Frequency-Based Representation of Massive Alerts and Combination of Indicators by Heterogeneous Intrusion Detection Systems for Anomaly Detection
Abstract
:1. Introduction
- We propose a method to refine massive alerts in specific periods utilizing the frequency of categorical values as indicators to handle the non-numeric values in each alert.
- We introduce a method for situational awareness with the indicators applying machine learning techniques and evaluate the performance of indicators using the alert dataset obtained from a realistic testbed.
- We introduce the usage of a combination of indicators by heterogeneous IDSs and validate its result.
2. Related Works
2.1. Alert Aggregation and Alert Correlation
2.2. Security Visualization
3. Method for Situational Awareness
3.1. Overall Structure
3.2. Indicators
3.3. Label
3.4. Model
3.5. Combination of Indicators from Heterogeneous IDS
4. Experiments and Results
4.1. Dataset
4.2. Configuration of Attack Scenario
- Web-based Management. The Wireless HART gateway and system for web management are targeted by attacks to HTTP vulnerability;
- Database. Database server is targeted by attacks to database vulnerability;
- Operating System. Engineering Workstations (EWS) and Operator Workstations (EWS) based on window OS are targeted by attacks to SMB vulnerability;
- Remote Procedure. Modules for remote control and procedure call are targeted by vulnerability attacks such as DCERPC and VNC.
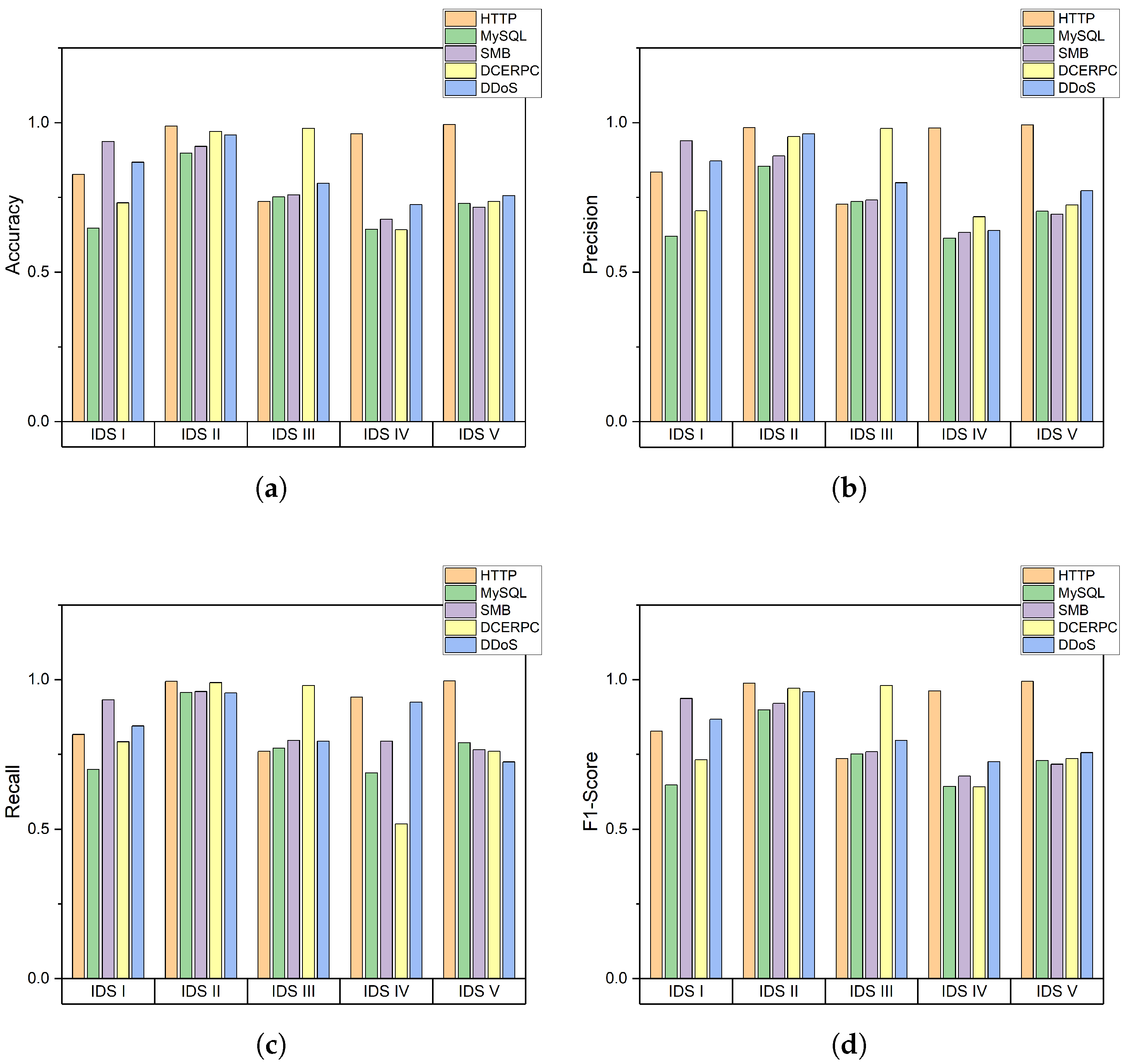
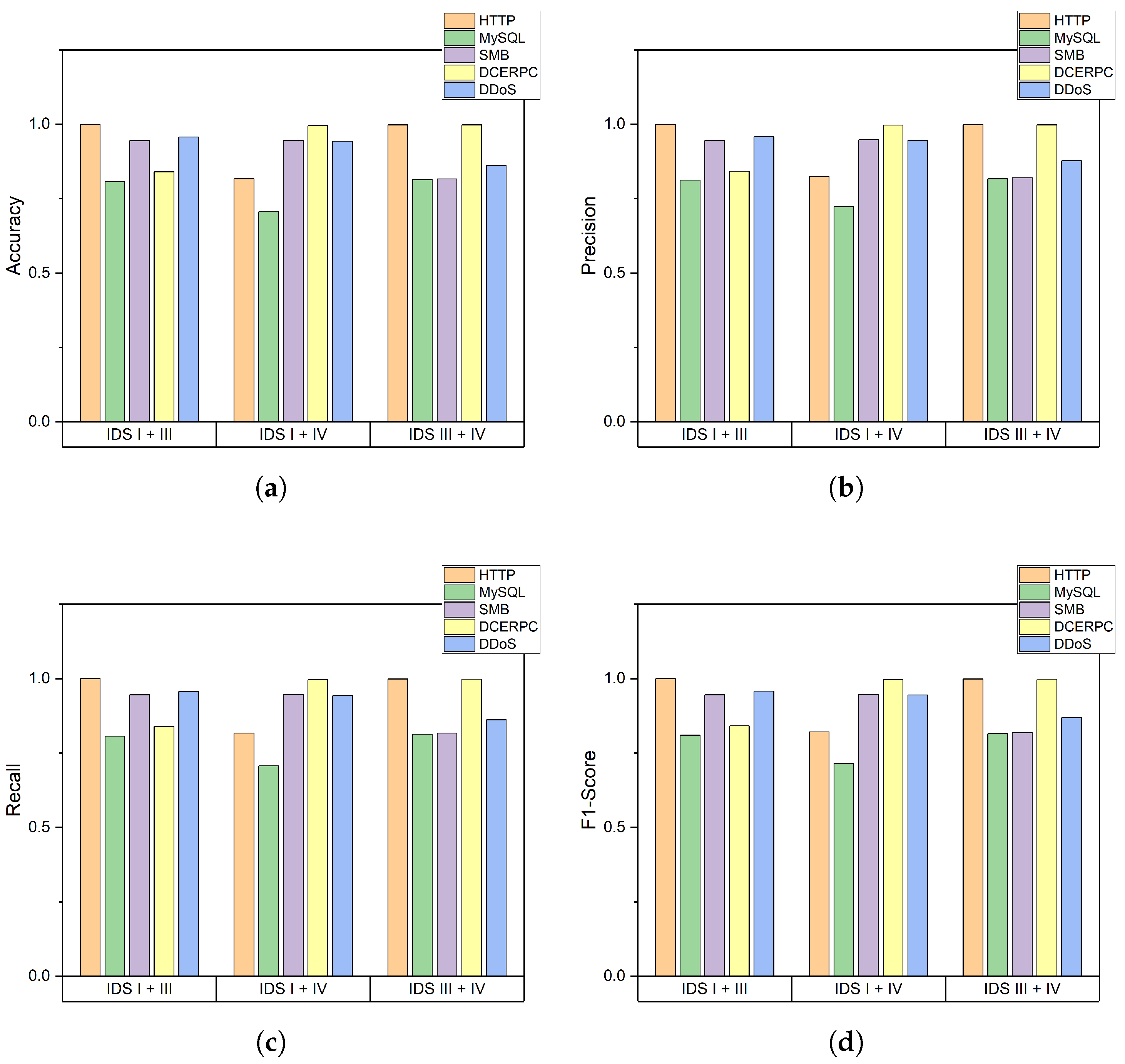
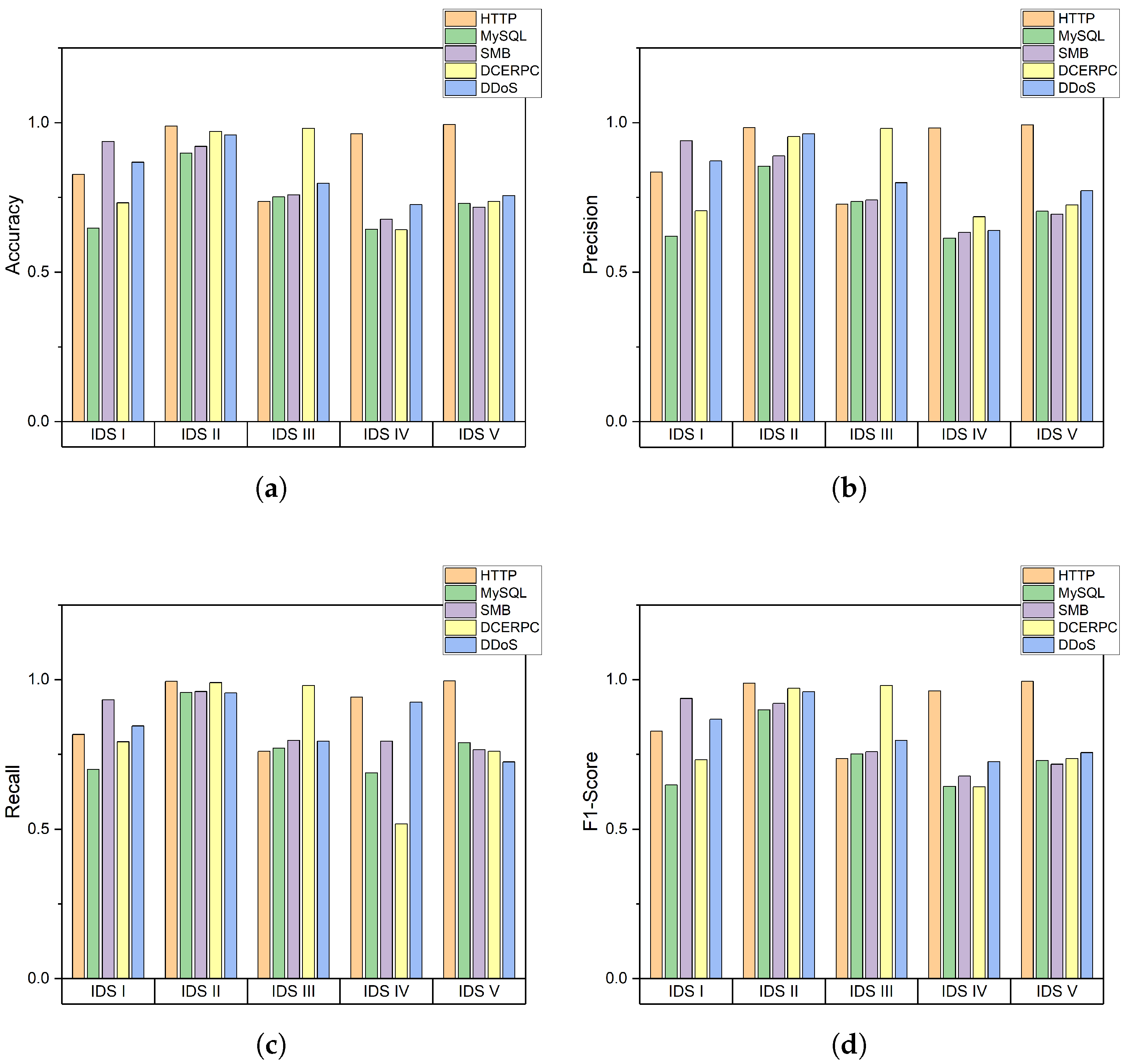
4.3. Results
5. Conclusions
Author Contributions
Funding
Institutional Review Board Statement
Informed Consent Statement
Data Availability Statement
Conflicts of Interest
References
- Lu, Y. Industry 4.0: A survey on technologies, applications and open research issues. J. Ind. Inf. Integr. 2017, 6, 1–10. [Google Scholar] [CrossRef]
- Dalenogare, L.S.; Benitez, G.B.; Ayala, N.F.; Frank, A.G. The expected contribution of Industry 4.0 technologies for industrial performance. Int. J. Prod. Econ. 2018, 204, 383–394. [Google Scholar] [CrossRef]
- Raposo, D.; Rodrigues, A.; Sinche, S.; Sá Silva, J.; Boavida, F. Industrial IoT monitoring: Technologies and architecture proposal. Sensors 2018, 18, 3568. [Google Scholar] [CrossRef] [PubMed]
- Zhang, Z.K.; Cho, M.C.Y.; Wang, C.W.; Hsu, C.W.; Chen, C.K.; Shieh, S. IoT security: Ongoing challenges and research opportunities. In Proceedings of the 2014 IEEE 7th International Conference on Service-Oriented Computing and Applications, Matsue, Japan, 17–19 November 2014; pp. 230–234. [Google Scholar]
- Sadeghi, A.R.; Wachsmann, C.; Waidner, M. Security and privacy challenges in industrial internet of things. In Proceedings of the 2015 52nd ACM/EDAC/IEEE Design Automation Conference (DAC), San Francisco, CA, USA, 8–12 June 2015; pp. 1–6. [Google Scholar]
- Drias, Z.; Serhrouchni, A.; Vogel, O. Analysis of cyber security for industrial control systems. In Proceedings of the 2015 International Conference on Cyber Security of Smart Cities, Industrial Control System and Communications (SSIC), Shanghai, China, 5–7 August 2015; pp. 1–8. [Google Scholar]
- Stouffer, K.; Falco, J.; Scarfone, K. Guide to industrial control systems (ICS) security. NIST Spec. Publ. 2011, 800, 16. [Google Scholar]
- Hu, Y.; Yang, A.; Li, H.; Sun, Y.; Sun, L. A survey of intrusion detection on industrial control systems. Int. J. Distrib. Sens. Netw. 2018, 14, 1550147718794615. [Google Scholar] [CrossRef]
- Dzung, D.; Naedele, M.; Von Hoff, T.P.; Crevatin, M. Security for industrial communication systems. Proc. IEEE 2005, 93, 1152–1177. [Google Scholar] [CrossRef]
- Buczak, A.L.; Guven, E. A survey of data mining and machine learning methods for cyber security intrusion detection. IEEE Commun. Surv. Tutor. 2015, 18, 1153–1176. [Google Scholar] [CrossRef]
- Hubballi, N.; Suryanarayanan, V. False alarm minimization techniques in signature-based intrusion detection systems: A survey. Comput. Commun. 2014, 49, 1–17. [Google Scholar] [CrossRef]
- Moskal, S.; Yang, S.J.; Kuhl, M.E. Extracting and evaluating similar and unique cyber attack strategies from intrusion alerts. In Proceedings of the 2018 IEEE International Conference on Intelligence and Security Informatics (ISI), Miami, FL, USA, 9–11 November 2018; pp. 49–54. [Google Scholar]
- Sadoddin, R.; Ghorbani, A.A. An incremental frequent structure mining framework for real-time alert correlation. Comput. Secur. 2009, 28, 153–173. [Google Scholar] [CrossRef]
- Hu, W.; Chen, T.; Shah, S.L. Detection of frequent alarm patterns in industrial alarm floods using itemset mining methods. IEEE Trans. Ind. Electron. 2018, 65, 7290–7300. [Google Scholar] [CrossRef]
- Zhuang, X.; Xiao, D.; Liu, X.; Zhang, Y. Applying data fusion in collaborative alerts correlation. In Proceedings of the 2008 International Symposium on Computer Science and Computational Technology, Shanghai, China, 20–22 December 2008; Volume 2, pp. 124–127. [Google Scholar]
- Lai, S.; Chen, T. A method for pattern mining in multiple alarm flood sequences. Chem. Eng. Res. Des. 2017, 117, 831–839. [Google Scholar] [CrossRef]
- Julisch, K. Clustering intrusion detection alarms to support root cause analysis. ACM Trans. Inf. Syst. Secur. (TISSEC) 2003, 6, 443–471. [Google Scholar] [CrossRef]
- Lu, X.; Du, X.; Wang, W. An Alert Aggregation Algorithm Based on K-means and Genetic Algorithm. In Proceedings of the IOP Conference Series: Materials Science and Engineering, Shanghai, China, 8–10 August 2018; IOP Publishing: Bristol, UK, 2018; Volume 435, p. 012031. [Google Scholar]
- Brahmi, H.; Ben Yahia, S. Discovering multi-stage attacks using closed multi-dimensional sequential pattern mining. In Database and Expert Systems Applications, Proceedings of the 24th International Conference, DEXA 2013, Prague, Czech Republic, 26–29 August 2013; Springer: Berlin/Heidelberg, Germany, 2013; pp. 450–457. [Google Scholar]
- Salah, S.; Maciá-Fernández, G.; Díaz-Verdejo, J.E. A model-based survey of alert correlation techniques. Comput. Netw. 2013, 57, 1289–1317. [Google Scholar] [CrossRef]
- Lee, C.P.; Trost, J.; Gibbs, N.; Beyah, R.; Copeland, J.A. Visual firewall: Real-time network security monitor. In Proceedings of the IEEE Workshop on Visualization for Computer Security, 2005, (VizSEC 05), Minneapolis, MN, USA, 26 October 2005; pp. 129–136. [Google Scholar]
- Abdullah, K.; Lee, C.P.; Conti, G.J.; Copeland, J.A.; Stasko, J.T. IDS RainStorm: Visualizing IDS Alarms. In Proceedings of the IEEE Symposium on Information Visualization’s Workshop on Visualization for Computer Security (VizSEC), Minneapolis, MN, USA, 26 October 2005; p. 1. [Google Scholar]
- Shiravi, H.; Shiravi, A.; Ghorbani, A.A. IDS alert visualization and monitoring through heuristic host selection. In Information and Communications Security, Proceedings of the 12th International Conference, ICICS 2010, Barcelona, Spain, 15–17 December 2010; Springer: Berlin/Heidelberg, Germany, 2010; pp. 445–458. [Google Scholar]
- Zhao, Y.; Zhou, F.; Fan, X.; Liang, X.; Liu, Y. IDSRadar: A real-time visualization framework for IDS alerts. Sci. China Inf. Sci. 2013, 56, 1–12. [Google Scholar] [CrossRef]
- Chen, T.; Guestrin, C. Xgboost: A scalable tree boosting system. In Proceedings of the 22nd Acm Sigkdd International Conference on Knowledge Discovery and Data Mining, San Francisco, CA, USA, 13–17 August 2016; Association for Computing Machinery: New York, NY, USA, 2016; pp. 785–794. [Google Scholar]
- Shwartz-Ziv, R.; Armon, A. Tabular data: Deep learning is not all you need. Inf. Fusion 2022, 81, 84–90. [Google Scholar] [CrossRef]
- Shin, H.K.; Lee, W.; Yun, J.H.; Kim, H. Implementation of programmable {CPS} testbed for anomaly detection. In Proceedings of the 12th {USENIX} Workshop on Cyber Security Experimentation and Test ({CSET} 19), San Jose, CA, USA, 12 August 2019. [Google Scholar]
- Choi, S.; Yun, J.H.; Min, B.G.; Kim, H. POSTER: Expanding a Programmable CPS Testbed for Network Attack Analysis. In Proceedings of the ASIA CCS ’20: 15th ACM Asia Conference on Computer and Communications Security, Taipei, Taiwan, 5–9 October 2020; Association for Computing Machinery: New York, NY, USA, 2020; pp. 928–930. [Google Scholar] [CrossRef]
- Choi, S.; Choi, J.; Yun, J.H.; Min, B.G.; Kim, H. Expansion of ICS Testbed for Security Validation based on MITRE ATT&CK Techniques. In Proceedings of the 13th USENIX Workshop on Cyber Security Experimentation and Test (CSET 20), Online, 10 August 2020; USENIX Association: Washington, DC, USA, 2020. [Google Scholar]








| Item | Setup |
|---|---|
| Model | Classifier |
| Max depth | 4, 6, 8, 10 |
| Learn rate | 0.1, 0.15, 0.2, 0.01 |
| Selected Fields | protocol, IPAttacker, IPVictim, portVictim, portAttacker |
| Window size | 30 |
| Sliding size | 2 |
| ID | Vender | Type | Installation | ACL | Signiture |
|---|---|---|---|---|---|
| I | A | IDS/IPS | Physical | ✓ | ✓ |
| II | B | IDS/IPS | Physical | ✓ | ✓ |
| III | C | IDS/IPS | Physical | ✓ | ✓ |
| IV | Open-source | Snort | Virtual | ✓ | ✓ |
| V | Open-source | Suricata | Virtual | ✓ | ✓ |
| Category | Service | Affected Testbed | Type | Attack Duration | ||
|---|---|---|---|---|---|---|
| Boiler | Turbine | Water | ||||
| Web | HTTP | ✓ | ✓ | 152 | 25 min 14 s | |
| Database | MySQL | ✓ | 18 | 2 min 21 s | ||
| OS | SMB | ✓ | ✓ | ✓ | 81 | 13 min 29 s |
| Remote Procedure | DCERPC | ✓ | ✓ | 65 | 10 min 55 s | |
| DDoS | 13 | 1 h 5 min | ||||
| Total | 329 | 1 h 56 min 59 s | ||||
| Class | Number of Alerts | Number of Instances with Indicators | ||||
|---|---|---|---|---|---|---|
| IDS I | IDS II | IDS III | IDS IV | IDS V | ||
| HTTP | 4056 | 25,062 | 281,515 | 31,845 | 3605 | 757 |
| MySQL | 336 | 2132 | 25,725 | 397 | 23 | 70 |
| SMB | 2262 | 11,778 | 148,418 | 2315 | 141 | 404 |
| DCERPC | 1610 | 10,043 | 122,927 | 3488 | 135 | 327 |
| DDoS | 17,174 | 99,268 | 632,560 | 197,090 | 140,348 | 1950 |
| Normal | 8819 | 51,082 | 658,427 | 11,903 | 493 | 1800 |
Publisher’s Note: MDPI stays neutral with regard to jurisdictional claims in published maps and institutional affiliations. |
© 2022 by the authors. Licensee MDPI, Basel, Switzerland. This article is an open access article distributed under the terms and conditions of the Creative Commons Attribution (CC BY) license (https://creativecommons.org/licenses/by/4.0/).
Share and Cite
Park, H.; Choi, Y.-J. Frequency-Based Representation of Massive Alerts and Combination of Indicators by Heterogeneous Intrusion Detection Systems for Anomaly Detection. Sensors 2022, 22, 4417. https://doi.org/10.3390/s22124417
Park H, Choi Y-J. Frequency-Based Representation of Massive Alerts and Combination of Indicators by Heterogeneous Intrusion Detection Systems for Anomaly Detection. Sensors. 2022; 22(12):4417. https://doi.org/10.3390/s22124417
Chicago/Turabian StylePark, Hyunjae, and Young-June Choi. 2022. "Frequency-Based Representation of Massive Alerts and Combination of Indicators by Heterogeneous Intrusion Detection Systems for Anomaly Detection" Sensors 22, no. 12: 4417. https://doi.org/10.3390/s22124417
APA StylePark, H., & Choi, Y.-J. (2022). Frequency-Based Representation of Massive Alerts and Combination of Indicators by Heterogeneous Intrusion Detection Systems for Anomaly Detection. Sensors, 22(12), 4417. https://doi.org/10.3390/s22124417

