Performance Improvement of Substrate Integrated Cavity Fed Dipole Array Antenna Using ENZ Metamaterial for 5G Applications
Abstract
1. Introduction
2. Circular SIC-Antenna Design
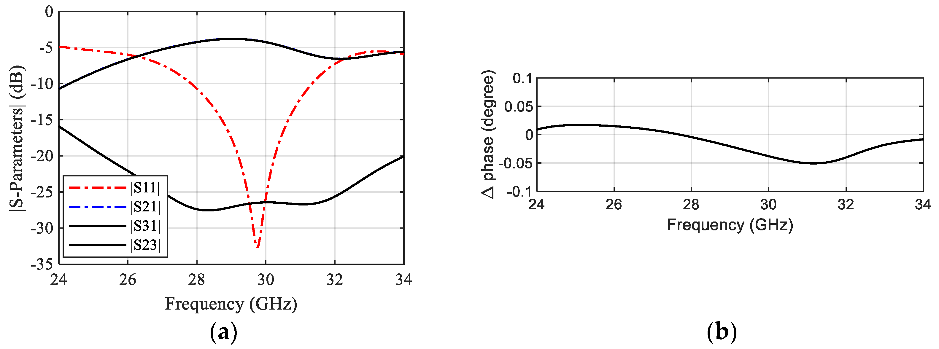
2.1. Circular SIC Power Splitter Design
2.2. Single Dipole Antenna Element
2.3. Dipole Antenna Array
3. Gain Enhancement with ENZ Unit Cell
3.1. Unit Cell Design
3.2. Circular SIC Antenna with ENZ Unit Cell Design
4. Measurement Results
5. Conclusions
Author Contributions
Funding
Institutional Review Board Statement
Informed Consent Statement
Data Availability Statement
Conflicts of Interest
References
- ITU. 5G—Fifth Generation of Mobile Technologies. 2019. Available online: https://www.itu.int/en/mediacentre/backgrounders/Pages/5Gfifth-generation-of-mobile-technologies.aspx (accessed on 1 December 2021).
- Zhang, J.; Ge, X.; Li, Q.; Guizani, M.; Zhang, Y. 5G millimeter-wave antenna array: Design and challenges. IEEE Wirel. Commun. 2016, 24, 106–112. [Google Scholar] [CrossRef]
- Abd El-Hameed, A.S.; Barakat, A.; Abdel-Rahman, A.B.; Allam, A.; Pokharel, R.K.; Yoshitomi, K. Broadband printed-dipole antenna for future 5G applications and wireless communication. In Proceedings of the 2018 IEEE Radio and Wireless Symposium (RWS), Anaheim, CA, USA, 15–18 January 2018; pp. 106–108. [Google Scholar]
- Liao, C.T.; Yang, Z.K.; Chen, H.M. Multiple Integrated Antennas for Wearable Fifth-Generation Communication and Internet of Things Applications. IEEE Access 2021, 9, 120328–120346. [Google Scholar] [CrossRef]
- Guo, J.; Liao, S.; Xue, Q.; Xiao, S. Planar aperture antenna with high gain and high aperture efficiency for 60-GHz applications. IEEE Trans. Antennas Propag. 2017, 65, 6262–6273. [Google Scholar] [CrossRef]
- Dahri, M.H.; Jamaluddin, M.H.; Khalily, M.; Abbasi, M.I.; Selvaraju, R.; Kamarudin, M.R. Polarization diversity and adaptive beamsteering for 5G reflectarrays: A review. IEEE Access 2018, 6, 19451–19464. [Google Scholar] [CrossRef]
- Elsharkawy, R.R.; Hindy, M.; Saleeb, A.A.; El-Rabaie, E.S.M. A Reflectarray with octagonal unit cells for 5-G applications. Wirel. Pers. Commun. 2017, 97, 2999–3016. [Google Scholar] [CrossRef]
- Zhu, Q.; Ng, K.B.; Chan, C.H.; Luk, K.M. Substrate-integrated-waveguide-fed array antenna covering 57–71 GHz band for 5G applications. IEEE Trans. Antennas Propag. 2017, 65, 6298–6306. [Google Scholar] [CrossRef]
- Lian, J.W.; Ban, Y.L.; Yang, Q.L.; Fu, B.; Yu, Z.F.; Sun, L.K. Planar millimeter-wave 2-D beam-scanning multibeam array antenna fed by compact SIW beam-forming network. IEEE Trans. Antennas Propag. 2018, 66, 1299–1310. [Google Scholar] [CrossRef]
- Zhu, W.; Wang, J.; Zhang, X.; Lv, W.; Liao, B.; Zhu, Y.; Wang, Y. A 24–28-GHz Four-Element Phased-Array Transceiver Front End With 21.1%/16.6% Transmitter Peak/OP1dB PAE and Subdegree Phase Resolution Supporting 2.4 Gb/s in 256-QAM for 5-G Communications. IEEE Trans. Microw. Theory Tech. 2021, 69, 2854–2869. [Google Scholar] [CrossRef]
- Zhu, S.; Liu, H.; Chen, Z.; Wen, P. A compact gain-enhanced Vivaldi antenna array with suppressed mutual coupling for 5G mmWave application. IEEE Antennas Wirel. Propag. Lett. 2018, 17, 776–779. [Google Scholar] [CrossRef]
- Ren, X.; Lin, Q.; Wong, H.; He, W. A Compact Gradient Refractive Index Metamaterial Lens for End-Fire Fan-Beam Radiation. IEEE Antennas Wirel. Propag. Lett. 2021, 20, 1–5. [Google Scholar] [CrossRef]
- Mark, R.; Singh, H.V.; Mandal, K.; Das, S. Mutual coupling reduction using near-zero ε and μ metamaterial-based superstrate for an MIMO application. IET Microw. Antennas Propag. 2020, 14, 479–484. [Google Scholar] [CrossRef]
- Cheng, C.; Lu, Y.; Zhang, D.; Ruan, F.; Li, G. Gain enhancement of terahertz patch antennas by coating epsilon-near-zero metamaterials. Superlattices Microstruct. 2020, 139, 106390. [Google Scholar] [CrossRef]
- Jiang, H.; Si, L.M.; Hu, W.; Lv, X. A symmetrical dual-beam bowtie antenna with gain enhancement using metamaterial for 5G MIMO applications. IEEE Photonics J. 2019, 11, 1–9. [Google Scholar] [CrossRef]
- Dixit, A.S.; Kumar, S. The enhanced gain and cost-effective antipodal Vivaldi antenna for 5G communication applications. Microw. Opt. Technol. Lett. 2020, 62, 2365–2374. [Google Scholar] [CrossRef]
- Ali, I.; Jamaluddin, M.H.; Gaya, A.; Rahim, H.A. A dielectric resonator antenna with enhanced gain and bandwidth for 5G applications. Sensors 2020, 20, 675. [Google Scholar] [CrossRef] [PubMed]
- Liu, H.; Qing, A.; Wu, B.; Xu, Z. Low-profile hexagonal SIW cavity slot antenna with enhanced gain by using quasi-TM310 mode. IET Microw. Antennas Propag. 2020, 14, 629–633. [Google Scholar] [CrossRef]
- Khattak, M.A.; Khattak, M.I.; Owais, S.M.; Khattak, A.A.; Sultan, A. Design and analysis of millimeter wave dielectric resonator antenna for 5G wireless communication systems. Prog. Electromagn. Res. C 2020, 98, 239–255. [Google Scholar]
- Khalid, M.; Iffat Naqvi, S.; Hussain, N.; Rahman, M.; Mirjavadi, S.S.; Khan, M.J.; Amin, Y. 4-Port MIMO antenna with defected ground structure for 5G millimeter wave applications. Electronics 2020, 9, 71. [Google Scholar] [CrossRef]
- Chen, Z.; Liu, H.; Yu, J.; Chen, X. High gain, broadband and dual-polarized substrate integrated waveguide cavity-backed slot antenna array for 60 GHz band. IEEE Access 2018, 6, 31012–31022. [Google Scholar] [CrossRef]
- Chen, X.P.; Wu, K. Low-loss ultra-wideband transition between conductor-backed coplanar waveguide and substrate integrated waveguide. In Proceedings of the 2009 IEEE MTT-S International Microwave Symposium Digest, Boston, MA, USA, 7–12 June 2009; pp. 349–352. [Google Scholar]
- Mao, C.X.; Khalily, M.; Xiao, P.; Brown, T.W.; Gao, S. Planar sub-millimeter-wave array antenna with enhanced gain and reduced sidelobes for 5G broadcast applications. IEEE Trans. Antennas Propag. 2018, 67, 160–168. [Google Scholar] [CrossRef]
- Tien, C.C.; Tzuang, C.K.; Peng, S.T.; Chang, C.C. Transmission characteristics of finite-width conductor-backed coplanar waveguide. IEEE Trans. Microw. Theory Tech. 1993, 41, 1616–1624. [Google Scholar] [CrossRef][Green Version]
- Jiang, S.; Chen, Q.; Fan, Y. A compact ku-band filter based on substrate integrated circular cavity. In Proceedings of the 2010 International Symposium on Intelligent Signal Processing and Communication Systems, Chengdu, China, 6–8 December 2010; pp. 1–3. [Google Scholar]
- Jamshidi, M.B.; Roshani, S.; Talla, J.; Roshani, S.; Peroutka, Z. Size reduction and performance improvement of a microstrip Wilkinson power divider using a hybrid design technique. Sci. Rep. 2021, 11, 1–15. [Google Scholar] [CrossRef] [PubMed]
- Abd El-Hameed, A.S.; Barakat, A.; Abdel-Rahman, A.B.; Allam, A. Design of Low-Loss Coplanar Transmission Lines Using Distributed Loading for Millimeter-Wave Power Divider/Combiner Applications in 0.18-µm CMOS Technology. IEEE Trans. Microw. Theory Tech. 2018, 66, 5221–5229. [Google Scholar] [CrossRef]
- Compton, R.I.C.H.A.R.D.C.; McPhedran, R.O.S.S.C.; Popovic, Z.; Rebeiz, G.A.B.R.I.E.L.M.; Tong, P.; Rutledge, D. Bow-tie antennas on a dielectric half-space: Theory and experiment. IEEE Trans. Antennas Propag. 1987, 35, 622–631. [Google Scholar] [CrossRef]
- El-Nady, S.; Zamel, H.M.; Hendy, M.; Zekry, A.A.; Attiya, A. Gain enhancement of a millimeter wave antipodal vivaldi antenna by epsilon-near-zero metamaterial. Prog. Electromagn. Res. C 2018, 85, 105–116. [Google Scholar] [CrossRef]
- Chen, X.; Grzegorczyk, T.M.; Wu, B.I.; Pacheco, J., Jr.; Kong, J.A. Robust method to retrieve the constitutive effective parameters of metamaterials. Phys. Rev. E 2004, 70, 016608. [Google Scholar] [CrossRef]
- Mayhew-Ridgers, G.; Van Jaarsveld, P.A.; Odendaal, J.W.; Joubert, J. Accurate gain measurements for large antennas using modified gain-transfer method. IEEE Antennas Wirel. Propag. Lett. 2014, 13, 369–371. [Google Scholar] [CrossRef]

















| W | L | Y | Li | x |
|---|---|---|---|---|
| 8.5 | 8.5 | 0.57 | 1.05 | 1.09 |
| L1 | W1 | g | S | b | c | a | ||
|---|---|---|---|---|---|---|---|---|
| 2.5 | 2.5 | 2.04 | 0.629 | 0.716 | 0.26 | 0.456 | 0.228 | 0.85 |
| Ref. | Technique | Dielectric Constant | Bandwidth (GHz) | Gain (dBi) Min.–Max. | |
|---|---|---|---|---|---|
| [11] | Array structure | 28.823 × 60 × 0.787 (3.1 ) | 2.2 | 24.6–28.5 | 8–11.2 |
| [15] | HRI metamaterial | 30.5 × 30 × 0.508 (0.99 ) | 2.2 | 24.5–27.5 | 5.8–7.4 |
| [17] | High order mode DRA | 20 × 20 × 20 (3.56 ) | 2.2 | 14.1–16.5 | 9–10.4 |
| [16] | Metamaterial | 40 × 24 × 1.6 (13.88 ) | 4.4 | 24.8–34.52 | 5–9.53 |
| [19] | Stacked radiator | 13 × 11.25 × 1.787 (0.85 ) | 2.2 | 5G–multiband | N.M–7.6 |
| [20] | DGS | 30 × 35 × 0.76 (4.3 ) | 3.66 | 25.5–29.6 | N.M–8.3 |
| [18] | Exciting of quasi-TM 310 | 26.416 × 26.416 × 0.508 (0.14 ) | 2.2 | 14.93–15.13 | N.M–10.74 |
| This work | SIC Power splitter and ENZ metamaterial | 8.5 × 8.5 × 5.5 (2.5 ) | 3.6 | 28.5–30.5 | 10–11 |
Publisher’s Note: MDPI stays neutral with regard to jurisdictional claims in published maps and institutional affiliations. |
© 2021 by the authors. Licensee MDPI, Basel, Switzerland. This article is an open access article distributed under the terms and conditions of the Creative Commons Attribution (CC BY) license (https://creativecommons.org/licenses/by/4.0/).
Share and Cite
El-Nady, S.; Elsharkawy, R.R.; Afifi, A.I.; Abd El-Hameed, A.S. Performance Improvement of Substrate Integrated Cavity Fed Dipole Array Antenna Using ENZ Metamaterial for 5G Applications. Sensors 2022, 22, 125. https://doi.org/10.3390/s22010125
El-Nady S, Elsharkawy RR, Afifi AI, Abd El-Hameed AS. Performance Improvement of Substrate Integrated Cavity Fed Dipole Array Antenna Using ENZ Metamaterial for 5G Applications. Sensors. 2022; 22(1):125. https://doi.org/10.3390/s22010125
Chicago/Turabian StyleEl-Nady, Shaza, Rania R. Elsharkawy, Asmaa I. Afifi, and Anwer S. Abd El-Hameed. 2022. "Performance Improvement of Substrate Integrated Cavity Fed Dipole Array Antenna Using ENZ Metamaterial for 5G Applications" Sensors 22, no. 1: 125. https://doi.org/10.3390/s22010125
APA StyleEl-Nady, S., Elsharkawy, R. R., Afifi, A. I., & Abd El-Hameed, A. S. (2022). Performance Improvement of Substrate Integrated Cavity Fed Dipole Array Antenna Using ENZ Metamaterial for 5G Applications. Sensors, 22(1), 125. https://doi.org/10.3390/s22010125

