Control of Microalgae Growth in Artificially Lighted Photobioreactors Using Metaheuristic-Based Predictions
Abstract
:1. Introduction
- A specific artificially lighted PBR for microalgae growth has to be controlled over a given control horizon. This batch PBR is described in [10,11], and sufficient details are given in Section 2 and Appendix A.
- A bi-criteria optimal control problem concerning the PBR at hand is stated in Section 3.1. The optimum criterion requires minimizing the amount of light (the energy) while a specified quantity of biomass is produced.
- The optimal control problem must be solved through a closed-loop control structure. Only in this way will the controller’s output depend on the real state of the PBR (e.g., the biomass concentration) in each sampling period.
- Generating an optimal pcs requires a significant computational effort, as in our control problem. For this reason, the Predictor will resort to a metaheuristic algorithm [18,19] that can cope with high computational complexity. An adaptive version of the hybrid topology particle swarm optimization [20,21] algorithm will be integrated into the Predictor.
- Despite the ability of the particle swarm optimization algorithm to efficiently generate optimal predictions, we propose a soft sensor to further decrease the computational complexity, especially for very large prediction horizons.
2. Photosynthetic Growth of Microalgae: The Process Dynamic Model
- An average irradiance, , can be computed and used to calculate the specific growth rate, ;
- Various local photosynthetic responses can be calculated for various depths and used to obtain the average photosynthetic response .
3. Closed-Loop Control Problem
3.1. Optimal Control Problem
- (1)
- The dynamic model of the optimized process
- (2)
- Constraints
- (3)
- Optimum criterion
- Input data: Equations (5)–(13), (17) and (19), all the PBR constructive parameters and constants;
- Output data: the optimal control variable .
3.2. Receding Horizon Control Structure
3.3. Controller’s Predictions
3.4. A Soft Sensor to Determine the Range of Control Output Values
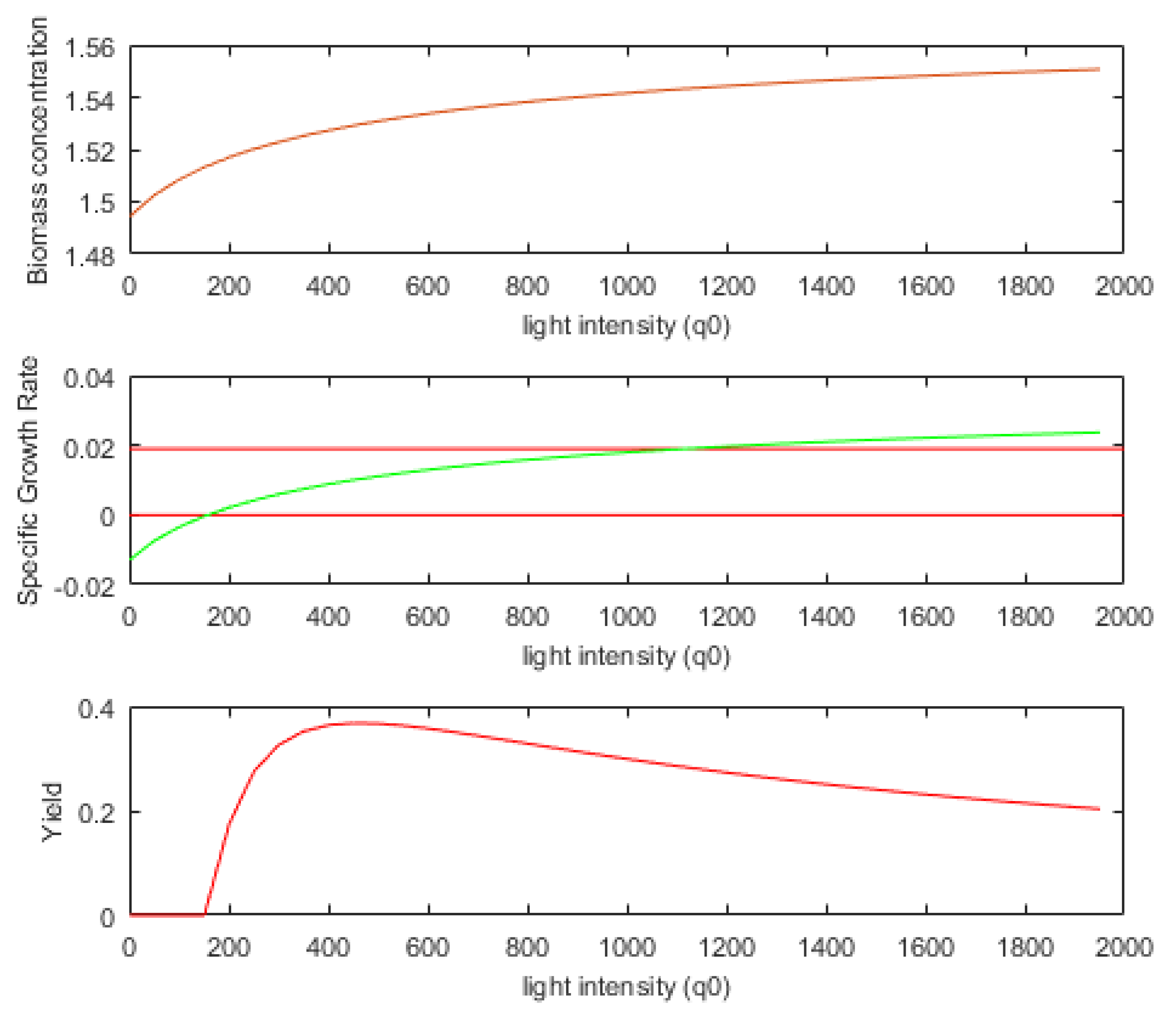
3.4.1. Necessity
- measurement of the biomass concentration () and
- the numerical integration of the PM over the next sampling period () for a certain number of light intensity values. These values are considered successively as the control output for the current sampling period:
3.4.2. Controller Structure with Soft Sensor
3.4.3. Output Parameters of the Soft Sensor
3.4.4. Implementation of the Soft Sensor
4. Prediction Based on Adaptive PSO Algorithm
4.1. Brief Description of PSO
4.2. Adaptive PSO Algorithm
- APSOA is organized like a function of five input parameters;
- The predicted sequence length (h) is an input parameter because RHC involves predicted sequences with different lengths;
- k and define the moment and initial state of the process, for which the optimal sequence is determined.
- and are vectors with h elements. They are composed of the minimum and maximum values for each component of the predicted sequence. The values and are determined by the SENSOR. The other values are set to and respectively.
- The function RHC_EvalFitnessJ evaluates the objective function resulting from Equation (27).
4.3. Predictor Structure
- is the current moment when the controller calls the Predictor to make an optimal prediction;
- is the initial state (biomass concentration) acquired from the process;
- and are the two extremities of the interval determined by the SENSOR (whatever the utilization mode).
- To set the two vectors’ values, the control output limits for the predicted sequences (lines #3–#6). The two vectors ( and ) have the same length as the predicted sequences. The values from the SENSOR are assigned to the first element of these vectors, corresponding to the first control output . The other limits are and .
- To call the function APSOA with the appropriate arguments. The best prediction (ocs) is returned to the controller.
5. Simulation Study
5.1. Study Objectives and Preliminaries
- To implement and simulate a closed loop based on Receding Horizon Control devoted to solving the PBROC problem.
- To study the feasibility of the prediction technique using a metaheuristic algorithm. In our case, we have chosen the Adaptive PSO Algorithm. When metaheuristic algorithms are involved in optimal control, the main impediment often encountered is the computational complexity, which affects the controller’s computing time for the control output.
- To validate the hypothesis that the computational complexity of the prediction will diminish by introducing the admissibility domain for the control output.
- To validate the hypothesis that the proposed soft sensor can realistically provide the admissibility domains using the biomass concentration measured from the process.
- The Controller, which by definition includes the PM, is also connected to the real process (PBR). The soft sensor is connected to the process as well. Both modules are realistically implemented but should have connections with the process (PBR). Only these connections are simulated.
- In our application, the real process is also simulated using the PM (see Remark 2). The red lines in Figure 3 also show the simulated connections that create the closed loop.
- The sequence of sampling moments is simulated.
5.2. Closed-Loop Implementation
6. Results
6.1. Simulation of the Tandem SENSOR–Predictor
6.2. Closed-Loop Simulation without SENSOR
- Control horizon: 120 h; ; ;
- Sampling period: 1 h; T = 1;
- Light intensity bounds: (µmol·m−2·s−1);
- Initial biomass concentration: g/L.
- To fulfil the optimum criterion in Equation (27), where ;
- To ensure the newly produced biomass:m0 ≥ 3 g
6.3. Closed-Loop Simulation Using the Soft Sensor (mode = 1)
6.4. Closed-Loop Simulation Using the Soft Sensor (mode = 2)
7. Conclusions
Supplementary Materials
Author Contributions
Funding
Institutional Review Board Statement
Informed Consent Statement
Acknowledgments
Conflicts of Interest
Appendix A
Details Concerning the Photobioreactor
- The radiative model: the absorption coefficient, = 172 m2·kg−1; the scattering coefficient, = 870 m2·kg−1; the backward scattering fraction, = 0.0008 (-).
- The kinetic model: the specific growth rate, = 0.16 h−1; the saturation constant, = 120 µmol·m−2·s−1; the inhibition constant, = 2500 µmol·m−2·s−1; the specific decay rate, = 0.013 h−1.
- Volume of the reactor, = 1.45 × 10−3 m3; the depth, L = 0.04 m; the lighted surface, A = 3.75 × 10−2 m2.
- The initial biomass concentration g/L.
Appendix B
Description of APSOA and Implementation of Predictor
| function) | |
| 1 | Input parameters: k—the current discrete moment; —the current state (biomass concentration); h—predicted sequence length ( has h elements) : vector with h elements—minimum value for each component : vector with h elements—maximum value for each component |
| 2 | Initialization: N, h, vmax, xmin, xmax, C1min, C1max, C2min, C2max, C3min, C3max, wmin, wmax, T, NF, MINNF |
| 3 | Generate the particles’ initial velocities as uniformly distributed values in the interval [−vmax, vmax]h. |
| 4 | Generate the particles’ initial positions ; |
| 5 | for |
| 6 | |
| 7 | BEST(i), fitness(i) ← RHC_EvalFitnessJ, k) |
| 8 | end |
| 9 | i0 arg max {BEST(i), i = 1,…,N}; |
| 10 | ; GBEST ← BEST(i0); /*Determine and GBEST */ |
| 11 | found ← 0 |
| 12 | t ← 1; |
| 13 | while (t <= T) & (found = 0) |
| 14 | Coefficients tuning: w, C1, C2, C3 |
| 15 | for /* move the particles swarm*/ |
| 16 | ← Generate_Plbest(i); /* generate “local best”*/ |
| 17 | for |
| 18 | Update the particles’ speed using Equation (39) |
| 19 | Speed_limitation) |
| 20 | |
| 21 | Position_ limitation /*using */ |
| 22 | end |
| 23 | fitness(i) ← RHC_EvalFitnessJ, k) |
| 24 | if fitness(i) < BEST(i) |
| 25 | ; BEST(i) ← fitness(i); NF(i) = 0; |
| 26 | else NF(i) = NF(i) + 1; |
| 27 | end |
| 28 | if fitness(i) < GBEST(i) |
| 29 | ; GBEST ← fitness(i) |
| 30 | end |
| 31 | if min {NF(i), i = 1,…,N} = MINNF then found ← 1; |
| 32 | t ← t + 1 |
| 33 | end /*while */ |
| 34 | returnPgbest |
Appendix C
Appendix C.1. Simulation Details for RHC_Closed_Loop without SENSOR (mode = 0)
Appendix C.2. Simulation Details for RHC_Closed_Loop with SENSOR (mode = 1)
Appendix C.3. Simulation Details for RHC_Closed_Loop with SENSOR (mode = 2)
References
- Suparmaniam, U.; Lam, M.K.; Uemura, Y.; Lim, J.W.; Lee, K.T.; Shuit, S.H. Insights into the microalgae cultivation technology and harvesting process for biofuel production: A review. Renew. Sustain. Energy Rev. 2019, 115, 109361. [Google Scholar] [CrossRef]
- Li, X.; Liu, J.; Chen, G.; Zhang, J.; Wang, C.; Liu, B. Extraction and purification of eicosapentaenoic acid and docosahexaenoic acid from microalgae: A critical review. Algal Res. 2019, 43, 101619. [Google Scholar] [CrossRef]
- Acién Fernández, F.G.; Fernández Sevilla, J.M.; Molina Grima, E. Photobioreactors for the production of microalgae. Rev. Environ. Sci. Biotechnol. 2013, 12, 131–151. [Google Scholar] [CrossRef]
- Ifrim, G.A.; Titica, M.; Barbu, M.; Boillereaux, L.; Cogne, G.; Caraman, S.; Legrand, J. Multivariable feedback linearizing control of Chlamydomonas reinhardtii photoautotrophic growth process in a torus photobioreactor. Chem. Eng. J. 2013, 218, 191–203. [Google Scholar] [CrossRef]
- Ifrim, G.A.; Titica, M.; Cogne, G.; Boillereaux, L.; Legrand, J.; Caraman, S. Dynamic pH Model for Autotrophic Growth of Microalgae in Photobioreactor: A Tool for Monitoring and Control Purposes. AIChe J. 2014, 60, 585–599. [Google Scholar] [CrossRef]
- Jayaraman, S.K.; Rhinehart, R.R. Modeling and Optimization of Algae Growth. Ind. Eng. Chem. Res. 2015, 54, 8063–8071. [Google Scholar] [CrossRef]
- Cornet, J.-F.; Dussap, C.-G. A Simple and Reliable Formula for Assessment of Maximum Volumetric Productivities in Photobioreactors. Biotechnol. Prog. 2009, 25, 424–435. [Google Scholar] [CrossRef] [PubMed]
- Pottier, L.; Pruvost, J.; Deremetz, J.; Cornet, J.F.; Legrand, J.; Dussap, C.G. A fully predictive model for one-dimensional light attenuation by Chlamydomonas reinhardtii in a torus photobioreactor. Biotechnol. Bioeng. 2005, 91, 569–582. [Google Scholar] [CrossRef] [PubMed] [Green Version]
- Ifrim, G.A.; Titica, M.; Deppe, S.; Frahm, B.; Barbu, M.; Caraman, S. Multivariable Control Strategy for the Photosynthetic Cultures of Microalgae. In Proceedings of the 23rd International Conference on System Theory, Control and Computing, ICSTCC, Sinaia, Romania, 9–11 October 2019; pp. 218–233. [Google Scholar]
- Ifrim, G.A.; Titica, M.; Boillereaux, L.; Caraman, S. Feedback Linearizing Control of Light-to-Microalgae Ratio in Artificially Lighted Photobioreactors. In Proceedings of the 12th IFAC Symposium on Computer Applications in Biotechnology, CAB, Mumbai, India, 16–18 December 2013; Volume 1, pp. 169–174. [Google Scholar]
- Tebbani, S.; Titica, M.; Ifrim, G.; Caraman, S. Control of the Light-to-Microalgae Ratio in a Photobioreactor. In Proceedings of the 18th International Conference on System Theory, Control and Computing, ICSTCC, Sinaia, Romania, 17–19 October 2014; pp. 393–398. [Google Scholar]
- Grognarda, F.; Akhmetzhanov, A.R.; Bernard, O. Optimal strategies for biomass productivity maximization in a photobioreactor using natural light. Automatica 2014, 50, 359–368. [Google Scholar] [CrossRef] [Green Version]
- Hurst, T.; Rehbock, V. Optimal control for micro-algae on a raceway model. Biotechnol. Prog. 2008, 34, 107–119. [Google Scholar] [CrossRef] [PubMed]
- Park, M. Surface Display Technology for Biosensor Applications: A Review. Sensors 2020, 20, 2775. [Google Scholar] [CrossRef]
- Andriukonis, E.; Celiesiute-Germaniene, R.; Ramanavicius, S.; Viter, R.; Ramanavicius, A. From Microorganism-Based Am-perometric Biosensors towards Microbial Fuel Cells. Sensors 2021, 21, 2442. [Google Scholar] [CrossRef]
- Minzu, V.; Serbencu, A. Systematic procedure for optimal controller implementation using metaheuristic algorithms. Intell. Autom. And Soft Comput. 2020, 26, 663–677. [Google Scholar] [CrossRef]
- Mayne, D.Q.; Michalska, H. Receding Horizon Control of Nonlinear Systems. IEEE Trans. Autom. Control. 1990, 35, 814–824. [Google Scholar] [CrossRef]
- Siarry, P. Metaheuristics; Springer: Berlin/Heidelberg, Germany, 2016; ISBN 9783319454030. [Google Scholar]
- Talbi, E.G. Metaheuristics—From Design to Implementation; Wiley & Sons: Hoboken, NJ, USA, 2009; ISBN 9780470278581. [Google Scholar]
- Kennedy, J.; Eberhard, R. Particle Swarm Optimization. In Proceedings of the IEEE International Conference on Neural Networks, Piscataway, NJ, USA, 27 November–1 December 1995; Volume 4, pp. 942–1948. [Google Scholar]
- Minzu, V.; Barbu, M.; Nichita, C. A Binary Hybrid Topology Particle Swarm Optimization Algorithm for Sewer Network Discharge. In Proceedings of the 19th International Conference on System Theory, Control and Computing (ICSTCC), Cheile Gradistei, Romania, 14–16 October 2015; pp. 627–634, ISBN 9781479984800. [Google Scholar]
- Abraham, A.; Jain, L.; Goldberg, R. Evolutionary Multiobjective Optimization—Theoretical Advances and Applications; Springer: Berlin/Heidelberg, Germany, 2005; ISBN 1852337877. [Google Scholar]
- Valadi, J.; Siarry, P. Applications of Metaheuristics in Process Engineering; Springer International Publishing: Berlin/Heidelberg, Germany, 2014; pp. 1–39. [Google Scholar] [CrossRef]
- Kennedy, J.; Eberhart, R.; Shi, Y. Swarm Intelligence; Morgan Kaufmann Academic Press: Cambridge, MA, USA, 2001. [Google Scholar]
- Maurice, C. L’Optimisation par Essaims Particulaires-Versions Paramétriques et Adaptatives; Hermes Lavoisier: Paris, France, 2005. [Google Scholar]
- Beheshti, Z.; Shamsuddin, S.M.; Hasan, S. Memetic binary particle swarm optimization for discrete optimization problems. Inf. Sci. 2015, 299, 58–84. [Google Scholar] [CrossRef]
- Minzu, V. Quasi-Optimal Character of Metaheuristic-Based Algorithms Used in Closed-Loop—Evaluation Through Simulation Series. In Proceedings of the 6th International Symposium on Electrical and Enlectronics Engineering (ISEEE), Galati, Romania, 18–20 October 2019; ISBN 9781728129068. [Google Scholar]
- Minzu, V.; Riahi, S.; Rusu, E. Optimal control of an ultraviolet water disinfection system. Appl. Sci. 2021, 11, 2638. [Google Scholar] [CrossRef]
- Minzu, V.; Riahi, S.; Rusu, E. Implementation aspects regarding closed-loop control systems using evolutionary algorithms. Inventions 2021, 6, 53. [Google Scholar] [CrossRef]
- Kruse, R.; Borgelt, C.; Braune, C.; Mostaghim, S.; Steinbrecher, M. Computational Intelligence—A Methodological Introduction, 2nd ed.; Springer: Berlin/Heidelberg, Germany, 2016. [Google Scholar] [CrossRef]








| 1 | Obtain the current value of the state vector, x(k). |
| 2 | /*call Predictor function*/ |
| 3 | |
| 4 | Send towards the dynamic system |
| 5 | Shift the prediction horizon and wait for the next sampling period |
| function ← | |
| 1 | Initialize the light intensity vector according to Equation (31). |
| 2 | Initializations: |
| 3 | forj = 1,…,nl |
| 4 | EvalState(SPM, ) |
| 5 | if then |
| 6 | end |
| 7 | /*start computing */ |
| 8 | while |
| 9 | if |
| 10 | else |
| 11 | end |
| 12 | end |
| 13 | |
| 14 | /* start computing */ |
| 15 | ; |
| 16 | for |
| 17 | |
| 18 | if |
| 19 | ; |
| 20 | end |
| 21 | end |
| 22 | |
| 23 | /* start computing */ |
| 24 | |
| 25 | endSENSOR |
| functionPredictor_SZ(k, ) | |
| 1 | Initialization; /*space reservation for each particle*/ |
| 2 | |
| 3 | /*From SENSOR*/ |
| 4 | for /* if */ |
| 5 | /*Technological limits*/ |
| 6 | end |
| 7 | ) /*call the metaheuristic */ |
| 8 | |
| 9 | return |
| 1 | Initializations: PM parameters and constants, see Appendix A Some parameters and constants of the APSOA |
| 2 | mode = 0; p = 0.2; /*or mode = 1, or mode = 2*/ |
| 3 | Compute /*see (5)*/ |
| 4 | ; /*Initial biomass concentration*/ |
| 5 | state(1) ← ; |
| 6 | /*Final moment h*/ |
| 7 | ; /*SENSOR’s Horizon */ |
| 8 | ; /*Sampling moment counter*/ |
| 9 | whilek <= n − 1 |
| 10 | if (mode = 0) |
| 11 | |
| 12 | else /*mode = 1 or mode = 2*/ |
| 13 | if (mode = 2) |
| 14 | |
| 15 | end |
| 16 | end /*else*/ |
| 17 | end /*if*/ |
| 18 | ocs ← Predictor_SZ(k, ) |
| 19 | ocs(1); /* optimal control output */ /*Send towards the process */ |
| 20 | ; /*Wait for the next sampling moment and obtain the next state of the process*/ |
| 21 | /* the new initial state */ |
| 22 | /*next sampling period */ |
| 23 | state(k + 1) ← |
| 24 | end /*while*/ |
| 25 | /*Generate and display simulation results*/ |
| J | NCalls | |||
|---|---|---|---|---|
| 1.5 | 1.5012 | 3.3389 | 3.3273 | 210 |
| 1.8 | 1.8013 | 3.8872 | 3.8747 | 240 |
| 2.0 | 2.0005 | 4.5031 | 4.4984 | 195 |
| 2.2 | 2.2018 | 5.6522 | 5.6344 | 300 |
| 2.4 | 2.4035 | 6.2092 | 6.1744 | 180 |
| 2.6 | 2.6166 | 7.6403 | 7.4739 | 180 |
| 2.8 | 2.8926 | 9.8765 | 8.9504 | 330 |
| 3.0 | 3.0019 | 8.9459 | 8.9267 | 240 |
| Run # | J | Light | (g) | NCalls | Run # | J | Light | (g) | NCalls |
|---|---|---|---|---|---|---|---|---|---|
| 1 | 9.0136 | 9.0077 | 3.0006 | 960.00 | 16 | 9.2717 | 9.2717 | 3.0000 | 672.625 |
| 2 | 9.0423 | 9.0347 | 3.0008 | 665.000 | 17 | 9.3212 | 9.3212 | 3.0000 | 727.250 |
| 3 | 9.0523 | 9.0523 | 3.0000 | 951.000 | 18 | 9.2314 | 9.2314 | 3.0000 | 689.000 |
| 4 | 9.0448 | 9.0447 | 3.0000 | 845.000 | 19 | 9.2276 | 9.2276 | 3.0000 | 758.125 |
| 5 | 9.1961 | 9.1838 | 3.0012 | 940.000 | 20 | 9.2726 | 9.2726 | 3.0000 | 731.125 |
| 6 | 8.9792 | 8.9764 | 3.0003 | 962.000 | 21 | 9.2753 | 9.2753 | 3.0000 | 848.500 |
| 7 | 9.1024 | 9.0582 | 3.0044 | 663.000 | 22 | 9.3992 | 9.3992 | 3.0000 | 717.375 |
| 8 | 9.0728 | 9.0691 | 3.0004 | 959.000 | 23 | 9.2007 | 9.2007 | 3.0000 | 738.750 |
| 9 | 9.0605 | 9.0419 | 3.0019 | 841.000 | 24 | 9.2302 | 9.2302 | 3.0000 | 839.875 |
| 10 | 9.0059 | 8.9988 | 3.0007 | 941.000 | 25 | 9.4145 | 9.4145 | 3.0000 | 654.000 |
| 11 | 9.3527 | 9.3527 | 3.0000 | 773.625 | 26 | 9.4045 | 9.4045 | 3.0000 | 745.500 |
| 12 | 9.4327 | 9.4327 | 3.0000 | 662.875 | 27 | 9.2029 | 9.2029 | 3.0000 | 759.125 |
| 13 | 9.2569 | 9.2569 | 3.0000 | 747.750 | 28 | 9.4126 | 9.4126 | 3.0000 | 753.625 |
| 14 | 9.2506 | 9.2506 | 3.0000 | 785.125 | 29 | 9.2264 | 9.2264 | 3.0000 | 798.250 |
| 15 | 9.4629 | 9.4629 | 3.0000 | 812.375 | 30 | 9.2924 | 9.2924 | 3.0000 | 790.500 |
| Jmin | Javg | Jmax | Sdev | Jtypical |
|---|---|---|---|---|
| 8.979 | 9.224 | 9.463 | 0.142 | 9.226 |
| Run # | J | Light | (g) | NCalls | Run # | J | Light | (g) | Ncalls |
|---|---|---|---|---|---|---|---|---|---|
| 1 | 9.2035 | 9.2035 | 3.0 | 773.00 | 16 | 9.1755 | 9.1755 | 3.0 | 740.875 |
| 2 | 9.1904 | 9.1904 | 3.0 | 717.00 | 17 | 9.3622 | 9.3622 | 3.0 | 735.625 |
| 3 | 9.2315 | 9.2315 | 3.0 | 788.00 | 18 | 9.1986 | 9.1986 | 3.0 | 678.500 |
| 4 | 9.4021 | 9.4021 | 3.0 | 739.00 | 19 | 9.3125 | 9.3125 | 3.0 | 739.625 |
| 5 | 9.1366 | 9.1366 | 3.0 | 728.00 | 20 | 9.3089 | 9.3089 | 3.0 | 728.750 |
| 6 | 9.3324 | 9.3324 | 3.0 | 715.00 | 21 | 9.2234 | 9.2234 | 3.0 | 639.125 |
| 7 | 9.2815 | 9.2815 | 3.0 | 784.00 | 22 | 9.3419 | 9.3419 | 3.0 | 791.875 |
| 8 | 9.2265 | 9.2265 | 3.0 | 779.00 | 23 | 9.2711 | 9.2711 | 3.0 | 661.375 |
| 9 | 9.1967 | 9.1967 | 3.0 | 791.00 | 24 | 9.2027 | 9.2027 | 3.0 | 818.875 |
| 10 | 9.1718 | 9.1718 | 3.0 | 763.00 | 25 | 9.2818 | 9.2818 | 3.0 | 744.875 |
| 11 | 9.3391 | 9.3391 | 3.0 | 854.00 | 26 | 9.2994 | 9.2994 | 3.0 | 639.500 |
| 12 | 9.2078 | 9.2078 | 3.0 | 686.375 | 27 | 9.1633 | 9.1633 | 3.0 | 764.875 |
| 13 | 9.1327 | 9.1327 | 3.0 | 690.625 | 28 | 9.4251 | 9.4251 | 3.0 | 690.125 |
| 14 | 9.2975 | 9.2975 | 3.0 | 765.375 | 29 | 9.2925 | 9.2925 | 3.0 | 660.00 |
| 15 | 9.3036 | 9.3036 | 3.0 | 742.125 | 30 | 9.3970 | 9.3970 | 3.0 | 676.00 |
| Jmin | Javg | Jmax | Sdev | Jtypical |
|---|---|---|---|---|
| 9.133 | 9.264 | 9.425 | 0.080 | 9.271 |
| Run # | J | NCalls | Run # | J | Ncalls |
|---|---|---|---|---|---|
| 1 | 8.4403 | 704.250 | 16 | 8.4083 | 677.500 |
| 2 | 8.4640 | 638.000 | 17 | 8.3669 | 688.625 |
| 3 | 8.4104 | 612.000 | 18 | 8.4294 | 660.000 |
| 4 | 8.5084 | 648.875 | 19 | 8.4403 | 704.250 |
| 5 | 8.3898 | 715.000 | 20 | 8.4640 | 638.000 |
| 6 | 8.4294 | 660.000 | 21 | 8.4104 | 612.000 |
| 7 | 8.4403 | 704.250 | 22 | 8.5084 | 648.875 |
| 8 | 8.4560 | 768.750 | 23 | 8.3898 | 715.000 |
| 9 | 8.4576 | 810.125 | 24 | 8.3952 | 730.500 |
| 10 | 8.4159 | 740.625 | 25 | 8.3973 | 630.625 |
| 11 | 8.4429 | 728.375 | 26 | 8.3669 | 672.125 |
| 12 | 8.4224 | 724.125 | 27 | 8.4253 | 777.000 |
| 13 | 8.4655 | 702.375 | 28 | 8.4120 | 570.000 |
| 14 | 8.3984 | 714.750 | 29 | 8.4475 | 717.000 |
| 15 | 8.4156 | 648.000 | 30 | 8.4803 | 645.625 |
| Jmin | Javg | Jmax | Sdev | Jtypical |
|---|---|---|---|---|
| 8.367 | 8.430 | 8.508 | 0.036 | 8.429 |
Publisher’s Note: MDPI stays neutral with regard to jurisdictional claims in published maps and institutional affiliations. |
© 2021 by the authors. Licensee MDPI, Basel, Switzerland. This article is an open access article distributed under the terms and conditions of the Creative Commons Attribution (CC BY) license (https://creativecommons.org/licenses/by/4.0/).
Share and Cite
Minzu, V.; Ifrim, G.; Arama, I. Control of Microalgae Growth in Artificially Lighted Photobioreactors Using Metaheuristic-Based Predictions. Sensors 2021, 21, 8065. https://doi.org/10.3390/s21238065
Minzu V, Ifrim G, Arama I. Control of Microalgae Growth in Artificially Lighted Photobioreactors Using Metaheuristic-Based Predictions. Sensors. 2021; 21(23):8065. https://doi.org/10.3390/s21238065
Chicago/Turabian StyleMinzu, Viorel, George Ifrim, and Iulian Arama. 2021. "Control of Microalgae Growth in Artificially Lighted Photobioreactors Using Metaheuristic-Based Predictions" Sensors 21, no. 23: 8065. https://doi.org/10.3390/s21238065
APA StyleMinzu, V., Ifrim, G., & Arama, I. (2021). Control of Microalgae Growth in Artificially Lighted Photobioreactors Using Metaheuristic-Based Predictions. Sensors, 21(23), 8065. https://doi.org/10.3390/s21238065

