Miniaturized Wideband Loop Antenna Using a Multiple Half-Circular-Ring-Based Loop Structure and Horizontal Slits for Terrestrial DTV and UHD TV Applications
Abstract
1. Introduction
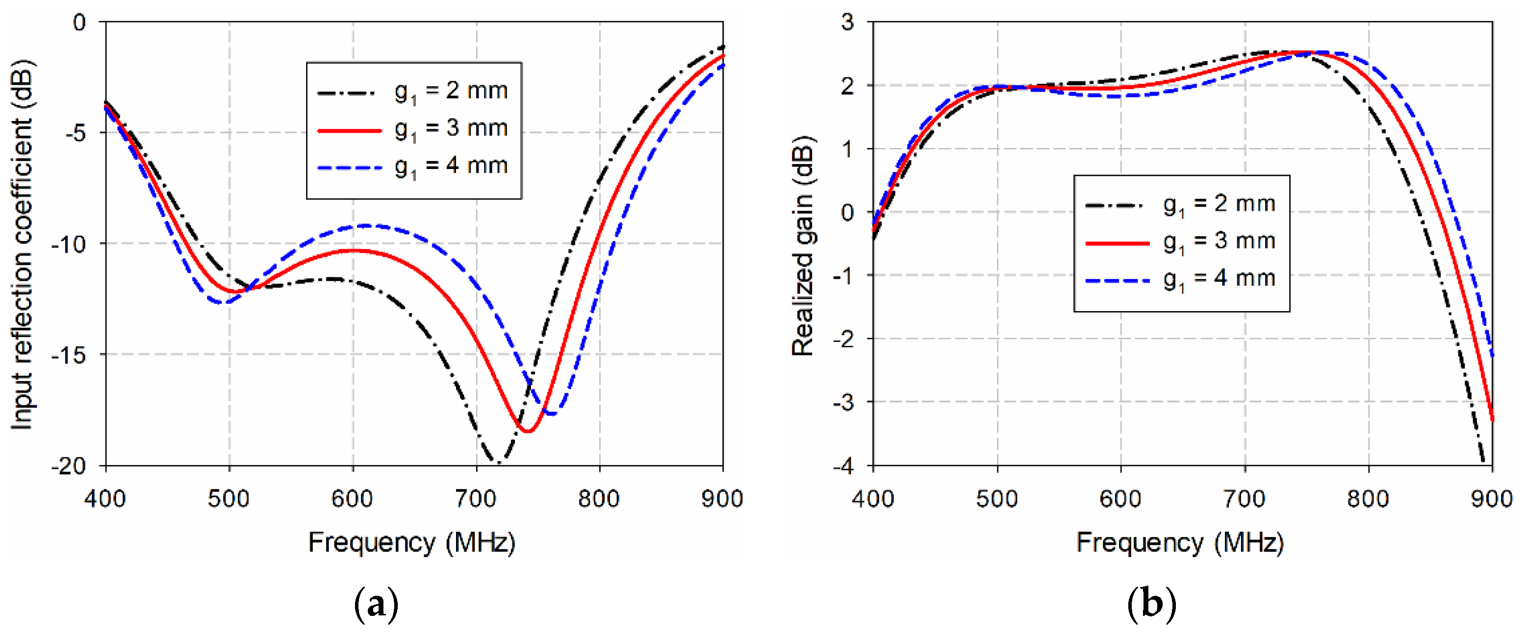
2. Antenna Design
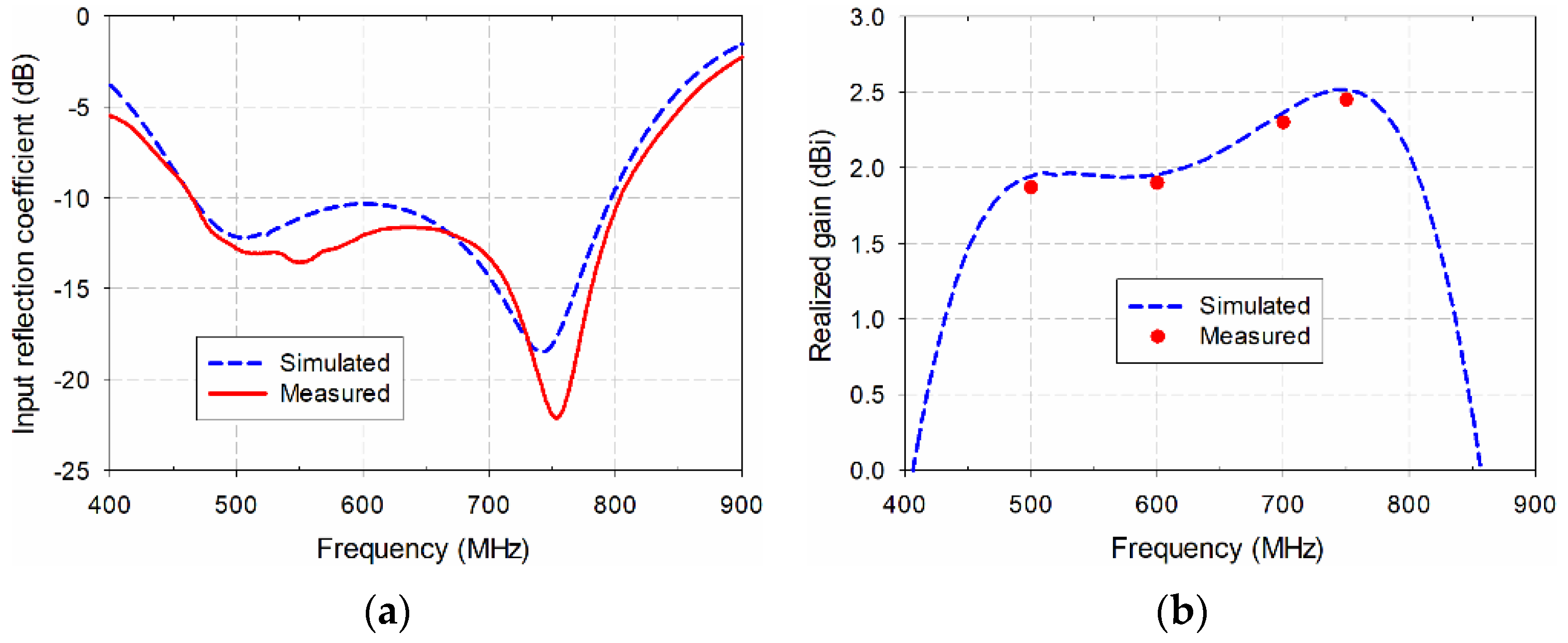
3. Experimental Results
4. Conclusions
Author Contributions
Funding
Institutional Review Board Statement
Informed Consent Statement
Data Availability Statement
Conflicts of Interest
References
- Conversion to Digital Broadcasting. Available online: https://eng.kcc.go.kr/user.do?boardId=1138&page=E02011000&dc=E02011000&boardSeq=45124&mode=view (accessed on 9 April 2021).
- Son, H.; Jung, Y. Coexistence of Korea’s DVB-T2 and Japan’s ITS using 700MHz frequency band. In Proceedings of the 19th International Conference on Advanced Communication Technology (ICACT), Bongpyeong, Korea, 19–22 February 2017; pp. 92–93. [Google Scholar]
- Punchihewa, A. Tutorial on digital terrestrial television broadcasting. In Proceedings of the 5th International Conference on Information and Automation for Sustainability (ICIAFs), Colombo, Sri Lanka, 17–19 December 2010; pp. 58–63. [Google Scholar]
- Wang, R.; Yang, J. A new compact antenna for digital television reception based on the Eleven antenna. Microw. Opt. Technol. Lett. 2011, 53, 824–827. [Google Scholar] [CrossRef]
- Stutzman, W.L.; Thiele, G.A. Antenna Theory and Design, 2nd ed.; John Wiley and Sons, Inc.: Hoboken, NJ, USA, 1998; pp. 56–270. [Google Scholar]
- Lee, J.I.; Yeo, J.; Cho, Y.K. Broadband compact quasi-Yagi antenna for indoor digital TV. Microw. Opt. Technol. Lett. 2013, 55, 2859–2863. [Google Scholar] [CrossRef]
- Choi, D.-H.; Kim, T.-H.; Moon, J.-H.; Yook, J.-G. Log-periodic dipole antenna using fractal geometry for digital TV signal reception. J. Korean Inst. Commun. Inf. Sci. 2012, 37, 761–768. [Google Scholar]
- Rachchompoo, S.; Intarawiset, N.; Akatimagool, S.; Chaiyawong, K. Development of learning innovation of DTV antennas for telecommunication education. In Proceedings of the 7th International Conference on Technical Education (ICTechEd7), Bangkok, Thailand, 25–26 March 2020; pp. 41–44. [Google Scholar]
- Mistry, K.K.; Lazaridis, P.I.; Zaharis, Z.D.; Chochliouros, I.P.; Loh, T.H.; Gravas, I.P.; Cheadle, D. Optimization of log-periodic TV reception antenna with UHF mobile communications band rejection. Electronics 2020, 9, 1830. [Google Scholar] [CrossRef]
- Lee, J.I.; Yeo, J.; Park, J.T. Design of broadband planar dipole antenna for indoor digital TV reception. J. Korea Inst. Inf. Commun. Eng. 2014, 18, 497–502. [Google Scholar] [CrossRef][Green Version]
- Wang, C.; Lee, Y. A compact dipole antenna for DTV applications by utilizing L-shaped stub and coupling strip. IEEE Trans. Antennas Propag. 2014, 62, 6515–6519. [Google Scholar] [CrossRef]
- Duangtang, P.; Wongsan, R. Design of band-notched planar dipole antenna for DTV application. In Proceedings of the 7th International Electrical Engineering Congress (iEECON), Hua Hin, Thailand, 6–8 March 2019; pp. 1–4. [Google Scholar]
- Taonok, C.; Saetiaw, C. Design of unbalance slot printed dipole antenna with triangle parasitic element for DTV receiver. In Proceedings of the 17th International Conference on Electrical Engineering/Electronics, Computer, Telecommunications and Information Technology (ECTI-CON), Phuket, Thailand, 24–27 June 2020; pp. 238–241. [Google Scholar]
- Kang, S.-W.; Chang, T.-S.; Lee, Y.-M. Implementation of DTV indoor receiving antenna with gap sleeve structure. J. Inst. Internet Broadcasting Commun. 2016, 16, 145–150. [Google Scholar] [CrossRef]
- Pratumsiri, T.; Janpugdee, P. Flexible printed antenna for digital television reception. In Proceedings of the International Symposium on Antennas and Propagation (ISAP), Phuket, Thailand, 30 October–2 November 2017; pp. 1–2. [Google Scholar]
- SPECTRUM PRODUCT. K-Vesta. Available online: http://www.spectrum.co.kr/product/k-vesta/?lang=en (accessed on 9 April 2021).
- Yeo, J.; Lee, J.I. CPW-fed wideband loop antenna for indoor digital TV applications. J. Korea Inst. Inf. Commun. Eng. 2017, 21, 1492–1497. [Google Scholar]
- Chen, O.T.C.; Tsai, C. CPW-fed wideband printed dipole antenna for digital TV applications. IEEE Trans. Antennas Propag. 2011, 59, 4826–4830. [Google Scholar] [CrossRef]
- Lin, D.; Tsai, P.; Tang, I.; Chen, P. Spiral and multimode antenna miniaturization for DTV signal receptions. IEEE Antennas Wirel. Propag. Lett. 2010, 9, 902–905. [Google Scholar] [CrossRef]
- Van Trinh, T.; Kim, G.; Kim, J.; Jung, C.W. Wideband internal PIFA-loop antenna designed on the bezel of digital television applications for UHF band. IET Electron. Lett. 2018, 54, 1260–1262. [Google Scholar] [CrossRef]
- Thai, T.; Kim, G.; Kim, J.; Jung, C. Wideband internal dipole-loop antenna with switchable and tunable frequency operation for ultra-high-definition television. IET Microw. Antennas Propag. 2019, 13, 623–630. [Google Scholar]
- Mohamed-Hicho, M.; Antonino-Daviu, E.; Cabedo-Fabrs, M.; Ferrando Bataller, M. A novel low-profile high-gain UHF antenna using high impedance surfaces. IEEE Antennas Wirel. Propag. Lett. 2015, 14, 1014–1017. [Google Scholar] [CrossRef]
- Navarro, A.; Mostardinha, P.; Varum, T.; Matos, J.; Maslovski, S. Double-dielectric microstrip ultrahigh-frequency antenna for digital terrestrial television. Appl. Sci. 2020, 10, 8640. [Google Scholar] [CrossRef]
- Arza, M.D.; Rohmah, Y.S.; Anwar, R. Design and realization of linear array triangular patch microstrip antenna for digital television. In Proceedings of the 2018 International Conference on Control, Electronics, Renewable Energy and Communications (ICCEREC), Bandung, Indonesia, 5–7 December 2018; pp. 226–230. [Google Scholar]
- Duy Tung, P.; Jung, C.W. Optically transparent wideband dipole and patch external antennas using metal mesh for UHD TV applications. IEEE Trans. Antennas Propag. 2020, 68, 1907–1917. [Google Scholar] [CrossRef]
- Luadang, B.; Phongcharoenpanich, C. Unidirectional bowtie array antenna with incision gap for digital video broadcasting-T2 base station. IET Microw. Antennas Propag. 2015, 9, 1087–1095. [Google Scholar] [CrossRef]
- Yu, H.; Fang, S.; Jiang, L.; Liu, H. A full-band digital television transmitting antenna array with dual-layer bowtie dipole unit. IEEE Access 2020, 8, 102138–102145. [Google Scholar] [CrossRef]
- Electromagnetic Simulation Solvers, CST Studio Suite. Available online: https://www.3ds.com/productsservices/simulia/products/cst-studio-suite/solvers/ (accessed on 9 April 2021).















| Parameter | Value (mm) | Parameter | Value (mm) | Parameter | Value (mm) |
|---|---|---|---|---|---|
| L | 165 | lst | 12 | r3 | 12.6 |
| W | 165 | wst | 2 | r4 | 4.7 |
| wf | 1.5 | w1 | 1 | wh | 7 |
| gf | 0.54 | le | 15.4 | gh | 1 |
| wc | 0.5 | we | 1 | l1 | 20.3 |
| g1 | 3 | r1 | 33.8 | l2 | 21.8 |
| rs | 82.5 | r2 | 8.6 | h | 0.8 |
| Antenna | Frequency Band (MHz) for VSWR < 2 | Gain (dBi) |
|---|---|---|
| Figure 2a | 455.1–1241.4 MHz (92.7%) | 2.3–5.5 |
| Figure 2b | 405.4–732.5 MHz (57.5%) | 1.7–2.5 |
| Figure 2c | 370.6–479.9 MHz (25.7%) | 1.7–2.3 |
| Figure 2d | 358.2–611.0 MHz (52.2%) | 1.7–2.3 |
| Figure 2e | 460.6–799.6 MHz (53.8%) | 1.6–2.5 |
| Antenna | Frequency Band (MHz) for VSWR < 2 | Gain (dBi) |
|---|---|---|
| Original | 455.1–1241.4 MHz (92.7%) | 2.3–5.5 |
| Figure 4a | 410.6–833.0 MHz (67.9%) | 1.8–2.9 |
| Figure 4b | 410.0–810.4 MHz (65.6%) | 1.8–2.9 |
| Figure 4c | 406.2–746.8 MHz (59.1%) | 1.7–2.6 |
| Figure 4d | 405.4–732.5 MHz (57.5%) | 1.7–2.5 |
| Reference | Size (L (mm) × W (mm)) | Antenna Type | Bandwidth (MHz) for VSWR < 2 | Gain (dBi) |
|---|---|---|---|---|
| [6] | 240 × 200 | Quasi-Yagi | 450–848 | 3.5–4.6 |
| [7] | 290 × 221 | LPDA | 460–1270 | 4.7–6.2 |
| [8] | 226 × 206 | Yagi-Uda | 470–860 | 4 |
| [8] | 283 × 248 | LPDA | 470–860 | 5 |
| [9] | 356 × 303 | LPDA | 470–790 | 3–9 |
| [10] | 178 × 95 | Dipole | 466–846 | 0 |
| [11] | 200 × 20 | Dipole | 455–1070 | −0.6–1.2 |
| [12] | 250 × 45 | Dipole | 452–897 | 2.1–3.9 |
| [13] | 250 × 135 | Dipole | 441–890 | 4.7 (peak) |
| [14] | 213 × 40 | Monopole | 432–827 | 2.19 (peak) |
| [15] | 180 × 50 | Monopole | 510–790 | - |
| [16] | 255 × 240 (H = 13 mm) | Loop | 470–806 | 3–4 |
| [17] | 210 × 210 | Loop | 463–1280 | 1.8–3.5 |
| [18] | 241 × 59 | Dipole + Loop | 430–1180 | 1.8–2.8 |
| [19] | 30 × 30 | Monopole + Spiral lines | 470–862 (VSWR < 3) | −19–−12 |
| [20] | 375 × 17 | PIFA + Loop | 460–870 (VSWR < 3) | 2.2–4.8 |
| [21] | 1154 × 15.5 | Dipole + Loop | 460–780 | 1.6–6.4 |
| [22] | 460 × 460 (H = 47 mm) | Monopole + HIS | 480–850 | 7.2–10.3 |
| [23] | 673 × 270 | Microstrip patch | 742–767 | 10.5 (peak) |
| [24] | 380 × 270 (H = 31 mm) | Patch array | 434–834 | 1.3–3.2 |
| [25] | 110 × 40 | Dipole | 470–771 (VSWR < 3) | 2.4 (peak) |
| [25] | 290 × 105 (H = 62 mm) | Microstrip patch | 454–794 (VSWR < 3) | 6.2 (peak) |
| This work | 165 × 165 | Loop | 461–806 | 1.9–2.5 |
Publisher’s Note: MDPI stays neutral with regard to jurisdictional claims in published maps and institutional affiliations. |
© 2021 by the authors. Licensee MDPI, Basel, Switzerland. This article is an open access article distributed under the terms and conditions of the Creative Commons Attribution (CC BY) license (https://creativecommons.org/licenses/by/4.0/).
Share and Cite
Yeo, J.; Lee, J.-I. Miniaturized Wideband Loop Antenna Using a Multiple Half-Circular-Ring-Based Loop Structure and Horizontal Slits for Terrestrial DTV and UHD TV Applications. Sensors 2021, 21, 2916. https://doi.org/10.3390/s21092916
Yeo J, Lee J-I. Miniaturized Wideband Loop Antenna Using a Multiple Half-Circular-Ring-Based Loop Structure and Horizontal Slits for Terrestrial DTV and UHD TV Applications. Sensors. 2021; 21(9):2916. https://doi.org/10.3390/s21092916
Chicago/Turabian StyleYeo, Junho, and Jong-Ig Lee. 2021. "Miniaturized Wideband Loop Antenna Using a Multiple Half-Circular-Ring-Based Loop Structure and Horizontal Slits for Terrestrial DTV and UHD TV Applications" Sensors 21, no. 9: 2916. https://doi.org/10.3390/s21092916
APA StyleYeo, J., & Lee, J.-I. (2021). Miniaturized Wideband Loop Antenna Using a Multiple Half-Circular-Ring-Based Loop Structure and Horizontal Slits for Terrestrial DTV and UHD TV Applications. Sensors, 21(9), 2916. https://doi.org/10.3390/s21092916

