Quantitative and Qualitative Running Gait Analysis through an Innovative Video-Based Approach
Abstract
1. Introduction
2. Materials and Methods
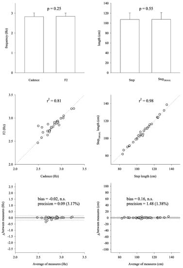
3. Results
4. Discussion
Author Contributions
Funding
Institutional Review Board Statement
Informed Consent Statement
Data Availability Statement
Conflicts of Interest
References
- Lindsay, T.R.; Yaggie, J.A.; McGregor, S.J. Contributions of lower extremity kinematics to trunk accelerations during moderate treadmill running. J. Neuroeng. Rehabil. 2014, 11, 162. [Google Scholar] [CrossRef]
- Buist, I.; Bredeweg, S.W.; Lemmink, K.; van Mechelen, W.; Diercks, R.L. Predictors of Running-Related Injuries in Novice Runners Enrolled in a Systematic Training Program A Prospective Cohort Study. Am. J. Sports Med. 2010, 38, 273–280. [Google Scholar] [CrossRef]
- Videbæk, S.; Bueno, A.M.; Nielsen, R.O.; Rasmussen, S. Incidence of Running-Related Injuries Per 1000 h of running in Different Types of Runners: A Systematic Review and Meta-Analysis. Sports Med. 2015, 45, 1017–1026. [Google Scholar] [CrossRef]
- Van Gent, R.N.; Siem, D.; Van Middeloop, M.; Van Os, A.G.; Bierma-Zeinstra, S.M.A.; Koes, B.W. Incidence and determinants of lower extremity running injuries in long distance runners: A systematic review. Sport En Geneeskunde 2007, 41, 469–480. [Google Scholar] [CrossRef] [PubMed]
- Hreljac, A. Etiology, prevention, and early intervention of overuse injuries in runners: A biomechanical perspective. Phys. Med. Rehabil. Clin. N. Am. 2005, 16, 651–667. [Google Scholar] [CrossRef]
- Bellanca, J.L.; Lowry, K.A.; Vanswearingen, J.M.; Brach, J.S.; Redfern, M.S. Harmonic Ratios: A quantification of step to step symmetry. J. Biomech. 2013, 46, 828–831. [Google Scholar] [CrossRef]
- Hafer, J.F.; Katherine, A.B. Variability of segment coordination using a vector coding technique: Reliability analysis for treadmill walking and running. Gait Posture 2017, 51, 222–227. [Google Scholar] [CrossRef]
- García-Pinillos, F.; Cartón-Llorente, A.; Jaén-Carrillo, D.; Delgado-Floody, P.; Carrasco-Alarcón, V.; Martínez, C.; Roche-Seruendo, L.E. Does fatigue alter step characteristics and stiffness during running? Gait Posture 2020, 76, 259–263. [Google Scholar] [CrossRef]
- Joseph, H.; Palmer, C.; Van Emmerik, R.E. Coordinative variability and overuse injury. Sports Med. Arthrosc. Rehabil. Ther. Technol. 2012, 4, 1–9. [Google Scholar]
- Yosuke, N.; Kudo, K.; Ohtsuki, T. Variability and fluctuation in running gait cycle of trained runners and non-runners. Gait Posture 2010, 31, 331–335. [Google Scholar]
- Derrick, T.R. The effects of knee contact angle on impact forces and accelerations. Med. Sci. Sports Exerc. 2004, 36, 832–837. [Google Scholar] [CrossRef]
- Meardon, S.A.; Hamill, J.; Timothy, R.D. Running injury and stride time variability over a prolonged run. Gait Posture 2011, 33, 36–40. [Google Scholar] [CrossRef]
- Souza, R.B. An evidence-based videotaped running biomechanics analysis. Phys. Med. Rehabil. Clin. 2016, 27, 217–236. [Google Scholar] [CrossRef]
- Gindre, C.; Lussiana, T.; Hebert-Losier, K.; Mourot, L. Aerial and terrestrial patterns: A novel approach to analyzing human running. Int. J. Sports Med. 2016, 37, 25–26. [Google Scholar] [CrossRef]
- Zhang, A.; Yang, S.; Zhang, X.; Zhang, J.; Zhang, W. Abnormal Gait Detection in Surveillance Videos with FFT-Based Analysis on Walking Rhythm. In Proceedings of the International Conference on Image and Graphics, Shanghai, China, 13–15 September 2017; Springer: Cham, Switzerland, 2017; pp. 108–117. [Google Scholar]
- Wren, T.A.L.; Gorton, G.E.; Õunpuu, S.; Tucker, C.A. Efficacy of clinical gait analysis: A systematic review. Gait Posture 2011, 34, 149–153. [Google Scholar] [CrossRef]
- Dicharry, J. Kinematics and kinetics of gait: From lab to clinic. Clin. Sports Med. 2010, 29, 347–364. [Google Scholar] [CrossRef]
- Chow, J.W.; Yablon, S.A.; Horn, T.S.; Stokic, D.S. Temporospatial characteristics of gait in patients with lower limb muscle hypertonia after traumatic brain injury. Brain Inj. 2010, 24, 1575–1584. [Google Scholar] [CrossRef]
- Alvaro, M.D.L.H.; Garcia-Zapirain, B.; Mendez-Zorrilla, A. Gait analysis methods: An overview of wearable and non-wearable systems, highlighting clinical applications. Sensors 2014, 14, 3362–3394. [Google Scholar]
- de Oliveira, F.C.L.; Fredette, A.; Echeverría, S.A.; Batcho, C.S.; Roy, J.-S. Validity and reliability of 2-dimensional video-based assessment to analyze foot strike pattern and step rate during running: A systematic review. Sports Health 2019, 11, 409–415. [Google Scholar] [CrossRef] [PubMed]
- García-Pinillos, F.; Jaén-Carrillo, D.; Hermoso, V.S.; Román, P.L.; Delgado, P.; Martinez, C.; Carton, A.; Seruendo, L.R. Agreement Between Spatiotemporal Gait Parameters Measured by a Markerless Motion Capture System and Two Reference Systems—A Treadmill-Based Photoelectric Cell and High-Speed Video Analyses: Comparative Study. JMIR mHealth uHealth 2020, 8, 19498. [Google Scholar] [CrossRef]
- Pipkin, A.; Kotecki, K.; Hetzel, S.; Heiderscheit, B. Reliability of a qualitative video analysis for running. J. Orthop. Sports Phys. Ther. 2016, 46, 556–561. [Google Scholar] [CrossRef]
- Gomez, G.; Khanna, M.; Gupta, A.; Nalini, A.; Thennarasu, K.; Nashi, S.; Polavarapu, K.; Vengalil, S. GNE myopathy—A cross-sectional study on spatio-temporal gait characteristics. Neuromuscul. Disord. 2019, 29, 961–967. [Google Scholar] [CrossRef]
- Petraglia, F.; Scarcella, L.; Pedrazzi, G.; Brancato, L.; Puers, R.; Costantino, C. Inertial sensors versus standard systems in gait analysis: A systematic review and meta-analysis. Eur. J. Phys. Rehabil. Med. 2019, 55, 265–280. [Google Scholar] [CrossRef]
- Colyer, S.L.; Evans, M.; Cosker, D.P.; Salo, A.I.T. A review of the evolution of vision-based motion analysis and the integration of advanced computer vision methods towards developing a markerless system. Sports Med. Open 2018, 4, 24. [Google Scholar] [CrossRef]
- García-Pinillos, F.; Latorre-Román, P.A.; Ramírez-Campillo, R.; Roche-Seruendo, L.E. Agreement between spatiotemporal parameters from a photoelectric system with different filter settings and high-speed video analysis during running on a treadmill at comfortable velocity. J. Biomech. 2019, 93, 213–219. [Google Scholar] [CrossRef]
- Lowry, K.A.; Smiley-Oyen, A.L.; Carrel, A.J.; Kerr, J.P. Walking stability using harmonic ratios in Parkinson’s disease. Mov. Disord. Off. J. Mov. Disord. Soc. 2009, 24, 261–267. [Google Scholar] [CrossRef]
- Iosa, M.; Bini, F.; Marinozzi, F.; Fusco, A.; Morone, G.; Koch, G.; Cinnera, A.M.; Bonnì, S.; Paolucci, S. Stability and harmony of gait in patients with subacute stroke. J. Med. Biol. Eng. 2016, 36, 635–643. [Google Scholar] [CrossRef]
- Stefanyshyn, D.J.; Stergiou, P.; Lun, V.M.Y.; Meeuwisse, W.H.; Worobets, J.T. Knee angular impulse as a predictor of patellofemoral pain in runners. Am. J. Sports Med. 2006, 34, 1844–1851. [Google Scholar] [CrossRef]
- Iosa, M.; Morelli, D.; Marro, T.; Paolucci, S.; Fusco, A. Ability and stability of running and walking in children with cerebral palsy. Neuropediatrics 2013, 44, 147–154. [Google Scholar]
- Radzak, K.N.; Putnam, A.M.; Tamura, T.; Hetzler, R.K.; Stickley, C.D. Asymmetry between lower limbs during rested and fatigued state running gait in healthy individuals. Gait Posture 2017, 51, 268–274. [Google Scholar] [CrossRef]
- Williams, G.K.R.; Vicinanza, D. Coordination in gait: Demonstration of a spectral approach. J. Sports Sci. 2018, 36, 1768–1775. [Google Scholar] [CrossRef]
- Kiely, J.; David, J.C. Uniqueness of human running coordination: The integration of modern and ancient evolutionary innovations. Front. Psychol. 2016, 7, 262. [Google Scholar] [CrossRef][Green Version]
- Bredeweg, S.W.; Kluitenberg, B.; Bessem, B.; Buist, L. Differences in kinetic variables between injured and noninjured novice runners: A prospective cohort study. J. Sci. Med. Sport 2013, 16, 205–210. [Google Scholar] [CrossRef] [PubMed]
- Simoni, L.; Scarton, A.; Gerli, F.; Macchi, C.; Gori, F.; Pasquini, G.; Pogliaghi, S. Testing the Performance of an Innovative Markerless Technique for Quantitative and Qualitative Gait Analysis. Sensors 2020, 20, 6654. [Google Scholar] [CrossRef] [PubMed]
- Simoni, L.; Pasquini, G.; Pancani, G.; Vannetti, F.; Macchi, S.; Pogliaghi, S. Time-course of running treadmill adaptation in novice treadmill runners. J. Sports Sci. 2020, 38, 2321–2328. [Google Scholar] [CrossRef] [PubMed]
- Simoni, L.; Pancani, S.; Vannetti, F.; Macchi, C.; Pasquini, G. Relationship between Lower Limb Kinematics and Upper Trunk Acceleration in Recreational Runners. J. Healthc. Eng. 2020. [Google Scholar] [CrossRef]
- Hart, J.M.; Kerrigan, D.C.; Fritz, J.M.; Ingersoll, C.D. Jogging kinematics after lumbar paraspinal muscle fatigue. J. Athl. Train. 2009, 44, 475–481. [Google Scholar] [CrossRef]
- Soares, T.S.A.; de Oliveira, C.F.; Pizzuto, F.; Garganta, R.M.; Vila-Boas, J.P.; da Anunciação Paiva, M.C. Acute kinematics changes in marathon runners using different footwear. J. Sports Sci. 2018, 36, 766–770. [Google Scholar] [CrossRef] [PubMed]
- Lee, M.M.; Song, C.H.; Lee, K.J.; Jung, S.W.; Shin, D.C.; Shin, S.H. Concurrent validity and test-retest reliability of the OPTOGait photoelectric cell system for the assessment of spatio-temporal parameters of the gait of young adults. J. Phys. Ther. Sci. 2014, 26, 81–85. [Google Scholar] [CrossRef] [PubMed]
- Urbanek, J.K.; Zipunnikov, V.; Harris, T.; Fadel, W.; Glynn, N.; Koster, A.; Caserotti, P.; Crainiceanu, C.; Harezlak, J. Prediction of sustained harmonic walking in the free-living environment using raw accelerometry data. Physiol. Meas. 2018, 39, 02NT02. [Google Scholar] [CrossRef] [PubMed]
- Bisi, M.C.; Riva, F.; Stagni, R. Measures of gait stability: Performance on adults and toddlers at the beginning of independent walking. J. Neuroeng. Rehabil. 2014, 11, 131. [Google Scholar] [CrossRef]
- Sergey, B.; Bourov, P.; Ilinih, D. Brightness calculation in digital image processing. In International Symposium on Technologies for Digital Photo Fulfillment; Society for Imaging Science and Technology: Springfield, VA, USA, 2007; Volume 2007, No. 1. [Google Scholar]
- Winter, D.A. Biomechanics and Motor Control of Human Movement; John Wiley & Sons: Hoboken, NJ, USA, 2009. [Google Scholar]
- Bailey, J.; Mata, T.; Mercer, J.A. Is the relationship between stride length, frequency, and velocity influenced by running on a treadmill or overground? Int. J. Exerc. Sci. 2017, 10, 1067. [Google Scholar] [PubMed]
- Grieve, D.W.; Gear, R.J. The relationships between length of stride, step frequency, time of swing and speed of walking for children and adults. Ergonomics 1966, 9, 379–399. [Google Scholar] [CrossRef]
- Maselli, F.; Esculier, J.F.; Storari, L.; Mourad, F.; Rossettini, G.; Barbari, V.; Testa, M. Low back pain among Italian runners: A cross-sectional survey. Phys. Ther. Sport 2021, 48, 136–145. [Google Scholar] [CrossRef] [PubMed]
- Lamoth, C.J.C.; Daffertshofer, A.; Huys, R.; Beek, P.J. Steady and transient coordination structures of walking and running. Hum. Mov. Sci. 2009, 28, 371–386. [Google Scholar] [CrossRef] [PubMed]




| Variables | Males n = 21 | Females n = 12 | Total n = 33 |
|---|---|---|---|
| Age (years) | 40 (9) | 41 (12) | 40 (10) |
| Height (cm) | 176 (5) | 166 (6) | 172 (7) |
| Weight (kg) | 72 (8) | 56 (6) | 67 (10) |
| BMI | 23.1 (1.4) | 20.5 (2.0) | 22.2 (2.0) |
| Variables | Males | Females | Total |
|---|---|---|---|
| Speed (km/h) | 11.4 (1.3) | 10.3 (1.5) | 11.0 (1.4) |
| Step length (cm) | 111.4 (11.6) | 100.9 (13.7) | 108.1 (13.0) |
| Normalized step length | 0.63 (0.06) | 0.60 (0.07) | 0.62 (0.06) |
| Height (cm) | 175.8 (5.4) | 165.7 (5.7) | 172.7 (7.2) |
| Contact time (s) | 0.310 (0.035) | 0.306 (0.081) | 0.309 (0.040) |
| Flight time (s) | 0.046 (0.023) | 0.050 (0.034) | 0.052 (0.033) |
| Cadence (steps/min) | 170.58 (9.79) | 167.52 (14.11) | 169.56 (11.26) |
| Cadence (Hz) | 2.82 (0.15) | 2.82 (0.19) | 2.82 (0.19) |
| Cadence variability (coefficient of variation of cadence) | 3.79 (1.37) | 3.88 (1.87) | 3.82 (1.50) |
| Variables | Males | Females | Total | Correlation with Cadence Variability (vCAD) |
|---|---|---|---|---|
| Harmony Index | 0.21 (0.03) | 0.19 (0.02) | 0.21 (0.03) | p = 0.92, r2 = 0.00038 |
| Synchrony index | 2.44 (0.96) | 2.55 (0.91) | 2.32 (0.96) | p = 0.87, r2 = 0.00122 |
Publisher’s Note: MDPI stays neutral with regard to jurisdictional claims in published maps and institutional affiliations. |
© 2021 by the authors. Licensee MDPI, Basel, Switzerland. This article is an open access article distributed under the terms and conditions of the Creative Commons Attribution (CC BY) license (https://creativecommons.org/licenses/by/4.0/).
Share and Cite
Simoni, L.; Scarton, A.; Macchi, C.; Gori, F.; Pasquini, G.; Pogliaghi, S. Quantitative and Qualitative Running Gait Analysis through an Innovative Video-Based Approach. Sensors 2021, 21, 2977. https://doi.org/10.3390/s21092977
Simoni L, Scarton A, Macchi C, Gori F, Pasquini G, Pogliaghi S. Quantitative and Qualitative Running Gait Analysis through an Innovative Video-Based Approach. Sensors. 2021; 21(9):2977. https://doi.org/10.3390/s21092977
Chicago/Turabian StyleSimoni, Laura, Alessandra Scarton, Claudio Macchi, Federico Gori, Guido Pasquini, and Silvia Pogliaghi. 2021. "Quantitative and Qualitative Running Gait Analysis through an Innovative Video-Based Approach" Sensors 21, no. 9: 2977. https://doi.org/10.3390/s21092977
APA StyleSimoni, L., Scarton, A., Macchi, C., Gori, F., Pasquini, G., & Pogliaghi, S. (2021). Quantitative and Qualitative Running Gait Analysis through an Innovative Video-Based Approach. Sensors, 21(9), 2977. https://doi.org/10.3390/s21092977

