Sensor Selection and State Estimation for Unobservable and Non-Linear System Models
Abstract
:1. Introduction
2. Model Definition and Overall Estimator Setup
2.1. Definition of Model, Measurement and Quantities of Interest Equations
2.2. Linearisation and Discretisation of the Governing Equations
2.3. Overview of the Extended Kalman Filter Framework
- Stabilisation of the EKF for non-observable system states;
- Selection of the relevant sensors for the given quantities of interest.
3. Stabilisation of the Extended Kalman Filter for Unobservable System States
- Generation of the total observability matrix based on training data;
- Calculation of the observable subspace basis ;
- Transformation of the Kalman covariance equations.
3.1. Observability Analysis of the Extended Kalman Filter
3.2. Calculation of an Observable Projection Basis
3.3. Transformation of the Estimator Covariance Equations
4. Sensor Selection Using the Stabilised EKF Estimation Framework
4.1. Generate Training Data by Performing a Forward Simulation
4.2. Sensor Selection Algorithm
- Given the measurement matrix for the entire sensor space, and previously saved matrices from the training data, evaluate the covariance propagation for all simulation timesteps. The resulting mean of the quantity of interest covariance profile is the reference covariance .
- Iterate along the entire sensor space and perform during each iteration i:- (a)
- remove a sensor j from the sensor space obtaining ;
- (b)
- calculate transformation matrix and observability matrix kernel ;
- (c)
- check that none of the selected sensors depend on the kernel of the observability matrix . If any of the selected sensors are part of the kernel, the algorithm is stopped as the sensors are incapable of accurately estimating the quantities of interest;
- (d)
- if the previous criterion is fulfilled, propagate Kalman covariance equations defined by Equations (32)–(38) from Section 3.3 to obtain . The resulting mean of the quantity of interest is the sensor set covariance .
 
- Find the sensor with the lowest covariance , remove it from the sensor space and restart Step 2.
| Algorithm 1 Sensor selection | 
| 
 | 
5. Validation and Discussion
- A simple, numerical example to show the potential of the proposed methods to stabilise the estimator for unobservable states;
- An experimental validation case to show the engineering cases.
5.1. Simple Validation Case
5.1.1. Model Setup
5.1.2. Estimator Setup
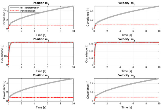
5.1.3. Discussion
5.2. Experimental Validation Case
5.2.1. Model Setup
- An exponential suspension spring characteristic;
- A linear suspension damper model;
- A linear tire model using cornering stiffnesses from Table 2.
- 1.
- Rear longitudinal tire forces;
- 2.
- Rear lateral tire forces;
- 3.
- Rear vertical tire forces;
- 4.
- Vehicle longitudinal and lateral position;
- 5.
- Vehicle side-slip angle.
5.2.2. Estimator Covariance Tuning
5.2.3. Discussion
6. Conclusions
Author Contributions
Funding
Institutional Review Board Statement
Informed Consent Statement
Data Availability Statement
Conflicts of Interest
Abbreviations
| GPS | Global Positioning System | 
| SVD | Singular Value Decomposition | 
| EKF | Extended Kalman Filter | 
| FIM | Fisher Information Matrix | 
| (D)ARE | (Discrete) Algebraic Riccati Equation | 
| DOF | Degree(s) Of Freedom | 
| IMU | Inertial Measurement Unit | 
| ESP | Electronic Stability Program | 
| QoI | Quantities of Interest | 
References
- Naets, F.; van Aalst, S.; Boulkroune, B.; Ghouti, N.E.; Desmet, W. Design and Experimental Validation of a Stable Two-Stage Estimator for Automotive Sideslip Angle and Tire Parameters. IEEE Trans. Veh. Technol. 2017, 66, 9727–9742. [Google Scholar] [CrossRef]
- Kullaa, J. Bayesian virtual sensing in structural dynamics. Mech. Syst. Signal Process. 2019, 115, 497–513. [Google Scholar] [CrossRef]
- Mansouri, M.; Nounou, H.; Nounou, M. State estimation of a chemical reactor process model—A comparative study. In Proceedings of the 10th International Multi-Conferences on Systems, Signals Devices 2013 (SSD13), Hammamet, Tunisia, 18–21 March 2013; pp. 1–6. [Google Scholar] [CrossRef]
- Langelaan, J. State Estimation for Autonomous Flight in Cluttered Environments. J. Guidance Control Dyn. 2007, 30, 1414–1426. [Google Scholar] [CrossRef]
- Chen, B.C.; Hsieh, F.C. Sideslip angle estimation using extended Kalman filter. Veh. Syst. Dyn. 2008, 46, 353–364. [Google Scholar] [CrossRef]
- Rozier, D.; Birol, F.; Cosme, E.; Brasseur, P.; Brankart, J.; Verron, J. A Reduced-Order Kalman Filter for Data Assimilation in Physical Oceanography. Soc. Ind. Appl. Math. 2007, 49, 449–465. [Google Scholar] [CrossRef] [Green Version]
- Petersen, Ø.W.; Øiseth, O.; Nord, T.S.; Lourens, E. Estimation of the full-field dynamic response of a floating bridge using Kalman-type filtering algorithms. Mech. Syst. Signal Process. 2018, 107, 12–28. [Google Scholar] [CrossRef] [Green Version]
- Ruggaber, J.; Brembeck, J. A Novel Kalman Filter Design and Analysis Method Considering Observability and Dominance Properties of Measurands Applied to Vehicle State Estimation. Sensors 2021, 21, 4750. [Google Scholar] [CrossRef]
- Emanuele, A.; Gasparotto, F.; Guerra, G.; Zorzi, M. Robust Distributed Kalman Filtering: On the Choice of the Local Tolerance. Sensors 2020, 20, 3244. [Google Scholar] [CrossRef]
- Rodríguez, A.J.; Sanjurjo, E.; Pastorino, R.; Ángel Naya, M. State, parameter and input observers based on multibody models and Kalman filters for vehicle dynamics. Mech. Syst. Signal Process. 2021, 155, 107544. [Google Scholar] [CrossRef]
- Risaliti, E.; Tamarozzi, T.; Vermaut, M.; Cornelis, B.; Desmet, W. Multibody model based estimation of multiple loads and strain field on a vehicle suspension system. Mech. Syst. Signal Process. 2019, 123, 1–25. [Google Scholar] [CrossRef]
- Adduci, R.; Vermaut, M.; Naets, F.; Croes, J.; Desmet, W. A Discrete-Time Extended Kalman Filter Approach Tailored for Multibody Models: State-Input Estimation. Sensors 2021, 21, 4495. [Google Scholar] [CrossRef]
- Simon, D. Optimal State Estimation: Kalman, H Infinity, and Nonlinear Approaches; Wiley-Interscience: New York, NY, USA, 2006. [Google Scholar]
- Hamann, H.; Hedrick, J.K.; Rhode, S.; Gauterin, F. Tire force estimation for a passenger vehicle with the Unscented Kalman Filter. In Proceedings of the 2014 IEEE Intelligent Vehicles Symposium Proceedings, Dearborn, MI, USA, 8–11 June 2014; pp. 814–819. [Google Scholar] [CrossRef] [Green Version]
- Röbenack, K.; Reinschke, K.J. An efficient method to compute Lie derivatives and the observability matrix for nonlinear systems. In Proceedings of the 2000 International Symposium on Nonlinear Theory and its Applications (NOLTA’2000), Dresden, Germany, 17–21 September 2000; pp. 17–21. [Google Scholar]
- Paradowski, T.; Lerch, S.; Damaszek, M.; Dehnert, R.; Tibken, B. Observability of Uncertain Nonlinear Systems Using Interval Analysis. Algorithms 2020, 13, 66. [Google Scholar] [CrossRef] [Green Version]
- Soto, G.G.; Mendes, E.; Razek, A. Reduced-order observers for rotor flux, rotor resistance and speed estimation for vector controlled induction motor drives using the extended Kalman filter technique. IEE Proc. Electr. Power Appl. 1999, 146, 282–288. [Google Scholar] [CrossRef]
- Aranda, J.; Cruz, J.M.D.L.; Dormido, S.; Ruipérez, P.; Hernández, R. Reduced-order Kalman filter for alignment. Cybern. Syst. 1994, 25, 1–16. [Google Scholar] [CrossRef]
- Simon, D. Reduced Order Kalman Filtering without Model Reduction. Control Intell. Syst. 2007, 35, 169–174. [Google Scholar] [CrossRef] [Green Version]
- Yonezawa, K. Reduced-Order Kalman Filtering with Incomplete Observability. J. Guidance Control 1980, 3, 280–282. [Google Scholar] [CrossRef]
- Yang, C.; Blasch, E.; Douville, P. Design of Schmidt-Kalman filter for target tracking with navigation errors. In Proceedings of the 2010 IEEE Aerospace Conference, Big Sky, MT, USA, 6–13 March 2010; pp. 1–12. [Google Scholar]
- Van Der Merwe, R.; Wan, E.A. Sigma-Point Kalman Filters for Probabilistic Inference in Dynamic State-Space Models. Ph.D. Thesis, Oregon Health & Science University, Portland, OR, USA, 2004. [Google Scholar]
- Salau, N.P.; Trierweiler, J.O.; Secchi, A.R. Observability analysis and model formulation for nonlinear state estimation. Appl. Math. Model. 2014, 38, 5407–5420. [Google Scholar] [CrossRef]
- Semaan, R. Optimal sensor placement using machine learning. Comput. Fluids 2016, 159, 167–176. [Google Scholar] [CrossRef] [Green Version]
- Yamada, K.; Saito, Y.; Nankai, K.; Nonomura, T.; Asai, K.; Tsubakino, D. Fast greedy optimization of sensor selection in measurement with correlated noise. Mech. Syst. Signal Process. 2021, 158, 107619. [Google Scholar] [CrossRef]
- Cumbo, R.; Mazzanti, L.; Tamarozzi, T.; Jiránek, P.; Desmet, W.; Naets, F. Advanced optimal sensor placement for Kalman-based multiple-input estimation. Mech. Syst. Signal Process. 2021, 160, 107830. [Google Scholar] [CrossRef]
- Zhang, H.; Ayoub, R.; Sundaram, S. Sensor selection for optimal filtering of linear dynamical systems: Complexity and approximation. In Proceedings of the 2015 54th IEEE Conference on Decision and Control (CDC), Osaka, Japan, 15–18 December 2015; pp. 5002–5007. [Google Scholar] [CrossRef]
- Zhou, P.B. Finite Difference Method. In Numerical Analysis of Electromagnetic Fields; Springer: Berlin/Heidelberg, Germany, 1993; pp. 63–94. [Google Scholar] [CrossRef]
- Pastorino, R.; Richiedei, D.; Cuadrado, J.; Trevisani, A. State estimation using multibody models and non-linear Kalman filters. Int. J. Non-Linear Mech. 2013, 53, 83–90. [Google Scholar] [CrossRef]
- Beylkin, G.; Keiser, J.M.; Vozovoi, L. A New Class of Time Discretization Schemes for the Solution of Nonlinear PDEs. J. Comput. Phys. 1998, 147, 362–387. [Google Scholar] [CrossRef] [Green Version]
- Shampine, L.F.; Reichelt, M.W. The MATLAB ODE Suite. SIAM J. Sci. Comput. 1997, 18, 1–22. [Google Scholar] [CrossRef] [Green Version]
- Gu, M.H.; Cho, C.; Chu, H.Y.; Kang, N.W.; Lee, J.G. Uncertainty propagation on a nonlinear measurement model based on Taylor expansion. Meas. Control 2021, 54, 209–215. [Google Scholar] [CrossRef]
- Gustafsson, F.; Hendeby, G. On nonlinear transformations of stochastic variables and its application to nonlinear filtering. In Proceedings of the 2008 IEEE International Conference on Acoustics, Speech and Signal Processing, Las Vegas, NV, USA, 31 March–4 April 2008; pp. 3617–3620. [Google Scholar] [CrossRef] [Green Version]
- Hartley, R.; Zisserman, A. Multiple View Geometry in Computer Vision, 2th ed.; Cambridge University Press: Cambridge, UK, 2003. [Google Scholar]
- Naets, F.; Croes, J.; Desmet, W. An online coupled state/input/parameter estimation approach for structural dynamics. Comput. Methods Appl. Mech. Eng. 2015, 283, 1167–1188. [Google Scholar] [CrossRef]
- Hermann, R.; Krener, A. Nonlinear controllability and observability. IEEE Trans. Autom. Control 1977, 22, 728–740. [Google Scholar] [CrossRef] [Green Version]
- Karvonen, T.; Bonnabel, S.; Moulines, E.; Särkkä, S. On Stability of a Class of Filters for Nonlinear Stochastic Systems. SIAM J. Control Optim. 2020, 58, 2023–2049. [Google Scholar] [CrossRef]
- Shi, X.; Williams, M.; Chatzis, M. A robust algorithm to test the observability of large linear systems with unknown parameters. Mech. Syst. Signal Process. 2021, 157, 107633. [Google Scholar] [CrossRef]
- Banerjee, S.; Roy, A. Linear Algebra and Matrix Analysis for Statistics, 1st ed.; Chapman and Hall/CRC: Boca Raton, FL, USA, 6 June 2014. [Google Scholar]
- van Aalst, S.; Naets., F.; Boulkroune, B.; Nijs, W.D.; Desmet, W. An Adaptive Vehicle Sideslip Estimator for Reliable Estimation in Low and High Excitation Driving. IFAC-PapersOnLine 2018, 51, 243–248. [Google Scholar] [CrossRef]
- Vaseur, C.; van Aalst, S.; Desmet, W. Vehicle state and tire force estimation: Performance analysis of pre and post sensor additions. In Proceedings of the 2020 IEEE Intelligent Vehicles Symposium (IV), Las Vegas, NV, USA, 19 October–13 November 2020; pp. 1615–1620. [Google Scholar] [CrossRef]







| Parameter | Value | 
|---|---|
| , , (kg) | 10 | 
| , (N/m) | 1000 | 
| Vehicle Property | Abbreviation | Value | 
|---|---|---|
| Vehicle mass | m | |
| Yaw moment of inertia | ||
| Distance between COG and front axle | ||
| Distance between COG and rear axle | ||
| Track width of front axle | ||
| Track width of rear axle | ||
| Height of COG | ||
| Front axle cornering stiffness | 88,500 N/rad | |
| Rear axle cornering stiffness | 118,200 N/rad | 
| Publisher’s Note: MDPI stays neutral with regard to jurisdictional claims in published maps and institutional affiliations. | 
© 2021 by the authors. Licensee MDPI, Basel, Switzerland. This article is an open access article distributed under the terms and conditions of the Creative Commons Attribution (CC BY) license (https://creativecommons.org/licenses/by/4.0/).
Share and Cite
Devos, T.; Kirchner, M.; Croes, J.; Desmet, W.; Naets, F. Sensor Selection and State Estimation for Unobservable and Non-Linear System Models. Sensors 2021, 21, 7492. https://doi.org/10.3390/s21227492
Devos T, Kirchner M, Croes J, Desmet W, Naets F. Sensor Selection and State Estimation for Unobservable and Non-Linear System Models. Sensors. 2021; 21(22):7492. https://doi.org/10.3390/s21227492
Chicago/Turabian StyleDevos, Thijs, Matteo Kirchner, Jan Croes, Wim Desmet, and Frank Naets. 2021. "Sensor Selection and State Estimation for Unobservable and Non-Linear System Models" Sensors 21, no. 22: 7492. https://doi.org/10.3390/s21227492
APA StyleDevos, T., Kirchner, M., Croes, J., Desmet, W., & Naets, F. (2021). Sensor Selection and State Estimation for Unobservable and Non-Linear System Models. Sensors, 21(22), 7492. https://doi.org/10.3390/s21227492
 
         
                                                


 
                         
       