A Talk-Listen-Ack Beaconing Strategy for Neighbor Discovery Protocols in Wireless Sensor Networks
Abstract
:1. Introduction
2. Related Works
3. Motivation
4. Talk-Listen-Ack Beaconing
5. Performance Analysis of TLA Beaconing
5.1. Two-Way Discovery Probability
- When , that is, varies from (a) to (b) shown in Figure 4, node B cannot receive the beacon from node A because node B’s radio is in transmitting state;
- When , i.e., varies from (b) to (c) shown in Figure 4, node A and B can receive each other’s beacons, and thus, 2-way discovery occurs;
- When , i.e., varies from (c) to (d) shown in Figure 4, node A cannot receive node B’s beacon.
- When , that is, varies from (a) to (b) shown in Figure 5, node A cannot receive the beacon from node B and vice versa because they are all in transmitting state;
- When , i.e., varies from (b) to (c) shown in Figure 5, node A can receive the beacon from node B, and node B can receive the acknowledgement from node A. Note that, when node A receives the beacon from node B at the end of the active slot, it is allowed to complete the acknowledgement by slightly extending the active slot before going to sleep, as shown in Figure 5. Therefore, 2-way discovery occurs;
- When , i.e., varies from (c) to (d) shown in Figure 5, node A cannot receive node B’s beacon.
5.2. Random Backoff
6. Evaluation
6.1. Implementation
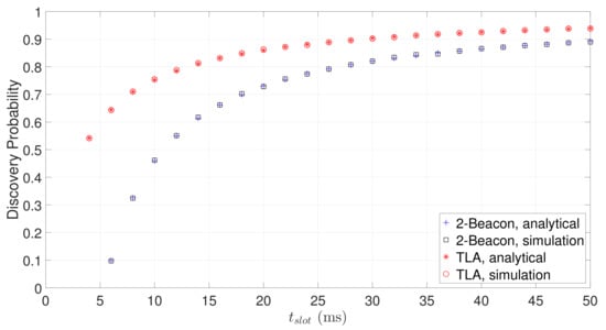
6.2. Simulation and Experimental Results
7. Discussion
8. Conclusions
Author Contributions
Funding
Institutional Review Board Statement
Informed Consent Statement
Data Availability Statement
Conflicts of Interest
References
- Sun, W.; Yang, Z.; Zhang, X.; Liu, Y. Energy-Efficient Neighbor Discovery in Mobile Ad Hoc and Wireless Sensor Networks: A Survey. IEEE Commun. Surv. Tutor. 2014, 16, 1448–1459. [Google Scholar] [CrossRef]
- Sun, X.; Lu, Z.; Zhang, X.; Salathé, M.; Cao, G. Infectious Disease Containment Based on a Wireless Sensor System. IEEE Access 2016, 4, 1558–1569. [Google Scholar] [CrossRef] [PubMed]
- McGlynn, M.J.; Borbash, S.A. Birthday protocols for low energy deployment and flexible neighbor discovery in ad hoc wireless networks. In Proceedings of the 2nd ACM International Symposium on Mobile Ad Hoc Networking & Computing, Long Beach, CA, USA, 4–5 October 2001. [Google Scholar]
- Dutta, P.; Culler, D. Practical asynchronous neighbor discovery and rendezvous for mobile sensing applications. In Proceedings of the 6th ACM Conference on Embedded Network Sensor Systems, Raleigh, NC, USA, 5–7 November 2008. [Google Scholar]
- Kandhalu, A.; Lakshmanan, K.; Rajkumar, R.R. U-connect: A Low-Latency Energy-Efficient Asynchronous Neighbor Discovery Protocol. In Proceedings of the 9th ACM/IEEE International Conference on Information Processing in Sensor Networks, Stockholm, Sweden, 12–16 April 2010. [Google Scholar]
- Bakht, M.; Trower, M.; Kravets, R.H. Searchlight: Won’t You Be My Neighbor? In Proceedings of the 18th Annual International Conference on Mobile Computing and Networking, Istanbul, Turkey, 22–26 August 2012. [Google Scholar]
- Sun, W.; Yang, Z.; Wang, K.; Liu, Y. Hello: A generic flexible protocol for neighbor discovery. In Proceedings of the IEEE International Conference on Computer Communications, Toronto, ON, Canada, 27 April–2 May 2014. [Google Scholar]
- Qiu, Y.; Li, S.; Xu, X.; Li, Z. Talk more listen less: Energy-efficient neighbor discovery in wireless sensor networks. In Proceedings of the IEEE International Conference on Computer Communications, San Francisco, CA, USA, 10–14 April 2016. [Google Scholar]
- Tseng, Y.; Hsu, C.; Hsieh, T. Power-saving protocols for IEEE 802.11-based multi-hop ad hoc networks. In Proceedings of the Annual Joint Conference of the IEEE Computer and Communications Societies, New York, NY, USA, 23–27 June 2002. [Google Scholar]
- Chen, L.; Fan, R.; Bian, K.; Gerla, M.; Wang, T.; Li, X. On heterogeneous neighbor discovery in wireless sensor networks. In Proceedings of the IEEE International Conference on Computer Communications, Hong Kong, China, 26 April–1 May 2015. [Google Scholar]
- Wei, L.; Zhou, B.; Ma, X.; Chen, D.; Zhang, J.; Peng, J.; Luo, Q.; Sun, L.; Li, D.; Chen, L. Lightning: A High-Efficient Neighbor Discovery Protocol for Low Duty Cycle WSNs. IEEE Commun. Lett. 2016, 20, 966–969. [Google Scholar] [CrossRef]
- Kindt, P.H.; Chakraborty, S. On optimal neighbor discovery. In Proceedings of the ACM Special Interest Group on Data Communication, Beijing, China, 19–23 August 2019. [Google Scholar]
- Wang, K.; Mao, X.; Liu, Y. BlindDate: A Neighbor Discovery Protocol. IEEE Trans. Parallel Distrib. Syst. 2015, 26, 949–959. [Google Scholar] [CrossRef]
- Kindt, P.H.; Saur, M.; Balszun, M.; Chakraborty, S. Neighbor Discovery Latency in BLE-Like Protocols. IEEE Trans. Mob. Comput. 2018, 17, 617–631. [Google Scholar] [CrossRef] [Green Version]
- Shen, Z.; Jiang, H.; Dong, Q.; Wang, B. Energy-Efficient Neighbor Discovery for the Internet of Things. IEEE Internet Things J. 2020, 7, 684–698. [Google Scholar] [CrossRef]
- Shen, Z.; Yang, Q.; Jiang, H. Multichannel Neighbor Discovery in Bluetooth Low Energy Networks: Modeling and Performance Analysis. IEEE Trans. Mob. Comput. 2021. [Google Scholar] [CrossRef]
- Chen, L.; Bian, K.; Zheng, M. Never Live Without Neighbors: From Single- to Multi-Channel Neighbor Discovery for Mobile Sensing Applications. IEEE/ACM Trans. Netw. 2016, 24, 3148–3161. [Google Scholar] [CrossRef]
- Karowski, N.; Viana, A.C.; Wolisz, A. Optimized Asynchronous Multichannel Discovery of IEEE 802.15.4-Based Wireless Personal Area Networks. IEEE Trans. Mob. Comput. 2013, 12, 1972–1985. [Google Scholar] [CrossRef] [Green Version]
- Zhang, D.; He, T.; Liu, Y.; Gu, Y.; Ye, F.; Ganti, R.K.; Lei, H. Acc: Generic On-Demand Accelerations for Neighbor Discovery in Mobile Applications. In Proceedings of the 10th ACM Conference on Embedded Network Sensor Systems, Toronto, ON, Canada, 6–9 November 2012. [Google Scholar]
- Meng, T.; Wu, F.; Chen, G. Code-Based Neighbor Discovery Protocols in Mobile Wireless Networks. IEEE/ACM Trans. Netw. 2016, 24, 806–819. [Google Scholar] [CrossRef]
- Jin, S.; Meng, X.; Wong, D.L.-K.; Leong, B.; Wang, Z.; Dong, Y.; Lu, D. Improving Neighbor Discovery by Operating at the Quantum Scale. In Proceedings of the 2018 IEEE 15th International Conference on Mobile Ad Hoc and Sensor Systems, Chengdu, China, 9–12 October 2018. [Google Scholar]
- Bian, K.; Zhang, Y.; Qiao, P.; Li, Z. Fine-grained collision mitigation control for neighbor discovery in wireless sensor networks. In Proceedings of the 2017 IEEE/CIC International Conference on Communications in China (ICCC), Qingdao, China, 22–24 October 2017. [Google Scholar]
- Yang, A.; Li, B.; Yan, Z.; Yang, M. A Bi-Directional Carrier Sense Collision Avoidance Neighbor Discovery Algorithm in Directional Wireless Ad Hoc Sensor Networks. Sensors 2019, 19, 2120. [Google Scholar] [CrossRef] [PubMed] [Green Version]
- Gu, Z.; Wang, Y.; Shi, W.; Tian, Z.; Ren, K.; Lau, F.C.M. A Practical Neighbor Discovery Framework for Wireless Sensor Networks. Sensors 2019, 19, 1887. [Google Scholar] [CrossRef] [PubMed] [Green Version]





















Publisher’s Note: MDPI stays neutral with regard to jurisdictional claims in published maps and institutional affiliations. |
© 2022 by the authors. Licensee MDPI, Basel, Switzerland. This article is an open access article distributed under the terms and conditions of the Creative Commons Attribution (CC BY) license (https://creativecommons.org/licenses/by/4.0/).
Share and Cite
Shen, Z.; Yao, Y.; Zhu, K.; Xiang, X. A Talk-Listen-Ack Beaconing Strategy for Neighbor Discovery Protocols in Wireless Sensor Networks. Sensors 2022, 22, 377. https://doi.org/10.3390/s22010377
Shen Z, Yao Y, Zhu K, Xiang X. A Talk-Listen-Ack Beaconing Strategy for Neighbor Discovery Protocols in Wireless Sensor Networks. Sensors. 2022; 22(1):377. https://doi.org/10.3390/s22010377
Chicago/Turabian StyleShen, Zhong, Yongkun Yao, Kun Zhu, and Xin Xiang. 2022. "A Talk-Listen-Ack Beaconing Strategy for Neighbor Discovery Protocols in Wireless Sensor Networks" Sensors 22, no. 1: 377. https://doi.org/10.3390/s22010377
APA StyleShen, Z., Yao, Y., Zhu, K., & Xiang, X. (2022). A Talk-Listen-Ack Beaconing Strategy for Neighbor Discovery Protocols in Wireless Sensor Networks. Sensors, 22(1), 377. https://doi.org/10.3390/s22010377

