An Explainable Machine Learning Approach Based on Statistical Indexes and SVM for Stress Detection in Automobile Drivers Using Electromyographic Signals
Abstract
1. Introduction
2. Materials and Methods
2.1. Employed Dataset
2.2. Preparation of the EMG Signals
3. Methodology
3.1. Normalization
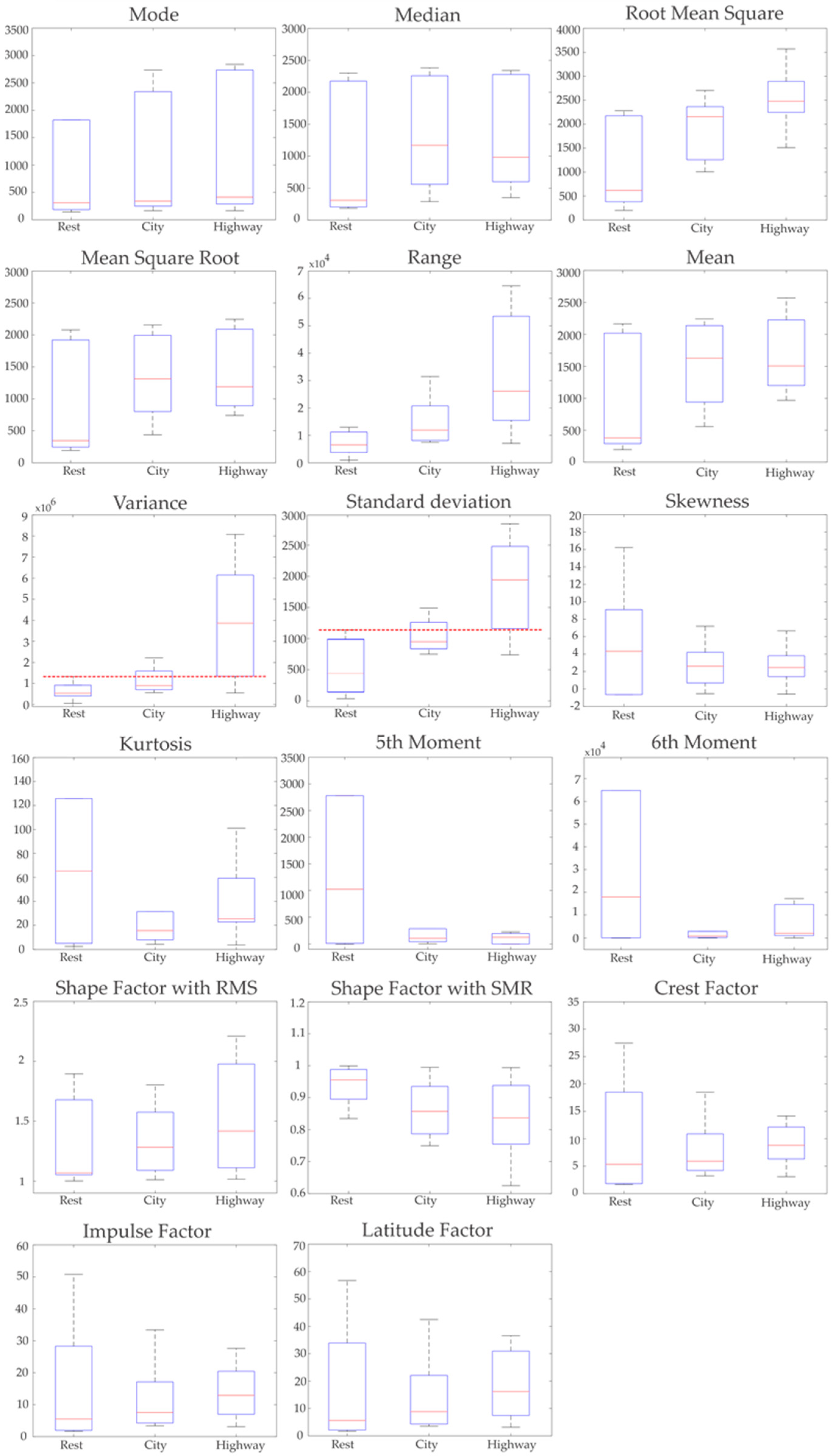
3.2. Statistical Time Features
3.3. Kruskal-Wallis Method
3.4. Support Vector Machine
4. Results
5. Discussion
6. Conclusions
Author Contributions
Funding
Institutional Review Board Statement
Informed Consent Statement
Data Availability Statement
Conflicts of Interest
References
- Alić, B.; Sejdinović, D.; Gurbeta, L.; Badnjevic, A. Classification of stress recognition using Artificial Neural Network. In Proceedings of the 5th Mediterranean Conference on Embedded Computing (MECO), Bar, Montenegro, 12–16 June 2016; pp. 97–300. [Google Scholar] [CrossRef]
- Rigas, G.; Goletsis, Y.; Fotiadis, D.I. Real-time driver’s stress event detection. IEEE Trans. Intell. Transp. Sys. 2011, 13, 221–234. [Google Scholar] [CrossRef]
- Useche, S.A.; Ortiz, V.G.; Cendales, B.E. Stress-related psychosocial factors at work, fatigue, and risky driving behavior in bus rapid transport (BRT) drivers. Accid. Anal. Prev. 2017, 104, 106–114. [Google Scholar] [CrossRef]
- Bartone, P.T. Predictors of stress-related illness in city bus drivers. J. Occup. Med. 1989, 31, 657–663. [Google Scholar] [CrossRef] [PubMed]
- Useche, S.; Serge, A.; Alonso, F. Risky Behaviors and Stress Indicators between Novice and Experienced Drivers. Am. J. Appl. Psychol. 2015, 3, 11–14. [Google Scholar]
- Kompier, M.A.; Di Martino, V. Review of bus drivers’ occupational stress and stress prevention. Stress Med. 1995, 11, 253–262. [Google Scholar] [CrossRef]
- Schießl, C. Stress and strain while driving. In Proceedings of the Young Researchers Seminar-European Conference of Transport Research Institutes, Brno, Czech Republic, 27–30 May 2007; pp. 27–30. [Google Scholar]
- Wiesenthal, D.L.; Hennessy, D.A.; Totten, B. The influence of music on driver stress. J. Appl. Soc. Psychol. 2000, 30, 1709–1719. [Google Scholar] [CrossRef]
- Ghandour, R.; Neji, B.; El-Rifaie, A.M.; Al Barakeh, Z. Driver distraction and stress detection systems: A review. Int. J. Appl. Sci. Eng. 2020, 7, 39–46. [Google Scholar] [CrossRef]
- Healey, J.A.; Picard, R.W. Detecting stress during real-world driving tasks using physiological sensors. IEEE Trans. Intell. Transp. Sys. 2005, 6, 156–166. [Google Scholar] [CrossRef]
- World Health Organization. Global Status Report on Road Safety 2018; WHO: Geneva, Switzerland, 2018. [Google Scholar]
- Valtierra-Rodriguez, M.; Rivera-Guillen, J.R.; Basurto-Hurtado, J.A.; De-Santiago-Perez, J.J.; Granados-Lieberman, D.; Amezquita-Sanchez, J.P. Convolutional Neural Network and Motor Current Signature Analysis during the Transient State for Detection of Broken Rotor Bars in Induction Motors. Sensors 2020, 20, 3721. [Google Scholar] [CrossRef] [PubMed]
- Nath, R.K.; Thapliyal, H.; Caban-Holt, A.; Mohanty, S.P. Machine Learning Based Solutions for Real-Time Stress Monitoring. IEEE Consum. Electron. Mag. 2020, 9, 34–41. [Google Scholar] [CrossRef]
- Munla, N.; Khalil, M.; Shanin, A.; Mourad, A. Driver Stress Level Detection Using HRV Analysis. In Proceedings of the International Conference Advances in Biomedical Engineering (ICABME), Beirut, Lebanon, 16–18 September 2015; pp. 61–64. [Google Scholar] [CrossRef]
- Rizwan, M.F.; Farhad, R.; Mashuk, F.; Islam, F.; Imam, M.H. Design of a bio signal-based stress detection system using machine learning techniques. In Proceedings of the 2019 International Conference on Robotics, Electrical and Signal Processing Techniques (ICREST), Dhaka, Bangladesh, 10–12 January 2019; pp. 364–368. [Google Scholar] [CrossRef]
- Wang, K.; Guo, P. An Ensemble Classification Model with Unsupervised Representation Learning for Driving stress Recognition Using Physiological Signals. IEEE Trans. Intell. Transp. 2020, 1–13. [Google Scholar] [CrossRef]
- Chui, K.T.; Lytras, M.D.; Liu, R.W. A Generic Design of Driver Drowsiness and Stress Recognition Using MOGA Optimized Deep MKL-SVM. Sensors 2020, 20, 1474. [Google Scholar] [CrossRef]
- Cruz, A.P.; Pradeep, A.; Sivasankar, K.R.; Krishnaveni, K.S. A Decision Tree Optimized SVM Model for Stress Detection using Biosignals. In Proceedings of the 2020 International Conference on Communication and Signal Processing (ICCSP), Chennain, India, 28–30 July 2020; pp. 841–845. [Google Scholar] [CrossRef]
- Wang, K.; Murphey, Y.L.; Zhou, Y.; Hu, X.; Zhang, X. Detection of driver stress in real-world driving environment using physiological signals. In Proceedings of the 2019 IEEE 17th International Conference on Industrial Informatics (INDIN), Helsinki-Espoo, Finland, 22–25 July 2019; pp. 1807–1814. [Google Scholar] [CrossRef]
- Zontone, P.; Affanni, A.; Bernardini, R.; Piras, A.; Rinaldo, R. Stress detection through electrodermal activity (EDA) and electrocardiogram (ECG) analysis in car drivers. In Proceedings of the 2019 27th European Signal Processing Conference (EUSIPCO), A Coruña, Spain, 2–6 September 2019; pp. 1–5. [Google Scholar] [CrossRef]
- Soto, C.D. ECG: Essentials of Electrocardiography, 1st ed.; Cengage Learning: Boston, MA, USA, 2017; pp. 194–199. [Google Scholar]
- Vargas-Lopez, O.; Amezquita-Sanchez, J.P.; De-Santiago-Perez, J.J.; Rivera-Guillen, J.R.; Valtierra-Rodriguez, M.; Toledano-Ayala, M.; Perez-Ramirez, C.A. A New Methodology Based on EMD and Nonlinear Measurements for Sudden Cardiac Death Detection. Sensors 2020, 20, 9. [Google Scholar] [CrossRef]
- Sedano, J.; Chira, C.; González, J.; Villar, J.R. Intelligent system for measuring stress: STRESSTIC. DYNA Ing. Ind. 2012, 87, 336–344. [Google Scholar] [CrossRef]
- Chang, K.-M.; Liu, S.-H.; Wu, X.-H. A Wireless sEMG Recording System and Its Application to Muscle Fatigue Detection. Sensors 2012, 12, 489–499. [Google Scholar] [CrossRef] [PubMed]
- Andreasen, D.S.; Alien, S.K.; Backus, D.A. Exoskeleton with EMG based active assistance for rehabilitation. In Proceedings of the International Conference on Rehabilitation Robotics (ICORR), Chicago, IL, USA, 28 June–1 July 2005; pp. 33–336. [Google Scholar] [CrossRef]
- Katsis, C.D.; Katertsidis, N.; Ganiatsas, G.; Fotiadis, D.I. Toward Emotion Recognition in Car-Racing Drivers: A Biosignal Processing Approach. IEEE Trans. Sys, Man. Cybern. 2008, 38, 502–512. [Google Scholar] [CrossRef]
- Fu, R.; Wang, H. Detection of driving fatigue by using noncontact EMG and ECG signals measurement system. Int. J. Neural Sys. 2014, 24, 1450006. [Google Scholar] [CrossRef] [PubMed]
- Tian, Y.; Luo, P.; Wang, X.; Tang, X. Deep Learning Strong Parts for Pedestrian Detection. In Proceedings of the 2015 IEEE International Conference on Computer Vision (ICCV), Santiago, Chile, 7–13 December 2015; pp. 1904–1912. [Google Scholar] [CrossRef]
- Kooi, T.; Litjens, G.; van Ginneken, B.; Gubern-Merida, A.; Sanchez, C.I.; Mann, R.; den Heeten, A.; Karssemeijer, N. Large scale deep learning for computer aided detection of mammographic lesions. Medical Image Ana. 2017, 35, 303–312. [Google Scholar] [CrossRef]
- Rastgoo, M.N.; Nakisa, B.; Maire, F.; Rakotonirainy, A.; Chandran, V. Automatic Driver Stress Level Classification Using Multimodal Deep Learning. Expert Syst. Appl. 2019, 138, 112793. [Google Scholar] [CrossRef]
- Zheng, Q.; Zhao, P.; Li, Y.; Wang, H.; Yang, Y. Spectrum interference-based two-level data augmentation method in deep learning for automatic modulation classification. Neural Comput. Applic. 2020, 1–23. [Google Scholar] [CrossRef]
- Bartsch, R.P.; Liu, K.K.L.; Bashan, A.; Ivanov, P.C. Network Physiology: How Organ Systems Dynamically Interact. PLoS ONE 2015, 10, e0142143. [Google Scholar] [CrossRef] [PubMed]
- Perez-Sanchez, A.V.; Perez-Ramirez, C.A.; Valtierra-Rodriguez, M.; Dominguez-Gonzalez, A.; Amezquita-Sanchez, J.P. Wavelet Transform-Statistical Time Features-Based Methodology for Epileptic Seizure Prediction Using Electrocardiogram Signals. Mathematics 2020, 8, 2125. [Google Scholar] [CrossRef]
- Yanez-Borjas, J.J.; Valtierra-Rodriguez, M.; Camarena-Martinez, D.; Amezquita-Sanchez, J.P. Statistical time features for global corrosion assessment in a truss bridge from vibration signals. Measurement 2020, 160, 107858. [Google Scholar] [CrossRef]
- Saucedo-Dorantes, J.J.; Delgado-Prieto, M.; Osornio-Rios, R.A.; de Jesus Romero-Troncoso, R. Multifault diagnosis method applied to an electric machine based on high-dimensional feature reduction. IEEE Trans. Ind. Appl. 2016, 53, 3086–3097. [Google Scholar] [CrossRef]
- Xia, Y.; Gao, Q.; Ye, Q. Classification of gait rhythm signals between patients with neuro-degenerative diseases and normal subjects: Experiments with statistical features and different classification models. Biomed. Signal Process. Control 2015, 254–262. [Google Scholar] [CrossRef]
- Hassan, A.R.; Hassan, M.I. Automatic sleep scoring using statistical features in the EMD domain and ensemble methods. Biocybernet. Biomed. Eng. 2016, 36, 248–255. [Google Scholar] [CrossRef]
- Anuragi, A.; Singh, A. Alcohol use disorder detection using EEG Signal features and flexible analytical wavelet transform. Biomed. Signal Process. Control 2019, 52, 384–393. [Google Scholar] [CrossRef]
- Moguerza, J.M.; Muñoz, A. Support Vector Machines with Applications. Stat. Sci. 2006, 21, 322–336. [Google Scholar] [CrossRef]
- El Haouij, N.; Poggi, J.M.; Ghozi, R.; Sevestre-Ghalila, S.; Jaïdane, M. Random forest-based approach for physiological functional variable selection for driver’s stress level classification. Stat. Methods Appl. 2019, 28, 157–185. [Google Scholar] [CrossRef]
- Cacioppo, J.T.; Tassinary, L.G. Inferring psychological significance from physiological signals. Am. Psychol. 1990, 45, 16–28. [Google Scholar] [CrossRef] [PubMed]
- Wang, J.S.; Lin, C.W.; Yang, Y.T.C. A k-nearest-neighbor classifier with heart rate variability feature-based transformation algorithm for driving stress recognition. Neurocomputing 2013, 116, 136–143. [Google Scholar] [CrossRef]
- Zhang, L.; Tamminedi, T.; Ganguli, A.; Yosiphon, G.; Yadegar, J. Hierarchical multiple sensor fusion using structurally learned Bayesian network. In Wireless Health 2010 (WH ’10); Association for Computing Machinery: New York, NY, USA, 2010; pp. 174–183. [Google Scholar] [CrossRef]
- De Luca, C. The use of surface electromyography in biomechanics. J. Appl. Sci. 1997, 13, 135–163. [Google Scholar] [CrossRef]
- Wang, X.; Zheng, Y.; Zhao, Z.; Wang, J. Bearing fault diagnosis based on statistical locally linear embedding. Sensors 2015, 15, 16225–16247. [Google Scholar] [CrossRef]
- Kruskal, W.H.; Wallis, W.A. Use of ranks in one-criterion variance analysis. J. Am. Stat. Assoc. 1952, 47, 583–621. [Google Scholar] [CrossRef]
- Bajaj, V.; Taran, S.; Khare, S.K.; Sengur, A. Feature extraction method for classification of alertness and drowsiness states EEG signals. Appl. Acoust. 2020, 163, 107224. [Google Scholar] [CrossRef]
- Morales, J.F.; Willems, R.; Van Huel, S.; Varon, C. Evaluation of the ECG Derived Respiration in the Presence of Irregular Heart Beats. In Proceedings of the 11th Conference of the European Study Group on Cardiovascular Oscillations (ESGCO), Pisa, Italy, 15 July 2020; pp. 20–21. [Google Scholar] [CrossRef]
- Bashar, S.K.; Bhuiyan, M.I.H. Classification of motor imagery movements using multivariate empirical mode decomposition and short time Fourier transform based hybrid method. Eng. Sci. Technol. 2016, 19, 1457–1464. [Google Scholar] [CrossRef]
- Van Hecke, T.V. Power study of ANOVA versus Kruskal-Wallis test. J. Stat. Manag. Syst. 2012, 15, 241–247. [Google Scholar] [CrossRef]
- Noble, W. What is a support vector machine? Nat. Biotechnol. 2006, 24, 1565–1567. [Google Scholar] [CrossRef]
- Ben-Hur, A.; Ong, C.S.; Sonnenburg, S.; Schölkopf, B.; Rätsch, G. Support Vector Machines and Kernels for Computational Biology. PLoS Comput. Biol. 2008, 4. [Google Scholar] [CrossRef]
- Gupta, V.; Bhavsar, A. Breast Cancer Histopathological Image Classification: Is Magnification Important? In Proceedings of the IEEE Conference on Computer Vision and Pattern Recognition Workshops (CVPRW), Honolulu, HI, USA, 21–26 July 2017; pp. 769–776. [Google Scholar] [CrossRef]
- Lucas, M.F.; Gaufriau, A.; Pascual, S.; Doncarli, C.; Farina, D. Multi-channel surface EMG classification using support vector machines and signal-based wavelet optimization. Biomed. Signal Process. Control 2008, 3, 169–174. [Google Scholar] [CrossRef]
- Suthaharan, S. Support vector machine. In Machine Learning Models and Algorithms for Big Data Classification; Springer: Boston, MA, USA, 2016; pp. 207–235. [Google Scholar] [CrossRef]
- Schölkopf, B.; Smola, A. Learning with Kernels; MIT Press: Cambridge, MA, USA, 2002. [Google Scholar]
- Pavlidis, P.; Wapinski, I.; Noble, W.S. Support vector machine classification on the web. Bioinformatics 2004, 20, 586–587. [Google Scholar] [CrossRef] [PubMed]
- Virdi, P.; Narayan, Y.; Kumari, P.; Mathew, L. Discrete wavelet packet-based elbow movement classification using fine Gaussian SVM. In Proceedings of the IEEE 1st International Conference on Power Electronics, Intelligent Control, and Energy Systems (ICPEICES), Delhi, India, 4–6 July 2016; pp. 1–5. [Google Scholar] [CrossRef]
- Akhbardeh, F.; Vasefi, F.; MacKinnon, N.; Amini, M.; Akhbardeh, A.; Tavakolian, K. Classification and Assessment of Hand Arthritis Stage using Support Vector Machine. In Proceedings of the International Conference of the IEEE Engineering in Medicine and Biology Society (EMBC), Berlin, Germany, 23–27 July 2019; pp. 4080–4083. [Google Scholar] [CrossRef]
- Luor, D.-C. A comparative assessment of data standardization on support vector machine for classification problems. Int. Data Anal. 2015, 19, 529–546. [Google Scholar] [CrossRef]
- Kumar Thukral, A.; Bhardwaj, R.; Kumar, V.; Sharma, A. New indices regarding the dominance and diversity of communities, derived from sample variance and standard deviation. Heliyon 2019, 5, e02606. [Google Scholar] [CrossRef] [PubMed]
- Kecman, V.; Huang, T.M.; Vogt, M. Iterative Single Data Algorithm for Training Kernel Machines from Huge Data Sets: Theory and Performance. In Support Vector Machines: Theory and Applications; Wang, L., Ed.; Springer: Berlin/Heidelberg, Germany, 2005; Volume 177, pp. 255–274. [Google Scholar] [CrossRef]
- Hagan, M.T.; Demuth, H.B.; Beale, M.H. Neural Network Design; PWS Publishing: Boston, MA, USA, 1996. [Google Scholar]
- Bradley, A.P. The use of the area under the ROC curve in the evaluation of machine learning algorithms. Pattern Recognit. 1997, 30, 1145–1159. [Google Scholar] [CrossRef]
- Wang, L.; Yang, B.; Chen, Y.; Zhang, X.; Orchard, J. Improving Neural-Network Classifiers Using Nearest Neighbor Partitioning. IEEE Trans. Neur. Net. 2017, 28, 2255–2267. [Google Scholar] [CrossRef] [PubMed]
- Rayal, R.; Khanna, D.; Sandhu, J.K.; Hooda, N.; Rana, P. N-semble: Neural network-based ensemble approach. Int. J. Mach. Learn. Cyber 2019, 10, 337–345. [Google Scholar] [CrossRef]
- Martinez-Garcia, M.; Kalawsky, R.S.; Gordon, T.; Smith, T.; Meng, Q.; Flemisch, F. Communication and interaction with semiautonomous ground vehicles by force control steering. IEEE Trans. Cybern. 2020, 1–12. [Google Scholar] [CrossRef]
- Hu, X.; Lodewijks, G. Detecting fatigue in car drivers and aircraft pilots by using non-invasive measures: The value of differentiation of sleepiness and mental fatigue. J. Saf. Res. 2020, 72, 173–187. [Google Scholar] [CrossRef]
- Mozer, M.C.; Jordan, M.I.; Petsche, T. Advances in Neural Information Processing Systems 9: Proceedings of the 1996 Conference; MIT Press: Cambridge, MA, USA, 1997; pp. 375–381. [Google Scholar]
- Cherkassky, V.; Ma, Y. Practical selection of SVM parameters and noise estimation for SVM regression. Neural Netw. 2004, 17, 113–126. [Google Scholar] [CrossRef]
- Cao, L.J.; Tay, F.E.H. Support vector machine with adaptive parameters in financial time series forecasting. IEEE Trans. Neur. Ne. 2003, 14, 1506–1518. [Google Scholar] [CrossRef]
- Ieracitano, C.; Mammone, N.; Hussain, A.; Morabito, F. A novel explainable machine learning approach for EEG-based brain-computer interface systems. Neural Comput. Appl. 2021. [Google Scholar] [CrossRef]
- Doborjeh, Z.; Doborjeh, M.; Crook-Rumsey, M.; Taylor, T.; Wang, G.Y.; Moreau, D.; Sumich, A. Interpretability of Spatiotemporal Dynamics of the Brain Processes Followed by Mindfulness Intervention in a Brain-Inspired Spiking Neural Network Architecture. Sensors 2020, 20, 7354. [Google Scholar] [CrossRef] [PubMed]
- Ramakrishnan, P.; Balasingam, B.; Biondi, F. Cognitive load estimation for adaptive human–machine system automation. In Learning Control, 1st ed.; Zhang, D., Wei, B., Eds.; Elsevier: Amsterdam, The Netherlands, 2021; pp. 35–58. [Google Scholar] [CrossRef]









| Participant | Duration (Hours: Minutes: Seconds) |
|---|---|
| 1 | 1:24:15.9 |
| 2 | 1:20:46.6 |
| 3 | 1:28:38.8 |
| 4 | 1:21:11.5 |
| 5 | 1:10:52.3 |
| 6 | 1:21:16.9 |
| 7 | 1:21:13.1 |
| 8 | 1:23:04.3 |
| 9 | 1:20:28.1 |
| 10 | 1:04:57.9 |
| Type | Kernel Used |
|---|---|
| Linear | - |
| Quadratic | Quadratic |
| Cubic | Cubic |
| Fine Gaussian | RBF scale set to |
| Medium Gaussian | RBF scale set to |
| Coarse Gaussian | RBF scale set to |
| Statistical Feature | p-Value |
|---|---|
| Mode | 0.0013 |
| Median | 7.04 × 10−6 |
| RMS | 6.21 × 10−4 |
| SMR | 6.37 × 10−7 |
| Range | 0.0017 |
| Mean | 2.61 × 10−6 |
| Variance | 1.11 × 10−6 |
| Standard deviation | 1.11 × 10−6 |
| Skewness | 0.42 |
| Kurtosis | 0.55 |
| 5th Moment | 0.16 |
| 6th Moment | 0.42 |
| Shape factor w/RMS | 0.91 |
| Shape factor w/SMR | 0.02 |
| Crest factor | 0.23 |
| Impulse factor | 0.39 |
| Latitude factor | 0.55 |
| SVM Kernel | Accuracy (%) | ||||
|---|---|---|---|---|---|
| 1 Min | 2 Min | 3 Min | 4 Min | 5 Min | |
| Linear | 66.7 | 56.7 | 70 | 73.3 | 80 |
| Quadratic | 63.3 | 63.3 | 70 | 76.7 | 78 |
| Cubic | 73.3 | 66.7 | 90 | 90 | 96 |
| Fine Gaussian | 60 | 56.7 | 66.7 | 66.7 | 80 |
| Medium Gaussian | 66.7 | 66.7 | 66.7 | 66.7 | 80 |
| Coarse Gaussian | 66.7 | 66.7 | 66.7 | 66.7 | 80 |
| Classifier | Accuracy | AUC |
|---|---|---|
| SVM | 96% | 0.97 |
| MLP | 83.3% | 0.84 |
| Author | Signals | Methodology | Accuracy |
|---|---|---|---|
| Katsis et al. (2008) [26] | EMG, ECG, EDA and Respiration |
| 79.3% |
| Fu and Wang (2014) [27] | EMG and ECG |
| 86.7% |
| Wang and Guo (2020) [16] | EMG |
| 58% |
| Rastgoo et al. [30] | ECG, vehicle and environmental data |
| 92.8% |
| El Haouij et al. [40] | EDA |
| 81% |
| Proposal | EMG |
| 96% |
Publisher’s Note: MDPI stays neutral with regard to jurisdictional claims in published maps and institutional affiliations. |
© 2021 by the authors. Licensee MDPI, Basel, Switzerland. This article is an open access article distributed under the terms and conditions of the Creative Commons Attribution (CC BY) license (https://creativecommons.org/licenses/by/4.0/).
Share and Cite
Vargas-Lopez, O.; Perez-Ramirez, C.A.; Valtierra-Rodriguez, M.; Yanez-Borjas, J.J.; Amezquita-Sanchez, J.P. An Explainable Machine Learning Approach Based on Statistical Indexes and SVM for Stress Detection in Automobile Drivers Using Electromyographic Signals. Sensors 2021, 21, 3155. https://doi.org/10.3390/s21093155
Vargas-Lopez O, Perez-Ramirez CA, Valtierra-Rodriguez M, Yanez-Borjas JJ, Amezquita-Sanchez JP. An Explainable Machine Learning Approach Based on Statistical Indexes and SVM for Stress Detection in Automobile Drivers Using Electromyographic Signals. Sensors. 2021; 21(9):3155. https://doi.org/10.3390/s21093155
Chicago/Turabian StyleVargas-Lopez, Olivia, Carlos A. Perez-Ramirez, Martin Valtierra-Rodriguez, Jesus J. Yanez-Borjas, and Juan P. Amezquita-Sanchez. 2021. "An Explainable Machine Learning Approach Based on Statistical Indexes and SVM for Stress Detection in Automobile Drivers Using Electromyographic Signals" Sensors 21, no. 9: 3155. https://doi.org/10.3390/s21093155
APA StyleVargas-Lopez, O., Perez-Ramirez, C. A., Valtierra-Rodriguez, M., Yanez-Borjas, J. J., & Amezquita-Sanchez, J. P. (2021). An Explainable Machine Learning Approach Based on Statistical Indexes and SVM for Stress Detection in Automobile Drivers Using Electromyographic Signals. Sensors, 21(9), 3155. https://doi.org/10.3390/s21093155

