A Flexible PI/Si/SiO2 Piezoresistive Microcantilever for Trace-Level Detection of Aflatoxin B1 †
Abstract
1. Introduction
2. Design and Fabrication
2.1. Design of the PI/Si/SiO2 Microcantilever
2.2. Fabrication Process
- (a)
- A thermal oxidation method was used to form a layer of 30 nm-thick SiO2 on the surface of the SOI wafer for the ion-implantation protective layer, and then the single-crystal layer was inverted to form an N+ ring using phosphorus-ion implantation. The implant energy was 100 keV and the implant dose was 5 × 1013 cm−2. Then, the first photolithography was performed, and the patterned single-crystal silicon layer was dry-etched by reactive ion etching (RIE) to form an active region.
- (b)
- The two-fold piezoresistors were patterned by the second photolithography and defined by boron-ion implantation. The implant energy was 100 keV and the implant dose was 4 × 1014 cm−2. The resistance of the piezoresistor was approximately 5 kΩ.
- (c)
- High-concentration boron-ion implantation formed a heavily doped area as the interconnection of the piezoresistors and the contact pads by the third photolithography. The implant energy was 100 keV and the implant dose was 8 × 1015 cm−2. The implantation ions were activated under annealing conditions of 1050 °C and 30 s. A 200 nm SiO2 was deposited as a passivation dielectric layer of the active region by a low pressure chemical vapor deposition (LPCVD).
- (d)
- The metal contact hole was opened by buffer hydrofluoric acid (BHF) wet-etching by the fourth photolithography.
- (e)
- An 800 nm aluminium contact pad was sputtered on the surface of the SOI wafer, and patterned by the fifth photolithography. Then, the SOI wafer was alloyed at 470 °C in a nitrogen environment to form ohmic contact pads.
- (f)
- A 1.2 μm polyimide film was spun on the surface of the SOI wafer, which was only kept on the top of the microcantilever by oxygen-plasma etching after the sixth photolithography.
- (g)
- A 10/50 nm Cr/Au layer was sputtered on the surface of the SOI wafer, and lifted off to form the modified layer of functionalization on the surface of the sensing microcantilever by the seventh photolithography.
- (h)
- After the eighth photolithography with a 3 μm thick photoresist as a mask, the SiO2 inside the reactive well area was totally etched away until the silicon substrate was completely exposed. After an anisotropic dry-etching was introduced to etch the silicon substrate for 10 μm, an isotropic dry-etching was used to continue etching the silicon substrate until the microcantilever structure was completely released.
3. Properties of the Microcantilever
3.1. Spring Constant
3.2. Sensitivity
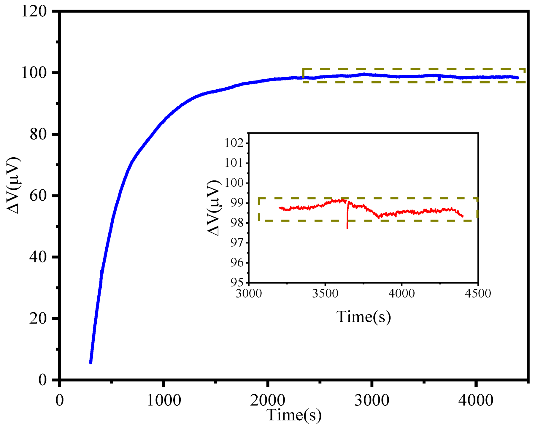
3.3. Output Stability in PBS Buffer
4. Experiment Preparation
4.1. Reagents and Materials
4.2. Surface Functionalization
5. Results and Discussions
5.1. IgG Detection
5.2. Aflatoxin B1 Detection
5.3. Specific Detections
6. Conclusions
Author Contributions
Funding
Conflicts of Interest
References
- Chauhan, R.; Solanki, P.R.; Singh, J.; Mukherjee, I.; Basu, T.; Malhotra, B. A novel electrochemical piezoelectric label free immunosensor for aflatoxin B1 detection in groundnut. Food Control 2015, 52, 60–70. [Google Scholar] [CrossRef]
- Tao, F.; Yao, H.; Hruska, Z.; Burger, L.W.; Rajasekaran, K.; Bhatnagar, D. Recent development of optical methods in rapid and non-destructive detection of aflatoxin and fungal contamination in agricultural products. TrAC Trends Anal. Chem. 2018, 100, 65–81. [Google Scholar] [CrossRef]
- Jaiswal, P.; Jha, S.N.; Kaur, J.; Borah, A.; Ramya, H.G. Detection of aflatoxin M1 in milk using spectroscopy and multivariate analyses. Food Chem. 2018, 238, 209–214. [Google Scholar] [CrossRef]
- Jiang, W.; Beloglazova, N.V.; Luo, P.; Guo, P.; Lin, G.; Wang, X. A Dual-Color Quantum Dots Encoded Frit-Based Immunoassay for Visual Detection of Aflatoxin M1 and Pirlimycin Residues in Milk. J. Agric. Food Chem. 2017, 65, 1822–1828. [Google Scholar] [CrossRef] [PubMed]
- Du, X.; Jiang, D.; Hao, N.; Liu, Q.; Qian, J.; Dai, L.; Mao, H.; Wang, K. An ON1-OFF-ON2 electrochemiluminescence response: Combining the intermolecular specific binding with a radical scavenger. Chem. Commun. 2015, 51, 11236–11239. [Google Scholar] [CrossRef]
- Campbell, K.; Ferreira Cavalcante, A.L.; Galvin-King, P.; Oplatowska-Stachowiak, M.; Brabet, C.; Metayer, I.; Montet, D.; Haughey, S.A.; Elliott, C.T. Evaluation of an alternative spectroscopic approach for aflatoxin analysis: Comparative analysis of food and feed samples with UPLC–MS/MS. Sens. Actuators B Chem. 2017, 239, 1087–1097. [Google Scholar] [CrossRef]
- Qi, D.; Fei, T.; Liu, H.; Yao, H.; Wu, D.; Liu, B. Development of Multiple Heart-Cutting Two-Dimensional Liquid Chromatography Coupled to Quadrupole-Orbitrap High Resolution Mass Spectrometry for Simultaneous Determination of Aflatoxin B1, B2, G1, G2, and Ochratoxin A in Snus, a Smokeless Tobacco Product. J. Agric. Food Chem. 2017, 65, 9923–9929. [Google Scholar] [CrossRef]
- Wei, T.; Ren, P.; Huang, L.; Ouyang, Z.; Wang, Z.; Kong, X.; Li, T.; Yin, Y.; Wu, Y.; He, Q. Simultaneous detection of aflatoxin B1, ochratoxin A, zearalenone and deoxynivalenol in corn and wheat using surface plasmon resonance. Food Chem. 2019, 300, 125176. [Google Scholar] [CrossRef]
- Zhang, F.; Liu, B.; Zhang, Y.; Wang, J.; Lu, Y.; Deng, J.; Wang, S. Application of CdTe/CdS/ZnS quantum dot in immunoassay for aflatoxin B1 and molecular modeling of antibody recognition. Anal. Chim. Acta 2019, 1047, 139–149. [Google Scholar] [CrossRef]
- Zhang, Z.; Tang, X.; Wang, D.; Zhang, Q.; Li, P.; Ding, X. Rapid on-site sensing aflatoxin B1 in food and feed via a chromatographic time-resolved fluoroimmunoassay. PLoS ONE 2015, 10, e0123266. [Google Scholar] [CrossRef]
- Kumar, Y.V.V.A.; Renuka, R.M.; Achuth, J.; Venkataramana, M.; Ushakiranmayi, M.; Sudhakar, P. Development of hybrid IgG-aptamer sandwich immunoassay platform for aflatoxin B1 detection and its evaluation onto various field samples. Front. Pharmacol. 2018, 9. [Google Scholar] [CrossRef]
- Moon, J.; Byun, J.; Kim, H.; Lim, E.K.; Jeong, J.; Jung, J.; Kang, T. On-site detection of aflatoxin B1 in grains by a palm-sized surface plasmon resonance sensor. Sensors 2018, 18, 598. [Google Scholar] [CrossRef]
- Abnous, K.; Danesh, N.M.; Alibolandi, M.; Ramezani, M.; Emrani, A.S.; Zolfaghari, R.; Taghdisi, S.M. A new amplified π-shape electrochemical aptasensor for ultrasensitive detection of aflatoxin B1. Biosens. Bioelectron. 2017, 94, 374–379. [Google Scholar] [CrossRef]
- Wang, Z.; Li, J.; Xu, L.; Feng, Y.; Lu, X. Electrochemical sensor for determination of aflatoxin B1 based on multiwalled carbon nanotubes-supported Au/Pt bimetallic nanoparticles. J. Solid State Electrochem. 2014, 18, 2487–2496. [Google Scholar] [CrossRef]
- Chen, Q.; Yang, M.; Yang, X.; Li, H.; Guo, Z.; Rahma, M.H. A large Raman scattering cross-section molecular embedded SERS aptasensor for ultrasensitive Aflatoxin B1 detection using CS-Fe3O4 for signal enrichment. Spectrochim. Acta Part A Mol. Biomol. Spectrosc. 2018, 189, 147–153. [Google Scholar] [CrossRef]
- Aswani Kumar, Y.V.V.; Renuka, R.M.; Achuth, J.; Mudili, V.; Poda, S. Development of a FRET-based fluorescence aptasensor for the detection of aflatoxin B1 in contaminated food grain samples. RSC Adv. 2018, 8, 10465–10473. [Google Scholar] [CrossRef]
- Shu, Q.; Wu, Y.; Wang, L.; Fu, Z. A label-free immunoassay protocol for aflatoxin B1 based on UV-induced fluorescence enhancement. Talanta 2019, 204, 261–265. [Google Scholar] [CrossRef]
- Vdovenko, M.M.; Lu, C.C.; Yu, F.Y.; Sakharov, I.Y. Development of ultrasensitive direct chemiluminescent enzyme immunoassay for determination of aflatoxin M1 in milk. Food Chem. 2014, 158, 310–314. [Google Scholar] [CrossRef]
- Yao, Y.; Wang, H.; Wang, X.; Wang, X.; Li, F. Development of a chemiluminescent aptasensor for ultrasensitive and selective detection of aflatoxin B1 in peanut and milk. Talanta 2019, 201, 52–57. [Google Scholar] [CrossRef]
- Yu, F.Y.; Gribas, A.V.; Vdovenko, M.M.; Sakharov, I.Y. Development of ultrasensitive direct chemiluminescent enzyme immunoassay for determination of aflatoxin B1 in food products. Talanta 2013, 107, 25–29. [Google Scholar] [CrossRef]
- Sun, L.; Zhao, Q. Competitive horseradish peroxidase-linked aptamer assay for sensitive detection of Aflatoxin B1. Talanta 2018, 179, 344–349. [Google Scholar] [CrossRef]
- Sergeyeva, T.; Yarynka, D.; Piletska, E.; Linnik, R.; Zaporozhets, O.; Brovko, O.; Piletsky, S.; El’skaya, A. Development of a smartphone-based biomimetic sensor for aflatoxin B1 detection using molecularly imprinted polymer membranes. Talanta 2019, 201, 204–210. [Google Scholar] [CrossRef]
- Zhou, X.; Wu, S.; Liu, H.; Wu, X.; Zhang, Q. Nanomechanical label-free detection of aflatoxin B1 using a microcantilever. Sens. Actuators B Chem. 2016, 226, 24–29. [Google Scholar] [CrossRef]
- Yu, H.; Chen, Y.; Xu, P.; Xu, T.; Bao, Y.; Li, X. μ-‘Diving suit’for liquid-phase high-Q resonant detection. LChip 2016, 16, 902–910. [Google Scholar]
- Liu, X.; Wang, L.; Zhao, J.; Zhu, Y.; Yang, J.; Yang, F. Enhanced binding efficiency of microcantilever biosensor for the detection of Yersinia. Sensors 2019, 19, 3326. [Google Scholar] [CrossRef]
- Nyang’au, W.O.; Setiono, A.; Bertke, M.; Bosse, H.; Peiner, E. Cantilever-droplet-based sensing of magnetic particle concentrations in liquids. Sensors 2019, 19, 4758. [Google Scholar] [CrossRef]
- Nyang’au, W.O.; Setiono, A.; Schmidt, A.; Bosse, H.; Peiner, E. Sampling and Mass Detection of a Countable Number of Microparticles Using on-Cantilever Imprinting. Sensors 2020, 20, 2508. [Google Scholar] [CrossRef]
- Zhao, R.; Ma, W.; Wen, Y.; Yang, J.; Yu, X. Trace level detections of abrin with high SNR piezoresistive cantilever biosensor. Sens. Actuators B Chem. 2015, 212, 112–119. [Google Scholar] [CrossRef]
- Li, K.-W.; Yen, Y.-K. Gentamicin drug monitoring for peritonitis patients by using a CMOS-BioMEMS-based microcantilever sensor. Biosens. Bioelectron. 2019, 130, 420–426. [Google Scholar] [CrossRef]
- Kim, D.-S.; Jeong, Y.-J.; Lee, B.-K.; Shanmugasundaram, A.; Lee, D.-W. Piezoresistive sensor-integrated PDMS cantilever: A new class of device for measuring the drug-induced changes in the mechanical activity of cardiomyocytes. Sens. Actuators B Chem. 2017, 240, 566–572. [Google Scholar] [CrossRef]
- Zhao, R.; Sun, Y. Polymeric flexible immunosensor based on piezoresistive micro-cantilever with PEDOT/PSS conductive layer. Sensors 2018, 18, 451. [Google Scholar] [CrossRef] [PubMed]
- Tian, Y.; Zhao, R.; Liu, Y.; Yu, X. A Low Spring Constant Piezoresistive Microcantilever for Biological Reagent Detection. Micromachines 2020, 11, 1001. [Google Scholar] [CrossRef] [PubMed]
- Tian, Y.; Wang, Y.; Yu, X. Ultrasensitive Detection of Aflatoxin B1 Using a Polyimide-Based Piezoresistive Microcantilever Biosensor. In Proceedings of the 2019 20th International Conference on Solid-State Sensors, Actuators and Microsystems & Eurosensors XXXIII (TRANSDUCERS & EUROSENSORS XXXIII), Berlin, Germany, 23–27 June 2019; pp. 991–994. [Google Scholar]
- Zhao, R.; Jia, D.; Wen, Y.; Yu, X. Cantilever-based aptasensor for trace level detection of nerve agent simulant in aqueous matrices. Sens. Actuators B Chem. 2017, 238, 1231–1239. [Google Scholar] [CrossRef]
- Yu, M.-F.; Lourie, O.; Dyer, M.J.; Moloni, K.; Kelly, T.F.; Ruoff, R.S. Strength and breaking mechanism of multiwalled carbon nanotubes under tensile load. Science 2000, 287, 637–640. [Google Scholar] [CrossRef] [PubMed]
- Yu, X.; Thaysen, J.; Hansen, O.; Boisen, A. Optimization of sensitivity and noise in piezoresistive cantilevers. J. Appl. Phys. 2002, 92, 6296–6301. [Google Scholar] [CrossRef]
- Doll, J.C.; Pruitt, B.L. Piezoresistor Design and Applications; Springer: Berlin/Heidelberg, Germany, 2013; pp. 131–140. [Google Scholar]











Publisher’s Note: MDPI stays neutral with regard to jurisdictional claims in published maps and institutional affiliations. |
© 2021 by the authors. Licensee MDPI, Basel, Switzerland. This article is an open access article distributed under the terms and conditions of the Creative Commons Attribution (CC BY) license (http://creativecommons.org/licenses/by/4.0/).
Share and Cite
Tian, Y.; Liu, Y.; Wang, Y.; Xu, J.; Yu, X. A Flexible PI/Si/SiO2 Piezoresistive Microcantilever for Trace-Level Detection of Aflatoxin B1. Sensors 2021, 21, 1118. https://doi.org/10.3390/s21041118
Tian Y, Liu Y, Wang Y, Xu J, Yu X. A Flexible PI/Si/SiO2 Piezoresistive Microcantilever for Trace-Level Detection of Aflatoxin B1. Sensors. 2021; 21(4):1118. https://doi.org/10.3390/s21041118
Chicago/Turabian StyleTian, Yuan, Yi Liu, Yang Wang, Jia Xu, and Xiaomei Yu. 2021. "A Flexible PI/Si/SiO2 Piezoresistive Microcantilever for Trace-Level Detection of Aflatoxin B1" Sensors 21, no. 4: 1118. https://doi.org/10.3390/s21041118
APA StyleTian, Y., Liu, Y., Wang, Y., Xu, J., & Yu, X. (2021). A Flexible PI/Si/SiO2 Piezoresistive Microcantilever for Trace-Level Detection of Aflatoxin B1. Sensors, 21(4), 1118. https://doi.org/10.3390/s21041118
