A Novel Fault Diagnosis Method of Rolling Bearing Based on Integrated Vision Transformer Model
Abstract
:1. Introduction
- (1)
- The integrated ViT based on the soft voting fusion method is suggested to diagnose the bearing fault with high accuracy and generalization;
- (2)
- DWT is used to decompose the original signal into different subsignals in different frequency bands and denoise the subsignals. After that, CWT is utilized to transform the subsignals into time–frequency representation (TFR) maps which can describe the singularity of the different subsignals;
- (3)
- The ViT model can dig out more hidden fault-related information from the different TFR maps of the subsignals in different frequency bands.
2. Integrated Vision Transformer Model
2.1. DWT-Based Signal Decomposition
2.2. Time–Frequency Analysis Based on CWT
2.3. Vision Transformer Model (ViT)
2.3.1. Embedding Layer
2.3.2. Transformer Encoder
- MLP layer
- Multiheaded self-attention layer
2.3.3. MLP Head
2.4. Decision Fusion Based on Soft Voting Method
3. Diagnosis Method Based on Integrated ViT Model
4. Fault Diagnosis of Rolling Bearing
4.1. Acquisition of Bearing Vibration Signal
4.2. Wavelet Transform Analysis of Vibration Signal
4.2.1. Obtaining Subsignals in Different Frequency Bands Based on DWT
4.2.2. Time–Frequency Analysis Based on CWT
4.3. Diagnosis Analysis
4.3.1. Comparison with Other Integrated Models and Individual Models
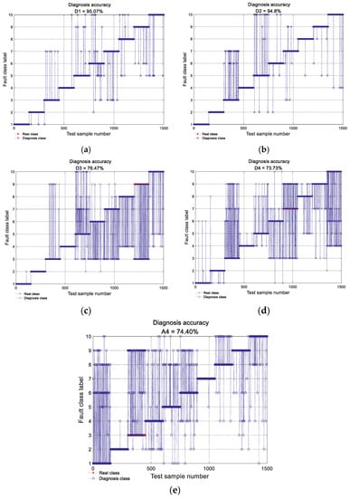
4.3.2. Generalization Analysis of the Integrated ViT
5. Conclusions
Author Contributions
Funding
Institutional Review Board Statement
Informed Consent Statement
Data Availability Statement
Conflicts of Interest
References
- Glowacz, A. Ventilation diagnosis of angle grinder using thermal imaging. Sensors 2021, 21, 2853. [Google Scholar] [CrossRef] [PubMed]
- Glowacz, A.; Tadeusiewicz, R.; Legutko, S.; Caesarendra, W.; Irfan, M.; Liu, H.; Brumercik, F.; Gutten, M.; Sulowicz, M.; Daviu, J.A.; et al. Fault diagnosis of angle grinders and electric impact drills using acoustic signals. Appl. Acoust. 2021, 179, 108070. [Google Scholar] [CrossRef]
- Zhang, X.; Zhang, M.; Xiang, Z.; Mo, J. Research on diagnosis algorithm of mechanical equipment brake friction fault based on MCNN-SVM. Measurement 2021, 186, 110065. [Google Scholar] [CrossRef]
- Pandya, D.H.; Upadhyay, S.H.; Harsha, S.P. Fault diagnosis of rolling element bearing with intrinsic mode function of acoustic emission data using APF-KNN. Expert Syst. Appl. 2013, 40, 4137–4145. [Google Scholar] [CrossRef]
- Liguori, A.; Armentani, E.; Bertocco, A.; Formato, A.; Pellegrino, A.; Villecco, F. Noise reduction in spur gear systems. Entropy 2020, 22, 1306. [Google Scholar] [CrossRef]
- Wang, Y.; Li, S.; Jia, F.; Shen, J. Multi-Domain Weighted Transfer Adversarial Network for the Cross-Domain Intelligent Fault Diagnosis of Bearings. Machines 2022, 10, 326. [Google Scholar] [CrossRef]
- Ahmed, H.O.; Nandi, A.K. Intrinsic Dimension Estimation-Based Feature Selection and Multinomial Logistic Regression for Classification of Bearing Faults Using Compressively Sampled Vibration Signals. Entropy 2022, 24, 511. [Google Scholar] [CrossRef]
- Pan, H.; He, X.; Tang, S.; Meng, F. An Improved Bearing Fault Diagnosis Method using One-Dimensional CNN and LSTM. Stroj. Vestn. J. Mech. Eng. 2018, 64, 443–452. [Google Scholar]
- Wang, X.; Mao, D.; Li, X. Bearing fault diagnosis based on vibro-acoustic data fusion and 1D-CNN network. Measurement 2021, 173, 108518. [Google Scholar] [CrossRef]
- Hasan, M.J.; Sohaib, M.; Kim, J.M. 1D CNN-based transfer learning model for bearing fault diagnosis under variable working conditions. In Proceedings of the International Conference on Computational Intelligence in Information System, Gadong, Brunei Darussalam, 16–18 November 2018; Springer: Cham, Switzerland, 2018; pp. 13–23. [Google Scholar]
- Zhao, B.; Zhang, X.; Li, H.; Yang, Z. Intelligent fault diagnosis of rolling bearings based on normalized CNN considering data imbalance and variable working conditions. Knowl. Based Syst. 2020, 199, 105971. [Google Scholar] [CrossRef]
- Zhang, S.; Zhang, S.; Wang, B.; Habetler, T.G. Deep learning algorithms for bearing fault diagnostics—A comprehensive review. IEEE Access 2020, 8, 29857–29881. [Google Scholar] [CrossRef]
- Mon, Y.J. Vision Robot Path Control Based on Artificial Intelligence Image Classification and Sustainable Ultrasonic Signal Transformation Technology. Sustainability 2022, 14, 5335. [Google Scholar] [CrossRef]
- Wang, H.; Xu, J.; Yan, R.; Sun, C.; Chen, X. Intelligent bearing fault diagnosis using multi-head attention-based CNN. Procedia Manuf. 2020, 49, 112–118. [Google Scholar] [CrossRef]
- Vaswani, A.; Shazeer, N.; Parmar, N.; Uszkoreit, J.; Jones, L.; Gomez, A.N.; Kaiser, Ł.; Polosukhin, I. Attention is all you need. Adv. Neural Inf. Process. Syst. 2017, 30, 5998–6008. [Google Scholar]
- Ding, Y.; Jia, M.; Miao, Q.; Cao, Y. A novel time–frequency Transformer based on self–attention mechanism and its application in fault diagnosis of rolling bearings. Mech. Syst. Signal Process. 2022, 168, 108616. [Google Scholar] [CrossRef]
- Dosovitskiy, A.; Beyer, L.; Kolesnikov, A.; Weissenborn, D.; Zhai, X.; Unterthiner, T.; Dehghani, M.; Minderer, M.; Heigold, G.; Gelly, S.; et al. An Image is Worth 16 × 16 Words: Transformers for Image Recognition at Scale. In Proceedings of the International Conference on Learning Representations, Addis Ababa, Ethiopia, 26 April–1 May 2020. [Google Scholar]
- Yuan, L.; Chen, Y.; Wang, T.; Yu, W.; Shi, Y.; Jiang, Z.; Tay, F.E.H.; Feng, J.; Yan, S. Tokens-to-token vit: Training vision transformers from scratch on imagenet. In Proceedings of the IEEE/CVF International Conference on Computer Vision, Montreal, QC, Canada, 10–17 October 2021; pp. 558–567. [Google Scholar]
- Chen, C.-F.; Fan, Q.; Panda, R. Crossvit: Cross-attention multi-scale vision transformer for image classification. In Proceedings of the IEEE/CVF International Conference on Computer Vision, Addis Ababa, Ethiopia, 1–7 May 2021; pp. 357–366. [Google Scholar]
- Weng, C.; Lu, B.; Yao, J. A One-Dimensional Vision Transformer with Multiscale Convolution Fusion for Bearing Fault Diagnosis. In Proceedings of the 2021 Global Reliability and Prognostics and Health Management (PHM-Nanjing), Nanjing, China, 15–17 October 2021; IEEE: Piscataway, NJ, USA, 2021; pp. 1–6. [Google Scholar]
- Zhao, M.; Kang, M.; Tang, B.; Pecht, M. Deep residual networks with dynamically weighted wavelet coefficients for fault diagnosis of planetary gearboxes. IEEE Trans. Ind. Electron. 2018, 65, 4290–4300. [Google Scholar] [CrossRef]
- Chen, K.; Zhou, X.C.; Fang, J.Q.; Zheng, P.F.; Wang, J. Fault feature extraction and diagnosis of gearbox based on EEMD and deep briefs network. Int. J. Rotating Mach. 2017, 5, 1–10. [Google Scholar] [CrossRef] [Green Version]
- Li, X.; Jiang, H.; Niu, M.; Wang, R. An enhanced selective ensemble deep learning method for rolling bearing fault diagnosis with beetle antennae search algorithm. Mech. Syst. Signal Process. 2020, 142, 106752. [Google Scholar] [CrossRef]
- Zhang, Y.; Wang, J.; Zhang, F.; Lv, S.; Zhang, L.; Jiang, M.; Sui, Q. Intelligent fault diagnosis of rolling bearing using the ensemble self-taught learning convolutional auto-encoders. IET Sci. Meas. Technol. 2022, 16, 130–147. [Google Scholar] [CrossRef]
- Xu, G.; Liu, M.; Jiang, Z.; Söffker, D.; Shen, W. Bearing fault diagnosis method based on deep convolutional neural network and random forest ensemble learning. Sensors 2019, 19, 1088. [Google Scholar] [CrossRef] [Green Version]
- Bruce, L.M.; Koger, C.H.; Li, J. Dimensionality reduction of hyperspectral data using discrete wavelet transform feature extraction. IEEE Trans. Geosci. Remote Sens. 2002, 40, 2331–2338. [Google Scholar] [CrossRef]
- Mallat, S.G. A theory for multiresolution signal decomposition: The wavelet representation. IEEE Trans. Pattern Anal. Mach. Intell. 1989, 11, 674–693. [Google Scholar] [CrossRef] [Green Version]
- Feng, Z.; Liang, M.; Chu, F. Recent advances in time–frequency analysis methods for machinery fault diagnosis: A review with application examples. Mech. Syst. Signal Process. 2013, 38, 165–205. [Google Scholar] [CrossRef]
- Manap, M.; Abdullah, A.R.; Nikolovski, S.; Sutikno, T.; Jopri, M.H. An improved smooth-windowed wigner-ville distribution analysis for voltage variation signal. Int. J. Electr. Comput. Eng. 2020, 10, 4982. [Google Scholar] [CrossRef]
- Timoshevskaya, O.; Londikov, V.; Andreev, D.; Samsonenkov, V.; Klets, T. Digital Data Processing Based on Wavelet Transforms. In Environment, Technologies, Resources, Proceedings of the 13th International Scientific and Practical Conference, Rezekne, Latvia, 17–18 June 2021; Rezekne Academy of Technologies: Rēzekne, Latvia, 2021; Volume 2, pp. 174–180. [Google Scholar]
- Li, P.; Yuan, H.; Wang, Y.; Chen, X. Pumping unit fault analysis method based on wavelet transform time-frequency diagram and cnn. Int. Core J. Eng. 2020, 6, 182–188. [Google Scholar]
- Yan, G.; Liang, S.; Zhang, Y.; Liu, F. Fusing transformer model with temporal features for ECG heartbeat classification. In Proceedings of the 2019 IEEE International Conference on Bioinformatics and Biomedicine (BIBM), San Diego, CA, USA, 18–21 November 2019; IEEE: Piscataway, NJ, USA; pp. 898–905. [Google Scholar]
- Rojarath, A.; Songpan, W.; Pong-inwong, C. Improved ensemble learning for classification techniques based on majority voting. In Proceedings of the 2016 7th IEEE International Conference on Software Engineering and Service Science (ICSESS), Beijing, China, 26–28 August 2016; pp. 107–110. [Google Scholar]
- The Case Western Reserve University Bearing Data Center. Bearing Data Center Fault Test Data. 1998. Available online: http://csegroups.case.edu/bearingdatacenter/pages/download-data-file (accessed on 24 August 2021).
- Smith, W.A.; Randall, R.B. Rolling element bearing diagnostics using the Case Western Reserve University data: A benchmark study. Mech. Syst. Signal Process. 2015, 64, 100–131. [Google Scholar] [CrossRef]














| Fault Class Conditions | Class Label | The Number of Training Samples | The Number of Test Samples | Fault Size (mm) |
|---|---|---|---|---|
| Normal | 1 | 350 | 150 | 0 |
| Slight inner ring | 2 | 350 | 150 | 0.18 |
| Medium inner ring | 3 | 350 | 150 | 0.36 |
| Severe inner ring | 4 | 350 | 150 | 0. 53 |
| Slight outer ring | 5 | 350 | 150 | 0.18 |
| Medium outer ring | 6 | 350 | 150 | 0.36 |
| Severe outer ring | 7 | 350 | 150 | 0. 53 |
| Slight rolling element | 8 | 350 | 150 | 0.18 |
| Medium rolling element | 9 | 350 | 150 | 0.36 |
| Severe rolling element | 10 | 350 | 150 | 0.53 |
| Layer | Input Size | Output Size |
|---|---|---|
| Conv2D | 64, 64, 3 | 64, 64, 32 |
| Conv2D | 64, 64, 32 | 64, 64, 32 |
| MaxPooling2D | 64, 64, 32 | 32, 32, 32 |
| Flatten | 32, 32, 32 | 32,768 |
| Dense | 32,768 | 32 |
| Dense | 32 | 10 |
| Diagnostic Model | Mean of Diagnosis Accuracy | Minimum of Diagnosis Accuracy | Maximum of Diagnosis Accuracy |
|---|---|---|---|
| ViT | 98.73% | 97.76% | 99.87% |
| Integrated ViT model | 99.87% | 99.47% | 100.00% |
| Integrated CNN model | 99.13% | 98.53% | 99.87% |
| Diagnosis Model | Diagnosis Accuracy (%) | ||
|---|---|---|---|
| Dataset 1 | Dataset 2 | Dataset 3 | |
| Integrated ViT | 100.00 | 99.67 | 99.83 |
| Integrated CNN | 99.17 | 99.33 | 98.33 |
| ViT | 98.83 | 98.67 | 97.83 |
Publisher’s Note: MDPI stays neutral with regard to jurisdictional claims in published maps and institutional affiliations. |
© 2022 by the authors. Licensee MDPI, Basel, Switzerland. This article is an open access article distributed under the terms and conditions of the Creative Commons Attribution (CC BY) license (https://creativecommons.org/licenses/by/4.0/).
Share and Cite
Tang, X.; Xu, Z.; Wang, Z. A Novel Fault Diagnosis Method of Rolling Bearing Based on Integrated Vision Transformer Model. Sensors 2022, 22, 3878. https://doi.org/10.3390/s22103878
Tang X, Xu Z, Wang Z. A Novel Fault Diagnosis Method of Rolling Bearing Based on Integrated Vision Transformer Model. Sensors. 2022; 22(10):3878. https://doi.org/10.3390/s22103878
Chicago/Turabian StyleTang, Xinyu, Zengbing Xu, and Zhigang Wang. 2022. "A Novel Fault Diagnosis Method of Rolling Bearing Based on Integrated Vision Transformer Model" Sensors 22, no. 10: 3878. https://doi.org/10.3390/s22103878
APA StyleTang, X., Xu, Z., & Wang, Z. (2022). A Novel Fault Diagnosis Method of Rolling Bearing Based on Integrated Vision Transformer Model. Sensors, 22(10), 3878. https://doi.org/10.3390/s22103878

