadcast Channels with Limited Feedback
Abstract
1. Introduction
1.1. Related Work
1.2. Contribution
2. System Model and Preliminaries
2.1. Limited Feedback
2.2. Quantization-Based Combining
- Find an orthonormal basis that spans the column space of .
- The quantized CDI is determined as the closest vector in to the column space of :
- Determine the direction of the effective channel by projecting onto the column space of :
- The receive combining weight vector is finally detemined as
3. SCVQ for QBC
4. Communication Application and Simulation Results
4.1. Channel Quantization and Limited Feedback
4.2. Zero-Forcing Beamforming
4.3. Performance Metrics
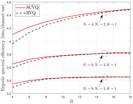
4.4. Simulation Results
4.5. Discussion
5. Conclusions
Author Contributions
Funding
Institutional Review Board Statement
Informed Consent Statement
Data Availability Statement
Conflicts of Interest
References
- Caire, G.; Shamai, S. On the achievable throughput of a multiantenna Gaussian broadcast channel. IEEE Trans. Inf. Theory 2003, 49, 1691–1706. [Google Scholar] [CrossRef]
- Jindal, N.; Goldsmith, A. Dirty-paper coding versus TDMA for MIMO Broadcast channels. IEEE Trans. Inf. Theory 2005, 51, 1783–1794. [Google Scholar] [CrossRef]
- Spencer, Q.H.; Swindlehurst, A.L.; Haardt, M. Zero-forcing methods for downlink spatial multiplexing in multiuser MIMO channels. IEEE Trans. Signal Process. 2004, 52, 461–471. [Google Scholar] [CrossRef]
- Choi, L.U.; Murch, R.D. A transmit preprocessing technique for multiuser MIMO systems using a decomposition approach. IEEE Trans. Wirel. Commun. 2004, 3, 20–24. [Google Scholar] [CrossRef]
- Yoo, T.; Goldsmith, A. On the optimality of multiantenna broadcast scheduling using zero-forcing beamforming. IEEE J. Sel. Areas Commun. 2006, 24, 528–541. [Google Scholar]
- Andrews, J.; Choi, W.; Heath, R. Overcoming interference in spatial multiplexing MIMO cellular networks. IEEE Trans. Wirel. Commun. 2007, 14, 95–104. [Google Scholar] [CrossRef]
- Love, D.J.; Heath, R.W., Jr.; Strohmer, T. Grassmannian beamforming for multiple-input multiple-output wireless systems. IEEE Trans. Inf. Theory 2003, 49, 2735–2747. [Google Scholar] [CrossRef]
- Love, D.J.; Heath, R.W., Jr. Limited feedback unitary precoding for spatial multiplexing systems. IEEE J. Sel. Areas Commun. 2005, 51, 2967–2976. [Google Scholar] [CrossRef]
- Jindal, N. MIMO broadcast channels with finite-rate feedback. IEEE Trans. Inf. Theory 2006, 52, 5045–5060. [Google Scholar] [CrossRef]
- Jindal, N. Antenna Combining for the MIMO Downlink Channel. IEEE Trans. Wirel. Commun. 2008, 7, 3834–3844. [Google Scholar] [CrossRef][Green Version]
- Au-Yeung, C.K.; Love, D. On the performance of random vector quantization limited feedback beamforming in a MISO system. IEEE Trans. Wirel. Commun. 2007, 6, 458–462. [Google Scholar] [CrossRef]
- Yoo, T.; Jindal, N.; Goldsmith, A. Multi-antenna downlink channels with limited feedback and user selection. IEEE J. Sel. Areas Commun. 2007, 25, 1478–1491. [Google Scholar] [CrossRef]
- Min, M.; Jeon, Y.S.; Im, G.H. On achievable multiplexing gain of BD in MIMO broadcast channels with limited feedback. IEEE Trans. Wirel. Commun. 2016, 15, 871–885. [Google Scholar] [CrossRef]
- Dai, W.; Liu, Y.; Rider, B. Quantization bounds on Grassmann manifolds and applications to MIMO communications. IEEE Trans. Inform. Theory 2008, 54, 1108–1123. [Google Scholar] [CrossRef]
- Mukkavilli, K.K.; Sabharwal, A.; Erkip, E.; Aazhang, B. On beamforming with finite rate feedback in multiple-antenna systems. IEEE Trans. Inf. Theory 2003, 49, 2562–2579. [Google Scholar] [CrossRef]
- Park, J.; Lee, N.; Andrews, J.G.; Heath, R.W., Jr. On the optimal feedback rate in interference-Limited multi-antenna cellular systems. IEEE Trans. Wirel. Commun. 2016, 15, 5748–5762. [Google Scholar] [CrossRef]
- Min, M.; Kim, D.; Kim, H.M.; Im, G.H. Opportunistic two-stage feedback and scheduling for MIMO downlink systems. IEEE Trans. Commun. 2013, 61, 312–324. [Google Scholar] [CrossRef]
- Zhou, S.; Wang, Z.; Giannakis, G. Quantifying the power loss when transmit beamforming relies on finite rate feedback. IEEE Trans. Wirel. Commun. 2005, 4, 1948–1957. [Google Scholar] [CrossRef]
- Kountouris, M.; Andrews, J. Downlink SDMA with limited feedback in interference-limited wireless networks. IEEE Trans. Wirel. Commun. 2012, 11, 2730–2741. [Google Scholar] [CrossRef]
- Min, M. Bounds on the optimal feedback rate for multi-antenna systems in interference-limited cellular networks. IEEE Trans. Wirel. Commun. 2018, 17, 4845–4860. [Google Scholar] [CrossRef]
- Kang, Y.S.; Min, M. Unified Derivation of Optimal Feedback Rate in Downlink Cellular Systems With Multi-Antenna Base Stations. IEEE Access 2019, 7, 161871–161886. [Google Scholar] [CrossRef]
- Sun, L.; Tian, X. Physical Layer Security in Multi-Antenna Cellular Systems: Joint Optimization of Feedback Rate and Power Allocation. IEEE Trans. Wirel. Commun. 2022. [Google Scholar] [CrossRef]
- Kim, T.K.; Min, M. On the Accuracy of Quantization Cell Approximation in MIMO Broadcast Systems Based on Limited Feedback. IEEE Access 2020, 8, 73432–73450. [Google Scholar] [CrossRef]
- Schwarz, S.; Rupp, M. Subspace Quantization Based Combining for Limited Feedback Block-Diagonalization. IEEE Trans. Wirel. Commun. 2013, 12, 5868–5879. [Google Scholar] [CrossRef]
- Schwarz, S.; Rupp, M.; Wesemann, S. Grassmannian Product Codebooks for Limited Feedback Massive MIMO With Two-Tier Precoding. IEEE J. Sel. Areas Commun. 2019, 13, 1119–1135. [Google Scholar] [CrossRef]
- Song, J.; Lee, B.; Noh, S.; Lee, J.H. Limited Feedback Designs for Machine-Type Communications Exploiting User Cooperation. IEEE Access 2019, 7, 95154–95169. [Google Scholar] [CrossRef]
- Kim, T.K. Antenna Combining for Interference Limited MIMO Cellular Networks. Sensors 2020, 20, 4210. [Google Scholar] [CrossRef]
- Gupta, A.K.; Nadarajah, S. Handbook of Beta Distribution and Its Applications; Marcel Dekker, Inc.: New York, NY, USA, 2004. [Google Scholar]
- David, H.; Nagaraja, H.N. Order Statistics, 3rd ed.; Wiley: Hoboken, NJ, USA, 2003. [Google Scholar]
- Baccelli, F.; Blaszczyszyn, B. Stochastic Geometry and Wireless Networks: Volume I Theory; NOW Publishers: Norwell, MA, USA, 2009. [Google Scholar]
- Andrews, J.G.; Baccelli, F.; Ganti, R.K. A tractable approach to coverage and rate in cellular networks. IEEE Trans. Commun. 2011, 59, 3122–3134. [Google Scholar] [CrossRef]
- Min, M. On the Optimal CSI Feedback Rate of Downlink MIMO Systems Using Multiple Receive Antennas in Cellular Networks. IEEE Trans. Wirel. Commun. 2019, 8, 1612–1616. [Google Scholar] [CrossRef]





| Previous Studies | Relative Difficulty in Theoretical Analysis | Ergodic Rate Compared with a Well-Designed Codebook | |
|---|---|---|---|
| Fixed codebook | [7,8] | high | - |
| RVQ | [9,10,11,13,14] | low | lower-bound approximation |
| SCVQ | [12,15,16,17,18,19,20,21,22,23] | very low | upper-bound approximation |
Publisher’s Note: MDPI stays neutral with regard to jurisdictional claims in published maps and institutional affiliations. |
© 2022 by the authors. Licensee MDPI, Basel, Switzerland. This article is an open access article distributed under the terms and conditions of the Creative Commons Attribution (CC BY) license (https://creativecommons.org/licenses/by/4.0/).
Share and Cite
Min, M.; Kim, T.-K. Spherical-Cap Approximation of Vector Quantization for Quantization-Based Combining in MIMO Broadcast Channels with Limited Feedback. Sensors 2022, 22, 5146. https://doi.org/10.3390/s22145146
Min M, Kim T-K. Spherical-Cap Approximation of Vector Quantization for Quantization-Based Combining in MIMO Broadcast Channels with Limited Feedback. Sensors. 2022; 22(14):5146. https://doi.org/10.3390/s22145146
Chicago/Turabian StyleMin, Moonsik, and Tae-Kyoung Kim. 2022. "Spherical-Cap Approximation of Vector Quantization for Quantization-Based Combining in MIMO Broadcast Channels with Limited Feedback" Sensors 22, no. 14: 5146. https://doi.org/10.3390/s22145146
APA StyleMin, M., & Kim, T.-K. (2022). Spherical-Cap Approximation of Vector Quantization for Quantization-Based Combining in MIMO Broadcast Channels with Limited Feedback. Sensors, 22(14), 5146. https://doi.org/10.3390/s22145146

