Heat Balance Calculation and Energy Efficiency Analysis for Building Clusters Based on Psychrometric Chart
Abstract
:1. Introduction
2. The Basic Assumptions
2.1. The Basic Structure of a Building Cluster Containing PRAS and Heating Network
2.2. Building Cluster Energy Management Principle
3. Heat Balance Calculation and Energy Efficiency Analysis Based on i-d Diagram
3.1. Heat Balance Calculations
3.2. Energy Efficiency Analysis
4. Building Cluster Energy Management Model Including PRAS and Heating Pipe Network
4.1. Objective Function
4.2. Constraint Condition
- Energy balance constraintswhere PA,k,t, PG,k,t, PPV,k,t, PWT,k,t, is the electric power, purchase power, photovoltaic power and wind power of ASHP of the kth building in the building cluster, respectively.
- Production model of air source heat pump [24]where QA,k,t is the heating power of the ASHP of the kth building in the building cluster. COP,t is the energy conversion efficiency COP value of the ASHP during the period t. PA,k,max and PA,k,min are the upper and lower limits of electrical power for ASHP of the kth building in the building cluster.
- Gas turbine output model [25]where QGB,t is the thermal power of GB in the period t. Hvg is the thermal value of natural gas, and ηGB is the thermal production efficiency of GB. QGB,max and QGB,min are the upper and lower limits of GB thermal power respectively.
- Heat net model
- 5.
- Thermal inertia model [7]The change of indoor heating balance is a slow process, which plays a certain buffer role in the process of air conditioning, and the specific expression is shown in Equation (27).where Qhi,k,t is the HI heating power of the kth building in the building cluster during period t.
- 6.
- Average comfort constraintwhere Sk is the average comfort level of the building, and Tem,k,t is the most comfortable temperature of the building in period t. Tin,k,min and Tin,k,max are the upper and upper human comfort temperature of the building, respectively. In order to ensure the fairness of the heating effect of each building in the building cluster, the average satisfaction of all buildings is set to be equal, as follows:
4.3. Solution Flow
5. Case Analysis
5.1. Basic Data
5.2. Result Validity Analysis
5.2.1. Iteration Result
5.2.2. Efficiency Analysis of Energy Management
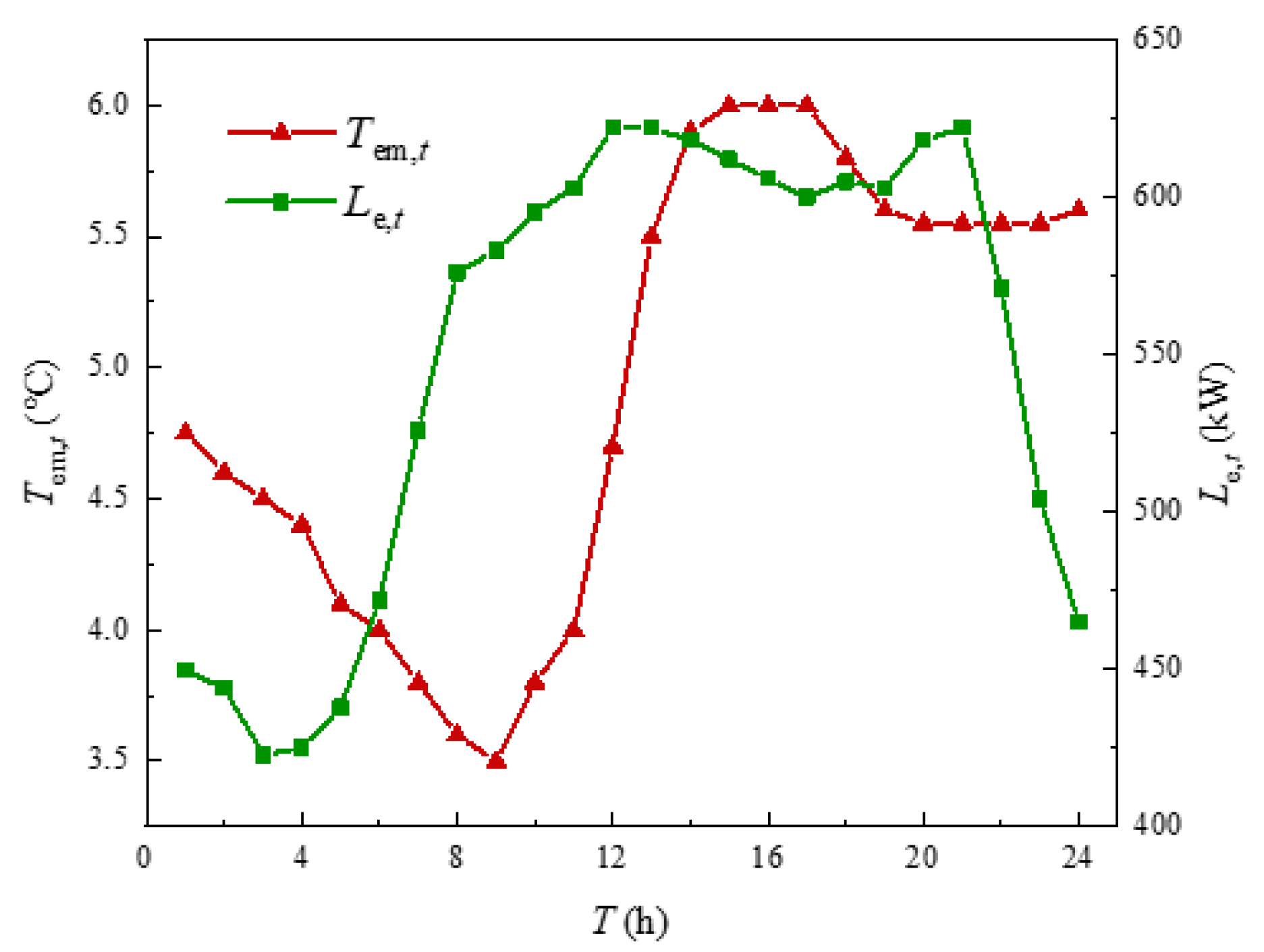
5.2.3. Energy Management Scheme
5.3. Results Sensitivity Analysis
5.3.1. Impact of Average Comfort on Energy Management of Building Clusters
5.3.2. Impact of Heat Use in Building Clusters on the Node and Pipe Temperatures of the Heating Network
6. Conclusions
- (1)
- The method proposed in this paper was capable of refining the calculation of building heating loads, quantitatively analyzing building energy efficiency, taking into account the average comfort level of building clusters, efficiently managing indoor temperatures and the heating schedules of ASHP, HN, and HI, improving operational economy and reducing energy consumption by considering many factors such as the enthalpy and humidity of indoor and outdoor air in building clusters and the set indoor temperature;
- (2)
- Using the method of this paper, the impact on the total operating cost of the building cluster was greatest when the average comfort level was between 93.6% and 98% under the environment of 3–6 °C outside temperature in winter, and the marginal cost of the average comfort level reaches 109.30, and the operating cost could be effectively reduced by reducing the average comfort level. As the average comfort level decreases, the impact gradually decreases and the marginal cost decreased to 11.36 when the average comfort level decreased to 91.6–92%, and it was not recommended to reduce the average comfort level again in order to reduce the operating cost.
Author Contributions
Funding
Institutional Review Board Statement
Informed Consent Statement
Data Availability Statement
Acknowledgments
Conflicts of Interest
References
- The International Energy Agency: The World Energy Brief Statistics in 2012. Available online: http://www.trqgy.cn/report/201303/23344.html (accessed on 10 October 2021).
- Wang, X.; Kendrick, C.; Ogden, R.; Walliman, N.; Baiche, B. A case study on energy consumption and overheating for a UK industrial building with roof lights. Appl. Energy 2013, 104, 337–344. [Google Scholar] [CrossRef]
- US DOE. Buildings Energy Data Book[EB/OL]. 2009. Available online: http://buildingsdatabook.eren.doe.gov (accessed on 10 October 2021).
- Marc, G.; Tobias, M.; Thomas, H. Estimation of the energy demand of electric buses based on real-world data for large-scale public transport networks. Appl. Energy 2018, 230, 344–356. [Google Scholar]
- Jing, L. Energy saving comparing between primary return air system with secondary return air system in dehumidification. Refrig. Air Cond. 2010, 12, 1–4. [Google Scholar]
- Chen, H.; Li, Z.; Jiang, T.; Li, X.; Zhang, R.F.; Li, G.Q. A Flexible Control Strategy for Intelligent Building Energy Use Based on Model Predictive Control. Autom. Power Syst. 2019, 43, 116–129. [Google Scholar]
- Jin, X.; Mu, Y.; Jia, H.; Yu, X.; Chen, N. Optimal scheduling method for a combined cooling, heating and power building microgrid considering virtual storage system at demand side. Proc. CSEE 2017, 37, 581–591. [Google Scholar]
- Xu, Q.S.; Yang, C.X.; Yan, Q.G. Daily peak cutting strategy of power load for large-scale air conditioning. Grid Technol. 2016, 40, 156–163. [Google Scholar]
- Baeten, B.; Rogiers, F.; Helsen, L. Reduction of heat pump induced peak electricity use and required generation capacity through thermal energy storage and demand response. Appl. Energy 2017, 195, 184–195. [Google Scholar] [CrossRef]
- Li, H.B.; Zhao, Y.M.; Liu, G.W.; Jiang, S.Y.; Zhao, Z.J. Energy Efficiency of Commercial Building AC and DC Distribution System Based on Time iming Simulation. Electrotech. J. 2020, 35, 4194–4206. [Google Scholar]
- Xing, L. Schneider Electric: Using the Energy Advisor Cloud Energy Efficiency Consultant as the accelerator to release the greater potential for building energy efficiency. Electr. Technol. 2019, 20, 3–4. [Google Scholar]
- Shi, Y.; Shen, J.; Zhang, C. Study on Cluster Building Coordination Control Scheme Based on Load Energy Efficiency Assessment. Electr. Age 2021, 26–31. [Google Scholar]
- Zhu, M.Y.; Pan, Y.Q.; Lv, Y.; Wang, Q.J.; Li, Y.M.; Huang, Z.Z.; Tao, Q.B. Application Review of Energy Consumption Prediction Models in Building Energy Efficiency Optimization. Build. Sci. 2020, 36, 35–46, 124. [Google Scholar]
- Wang, N.Y.; Zhao, J.Y.; Wang, Q. Building Energy Efficiency System of Rural Residential Buildings in Guanzhong Area, China. Build. Energy Effic. 2021, 49, 14–20. [Google Scholar]
- Ge, S.; Li, J.; Liu, H.; He, X. Demand-Side Energy Management Method for Building Clusters Applying Reinforcement Learning. Electr. Power Constr. 2021, 42, 16–26. [Google Scholar]
- Li, Z.N.; Su, S.; Jin, X.L.; Chen, H.H.; Wei, C.H.; Zhao, Z.M. Energy Management Strategy of Smart Buildings for Improving Wind Power Accommodation Ability [J/OL]. Power Syst. Technol. 2021, 6, 2288–2298. [Google Scholar] [CrossRef]
- Hu, Q.; Fang, X.; Li, F.; Xu, X.; Chen, C.F.; Hu, H. An approach to assess the responsive residential demand to financial incentives. In Proceedings of the 2015 IEEE Power & Energy Society General Meeting, Denver, CO, USA, 26–30 July 2015. [Google Scholar]
- Yoon, S.H.; Kim, S.Y.; Park, G.H.; Kim, Y.K.; Cho, C.H.; Park, B.H. Multiple power-based building energy management system for efficient management of building energy-ScienceDirect. Sustain. Cities Soc. 2018, 42, 462–470. [Google Scholar] [CrossRef]
- Deng, X. Energy saving management mode of commercial buildings based on property management. Shenzhen Daxue Xuebao (Ligong Ban)/J. Shenzhen Univ. Ence Eng. 2016, 33, 627. [Google Scholar] [CrossRef]
- Novikova, A.; Szalay, Z.; Horváth, M.; Becker, J.; Simaku, G.; Csoknyai, T. Assessment of energy-saving potential, associated costs and co-benefits of public buildings in Albania. Energy Effic. 2020, 1–21. [Google Scholar] [CrossRef]
- Liu, X.; Wang, C.C.; Feng, G.H.; Yin, Z.K.; Li, Z.H. Contribution Rate of Energy-saving Renovation of Existing Non-energy-energy-saving Residential Buildings in Typical Cities in Severe Cold Regions. Build. Sci. 2020, 36, 143–151. [Google Scholar]
- Erdélyi, P.; Rajkó, R. Using Interactive Psychrometric Charts to Visualize and Explore Psychrometric Processes. J. Chem. Educ. 2016, 93, 391–393. [Google Scholar] [CrossRef]
- Zhao, R. Air Conditioning-Version 3; Construction Industry: Beijing, China, 1994. [Google Scholar]
- Song, M.; Deng, S.; Dang, C.; Mao, N.; Wang, Z. Review on improvement for air source heat pump units during frosting and defrosting. Appl. Energy 2018, 211, 1150–1170. [Google Scholar] [CrossRef]
- Ren, S.; Dou, X.; Wang, Z.; Wang, J.; Wang, X. Wang Medium- and Long-Term Integrated Demand Response of Integrated Energy System Based on System Dynamics. Energies 2020, 13, 710. [Google Scholar] [CrossRef] [Green Version]
- Li, Z.; Wu, W.; Shahidehpour, M.; Wang, J.; Zhang, B. Combined heat and power dispatch considering pipeline energy storage of district heating network. In Proceedings of the 2017 IEEE Power & Energy Society General Meeting, Chicago, IL, USA, 16–20 July 2017. [Google Scholar] [CrossRef]
- Li, Z.; Wu, W.; Wang, J.; Zhang, B.; Zheng, T. Transmission-Constrained Unit Commitment Considering Combined Electricity and District Heating Networks. IEEE Trans. Sustain. Energy 2016, 7, 480–492. [Google Scholar] [CrossRef]
- DIW Berlin: DIETER. Available online: https://www.diw.de/de/diw_01.c.508843.de/forschung_beratung/nachhaltigkeit/umwelt/verkehr/energie/modelle/dieter/dieter.html (accessed on 17 May 2019).
- Chirambo, D. Addressing the renewable energy financing gap in Africa to promote universal energy access: Integrated renewable energy financing in Malawi. Renew. Sustain. Energy Rev. 2016, 62, 793–803. [Google Scholar] [CrossRef]
- Dou, X.; Wang, J.; Wang, Z.; Ding, T.; Wang, S.Z. A decentralized multi-energy resources aggregation strategy based on bi-level interactive transactions of virtual energy plant. Int. J. Elect. Power Energy Syst. 2021, 124, 106356. [Google Scholar] [CrossRef]
- Dou, X.; Wang, J.; Wang, Z.; Li, L.J.; Bai, L.Q.; Ren, S.H. A dynamic time-interval model predictive control based dispatch method for integrated energy system. J. Mod. Power Syst. Clean Energy 2020, 8, 39–50. [Google Scholar] [CrossRef]




















| Pipe Number | Length (m) | Flow (m3/h) |
|---|---|---|
| p1 | 100 | 120 |
| p2 | 800 | 30 |
| p3 | 600 | 90 |
| p4 | 300 | 50 |
| p5 | 700 | 40 |
| p6 | 700 | 40 |
| p7 | 300 | 50 |
| p8 | 600 | 90 |
| p9 | 800 | 30 |
| p10 | 100 | 120 |
| Parameter Name | Parameter Value |
|---|---|
| G | 150 kg/h |
| m | 15% |
| Hvg | 9.88 kJ/m3 |
| ηGB | 0.9 |
| R | 265 (m·°C)/kW |
| c | 4.2 kJ/(kg·°C) |
| ρ | 934.67 kg/m3 |
| Result | S1 | S3 |
|---|---|---|
| F ($) | 11,480.48 | 11,666.45 |
| Sk (%) | 97.91 | 100 |
| ηBEE (%) | 22.30 | 22.60 |
| F ($) | 11,480.48 | 11,666.45 |
Publisher’s Note: MDPI stays neutral with regard to jurisdictional claims in published maps and institutional affiliations. |
© 2021 by the authors. Licensee MDPI, Basel, Switzerland. This article is an open access article distributed under the terms and conditions of the Creative Commons Attribution (CC BY) license (https://creativecommons.org/licenses/by/4.0/).
Share and Cite
Yang, S.; Su, H.; Dou, X.; Chen, M.; Huang, Y. Heat Balance Calculation and Energy Efficiency Analysis for Building Clusters Based on Psychrometric Chart. Sensors 2021, 21, 7606. https://doi.org/10.3390/s21227606
Yang S, Su H, Dou X, Chen M, Huang Y. Heat Balance Calculation and Energy Efficiency Analysis for Building Clusters Based on Psychrometric Chart. Sensors. 2021; 21(22):7606. https://doi.org/10.3390/s21227606
Chicago/Turabian StyleYang, Shihai, Huiling Su, Xun Dou, Mingming Chen, and Yixuan Huang. 2021. "Heat Balance Calculation and Energy Efficiency Analysis for Building Clusters Based on Psychrometric Chart" Sensors 21, no. 22: 7606. https://doi.org/10.3390/s21227606
APA StyleYang, S., Su, H., Dou, X., Chen, M., & Huang, Y. (2021). Heat Balance Calculation and Energy Efficiency Analysis for Building Clusters Based on Psychrometric Chart. Sensors, 21(22), 7606. https://doi.org/10.3390/s21227606
