IMU Data and GPS Position Information Direct Fusion Based on LSTM
Abstract
1. Introduction
2. LSTM Net
2.1. LSTM Net Structure
- The forgetting gate layer is made by a sigmoid layer [25]:
- The input gate layer decides what new information is going to be stored in the cell state. It has two steps. First, a sigmoid layer decides which values are to be updated. Next, a hyperbolic tangent function (tanh) layer creates a vector of new candidate values, , that could be added to the state:
- The new candidate layer is used to update the old cell state, , into the new cell state , as in the below equation:
- The output gate layer: the output is decided in this layer. First, it is going to be forgotten that the net decided to forget earlier. Then, we scale the new candidate values. Finally, we decide the output. The output is based on the cell states. The output computation is as in the below equations:
2.2. LSTM Training and Testing Settings
2.3. Hyperparameters of LSTM
- Time step: in LSTM, the purpose of net training is to optimize the weights and biases, to make sure the output errors are within a certain range. It is worth noting that the calculation of weights and biases is independent of the time step. In other words, the time step of LSTM can be set to any number. In this study, we expect that when the input IMU and target GPS data are at the same frequency, each frame of IMU data can be calculated to obtain the position information. Therefore, the time step in this study is 1.
- Cell size: the hidden layer unit size, also called the hidden size. Cell size defines the deep degree of LSTM.
- Batch size: also called mini-batch size. In the mini-batch gradient descent method, the data are divided into several batches and the parameters are updated according to the batches. In this way, the data in a batch jointly determine the direction of the gradient, so that the descent is not easy to determine, and the randomness is reduced. On the other hand, because the sample size of the batch is much smaller than the whole dataset, the computation burden will be reduced.
- The learning rate and forgetting rate control the speed of adjusting weights and biases of neural network based on the loss gradient.
3. Simulation
3.1. Hyperparameter Evaluation
3.2. Position Estimation
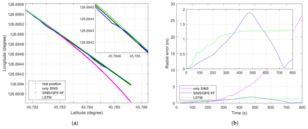
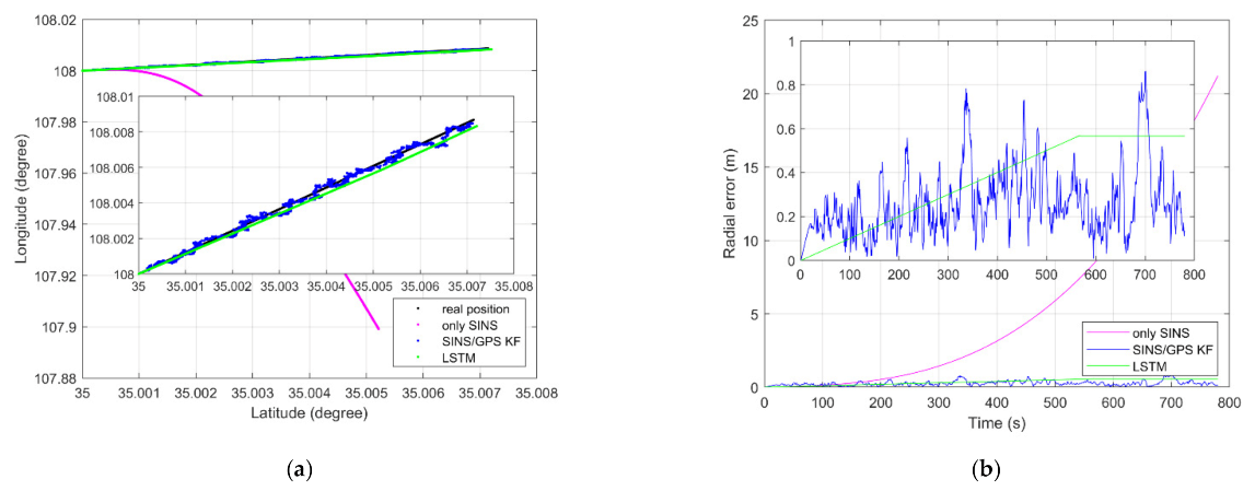
4. Experiments
5. Discussion
6. Conclusions
Author Contributions
Funding
Institutional Review Board Statement
Informed Consent Statement
Data Availability Statement
Acknowledgments
Conflicts of Interest
Appendix A
References
- Qin, Y.Y. Strapdown inertial navigation system. In Inertial Navigation, 2nd ed.; Science Press: Beijing, China, 2014; pp. 298–315. [Google Scholar]
- Savage, P.G. Analytical Modeling of Sensor Quantization in Strapdown Inertial Navigation Error Equations. J. Guid. Control Dyn. 2002, 25, 833–842. [Google Scholar] [CrossRef]
- Qing, Y.Y.; Zhang, H.Y.; Wang, S.H. The error model of inertial navigation system. In Principles of Kalman Filtering and Integrated Navigation, 2nd ed.; Northwestern University of Technology Press: Xi’an, China, 2012; pp. 316–334. [Google Scholar]
- Zhang, W.; Wu, Q.M.J.; Yang, Y.; Zhang, H. A Width-growth Model with Subnetwork Nodes and Refinement Structure for Representation Learning and Image Classification. IEEE Trans. Ind. Inform. 2020, 17, 1562–1572. [Google Scholar] [CrossRef]
- Taghipour-Gorjikoalie, M.; Sadri, J.; Razavi, S.M. Deep Adaptive Feature Enrichment. Expert Syst. Appl. 2020, 162, 113780. [Google Scholar] [CrossRef]
- Kubany, A.; Ishay, S.B.; Ohayon, R.S.; Shmilovici, A.; Rokach, L.; Doitshman, T. Comparison of state-of-the-art deep learning APIs for image multi-label classification using semantic metrics-ScienceDirect. Expert Syst. Appl. 2020, 161, 113656. [Google Scholar] [CrossRef]
- Dokuz, Y.; Tufekci, Z. Mini-batch sample selection strategies for deep learning based speech recognition. Appl. Acoust. 2020, 171, 107573. [Google Scholar] [CrossRef]
- Yao, K.; Peng, B.; Zhang, Y.; Shi, Y. Spoken language understanding using long short-term memory neural networks. In Spoken Language Technology Workshop; IEEE: New York, NY, USA, 2015. [Google Scholar]
- Choi, J.Y.; Lee, B. Combining LSTM Network Ensemble via Adaptive Weighting for Improved Time Series Forecasting. Math. Probl. Eng. 2018, 2018 Pt 9, 1–8. [Google Scholar] [CrossRef]
- Ghosh, A.; Grolinger, K. Edge-Cloud Computing for IoT Data Analytics: Embedding Intelligence in the Edge with Deep Learning. IEEE Trans. Ind. Inform. 2020, 99, 1. [Google Scholar] [CrossRef]
- Fang, W.; Jiang, J.G.; Lu, S.Q.; Gong, Y.L.; Tao, Y.F.; Tang, Y.N.; Yan, P.H.; Luo, H.Y.; Liu, J.N. See the Future: A Semantic Segmentation Network Predicting Ego-Vehicle Trajectory With a Single Monocular Camera. IEEE Robot. Autom. Lett. 2020, 5, 3066–3073. [Google Scholar]
- Yu, W.; Gonzalez, J.; Li, X. Fast training of deep LSTM networks with guaranteed stability for nonlinear system modeling. Neurocomputing 2021, 422, 85–94. [Google Scholar] [CrossRef]
- Gonzalez, J.; Yu, W. Non-linear system modeling using LSTM neural networks. In Proceedings of the Second IFAC Conference on Modelling, Identification and Control of Nonlinear Systems, Guadalajara, Mexico, 20–22 June 2018; Volume 51, pp. 485–489. [Google Scholar]
- Bitar, N.A.; Gavrilov, A. A new method for compensating the errors of integrated navigation systems using artificial neural networks. Measurement 2020, 168, 108391. [Google Scholar] [CrossRef]
- Li, D.; Zhou, J.; Liu, Y. Recurrent-neural-network-based unscented Kalman filter for estimating and compensating the random drift of MEMS gyroscopes in real time-ScienceDirect. Mech. Syst. Signal Process. 2021, 147, 107057. [Google Scholar] [CrossRef]
- Yang, S.; Xing, L.; Liu, W.; Qian, W.; Zhu, Y. Robust Navigation Method for Wearable Human-Machine Interaction System Based on Deep Learning. IEEE Sens. J. 2020, 20, 14950–14957. [Google Scholar] [CrossRef]
- Shen, C.; Zhang, Y.; Guo, X.; Liu, J. Seamless GPS/Inertial Navigation System Based on Self-Learning Square-Root Cubature Kalman Filter. IEEE Trans. Ind. Inform. 2020, 68, 499–508. [Google Scholar] [CrossRef]
- Choi, A.; Jung, H.; Mun, J.H. Single Inertial Sensor-Based Neural Networks to Estimate COM-COP Inclination Angle during Walking. Sensors 2019, 19, 2974. [Google Scholar] [CrossRef]
- Jiang, C.H.; Chen, S.; Chen, Y.W.; Zhang, B.Y.; Feng, Z.Y.; Zhou, H.; Bo, Y.M. A MEMS IMU De-Noising Method Using Long Short Term Memory Recurrent Neural Networks (LSTM-RNN). Sensors 2018, 18, 3470. [Google Scholar] [CrossRef]
- Zhang, Y. A Fusion Methodology to Bridge GPS Outages for INS/GPS Integrated Navigation System. IEEE Access 2019, 7, 61296–61306. [Google Scholar] [CrossRef]
- Du, S.; Zhang, S.; Gan, X. A hybrid fusion strategy for the land vehicle navigation using MEMS INS, odometer and GNSS. IEEE Access 2020, 8, 152512–152522. [Google Scholar] [CrossRef]
- Fang, W.; Jiang, J.G.; Lu, S.Q.; Gong, Y.L.; Tao, Y.F.; Tang, Y.N.; Yan, P.H.; Luo, H.Y.; Liu, J.N. A LSTM Algorithm Estimating Pseudo Measurements for Aiding SINS during GNSS Signal Outages. Remote Sens. 2020, 12, 256. [Google Scholar] [CrossRef]
- Hochreiter, S.; Schmidhuber, J. Long Short-Term Memory. Neural Comput. 1997, 9, 1735–1780. [Google Scholar] [CrossRef] [PubMed]
- Smagulova, K.; James, A.P. A survey on LSTM memristive neural network architectures and applications. Eur. Phys. J. Spec. Top. 2019, 228, 2313–2324. [Google Scholar] [CrossRef]
- Understanding LSTM Networks. Available online: http://colah.github.io/posts/2015-08-Understanding-LSTMs/ (accessed on 1 November 2020).
- Choi, A.; Yun, T.S.; Suh, S.W.; Yang, J.H.; Park, H.; Lee, S.; Roh, M.S.; Kang, T.G.; Mun, J.H. Determination of input variables for the development of a gait asymmetry expert system in patients with idiopathic scoliosis. Int. J. Precis. Eng. Manuf. 2013, 14, 811–818. [Google Scholar] [CrossRef]
- Kingma, D.P.; Ba, J. Adam: A Method for Stochastic Optimization. In Computer Science. In Proceedings of the 3rd International Conference on Learning Representations (ICLR 2015), San Diego, CA, USA, 7–9 May 2015. [Google Scholar]
- Qing, Y.Y.; Zhang, H.Y.; Wang, S.H. The integrated navigation system is designed based on basic filtering theory. In Principles of Kalman Filtering and Integrated Navigation, 2nd ed.; Northwestern University of Technology Press: Xi’an, China, 2012; pp. 362–372. [Google Scholar]









Publisher’s Note: MDPI stays neutral with regard to jurisdictional claims in published maps and institutional affiliations. |
© 2021 by the authors. Licensee MDPI, Basel, Switzerland. This article is an open access article distributed under the terms and conditions of the Creative Commons Attribution (CC BY) license (https://creativecommons.org/licenses/by/4.0/).
Share and Cite
Guang, X.; Gao, Y.; Liu, P.; Li, G. IMU Data and GPS Position Information Direct Fusion Based on LSTM. Sensors 2021, 21, 2500. https://doi.org/10.3390/s21072500
Guang X, Gao Y, Liu P, Li G. IMU Data and GPS Position Information Direct Fusion Based on LSTM. Sensors. 2021; 21(7):2500. https://doi.org/10.3390/s21072500
Chicago/Turabian StyleGuang, Xingxing, Yanbin Gao, Pan Liu, and Guangchun Li. 2021. "IMU Data and GPS Position Information Direct Fusion Based on LSTM" Sensors 21, no. 7: 2500. https://doi.org/10.3390/s21072500
APA StyleGuang, X., Gao, Y., Liu, P., & Li, G. (2021). IMU Data and GPS Position Information Direct Fusion Based on LSTM. Sensors, 21(7), 2500. https://doi.org/10.3390/s21072500

