Metamaterial-Integrated High-Gain Rectenna for RF Sensing and Energy Harvesting Applications †
Abstract
:1. Introduction
2. Design and Analysis of the MTM Integrated High-Gain Rectenna
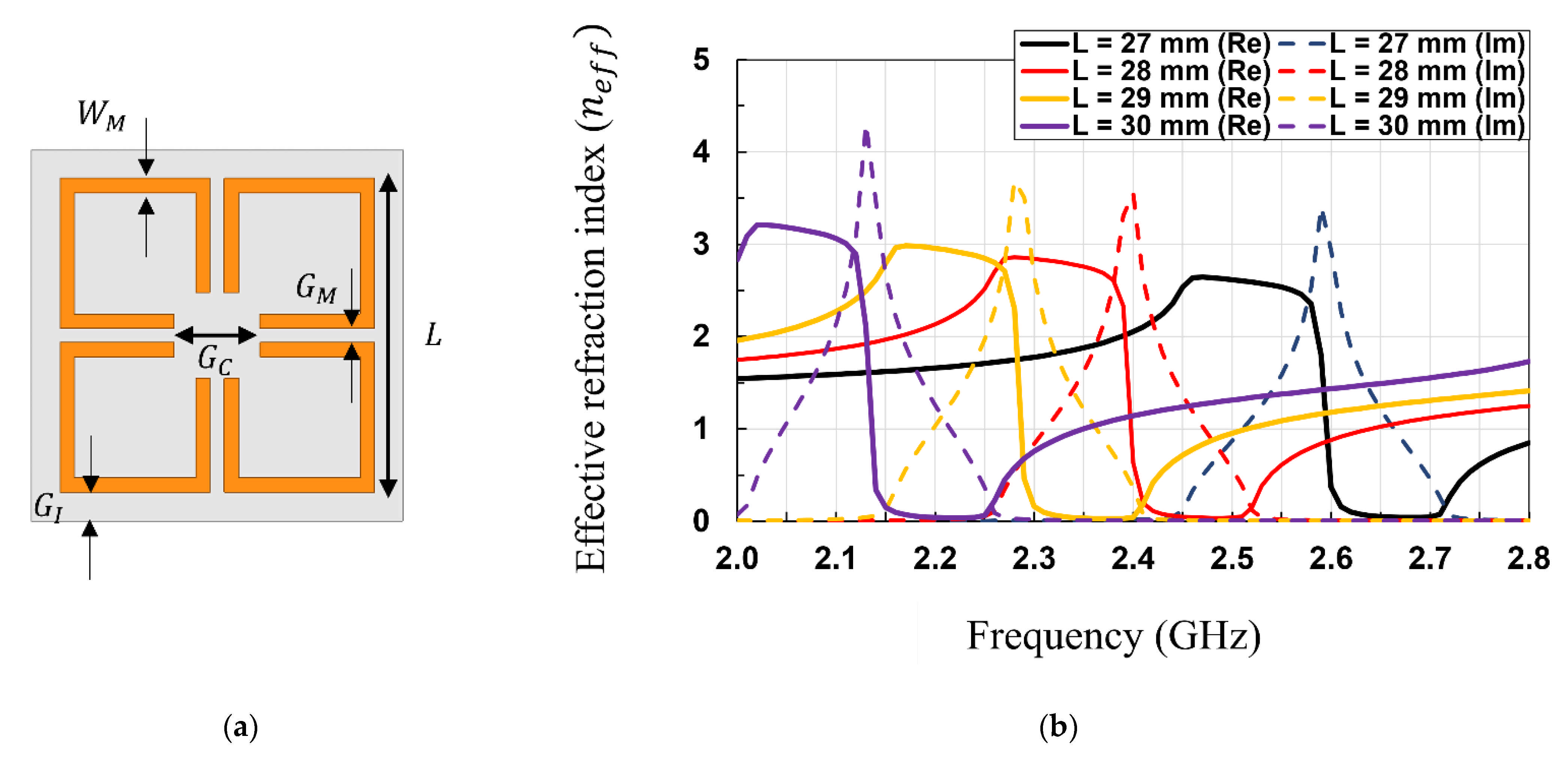
2.1. Design of the MTM Unit Cell
2.2. Design of the MTM Integrated Patch Antenna
2.3. Design of the Rectifier Circuit
3. Fabrication of the MTM Integrated High-Gain Rectenna
4. Simulated and Measured Results
4.1. Simulated and Measured Results of the Patch Antenna with and without MTM Superstrate
4.2. Simulated and Measured Results of the Rectifier Circuit
4.3. Measured Results of the MTM Integrated High-Gain Rectenna
4.4. Comparison
5. Conclusions
Author Contributions
Funding
Institutional Review Board Statement
Informed Consent Statement
Data Availability Statement
Acknowledgments
Conflicts of Interest
References
- Arrawatia, M.; Baghini, M.S.; Kumar, G. Broadband bent triangular omnidirectional antenna for RF energy harvesting. IEEE Antennas Wirel. Propag. Lett. 2016, 15, 36–39. [Google Scholar] [CrossRef]
- Zakaria, Z.; Zainuddin, N.A.; Aziz, M.Z.A.A.; Husain, M.N.; Mutalib, M.A. Dual-band monopole antenna for energy harvesting system. In Proceedings of the IEEE Symposium on Wireless Technology and Applications (ISWTA), Kuching, Malaysia, 22–25 September 2013; pp. 225–229. [Google Scholar]
- Lin, W.; Ziolkowski, R.W. Electrically small, single-substrate huygens dipole rectenna for ultracompact wireless power transfer applications. IEEE Trans. Antennas Propag. 2021, 69, 1130–1134. [Google Scholar] [CrossRef]
- Sun, Y.; Guo, X.; He, M.; Zhong, Z. Design of a high-efficiency 2.45-GHz rectenna for low-input-power energy harvesting. IEEE Antennas Wirel. Propag. Lett. 2012, 11, 929–932. [Google Scholar]
- Tu, W.H.; Hsu, S.H.; Chang, K. Compact 5.8-GHz rectenna using stepped-impedance dipole antenna. IEEE Antennas Wirel. Propag. Lett. 2017, 6, 282–284. [Google Scholar] [CrossRef]
- Harouni, Z.; Cirio, L.; Osman, L.; Gharsallah, A.; Picon, O. A dual circularly polarized 2.45-GHz rectenna for wireless power transmission. IEEE Antennas Wirel. Propag. Lett. 2021, 10, 306–309. [Google Scholar] [CrossRef]
- Song, C.; Huang, Y.; Zhou, J.; Zhang, J.; Yuan, S.; Carter, P. A high-efficiency broadband rectenna for ambient wireless energy harvesting. IEEE Trans. Antennas Propag. 2015, 63, 3486–3495. [Google Scholar] [CrossRef] [Green Version]
- Song, C.; Huang, Y.; Carter, P.; Zhou, J.; Yuan, S.; Xu, Q.; Kod, M. A novel six-band dual CP rectenna using improved impedance matching technique for ambient RF energy harvesting. IEEE Trans. Antennas Propag. 2016, 64, 3160–3171. [Google Scholar] [CrossRef] [Green Version]
- Hassan, N.; Zakaria, Z.; Sam, W.Y.; Hanapiah, I.N.M.; Mohamad, A.N.; Roslan, A.F.; Ahmad, B.H.; Ismail, M.K.; Aziz, M.Z.A.A. Design of dual-band microstrip patch antenna with rightangle triangular aperture slot for energy transfer application. Int. J. RF Microw. Comput.-Aided Eng. 2019, 29, e21666. [Google Scholar] [CrossRef] [Green Version]
- Shi, Y.; Fan, Y.; Li, Y.; Yang, L.; Wang, M. An efficient broadband slotted rectenna for wireless power transfer at LTE band. IEEE Trans. Antennas Propag. 2019, 67, 814–822. [Google Scholar] [CrossRef]
- Hagerty, J.A.; Helmbrecht, F.B.; McCalpin, W.H.; Zane, R. Popovic, Z.B. Recycling ambient microwave energy with broad-band rectenna arrays. IEEE Trans. Microw. Theory Tech. 2004, 52, 1014–1024. [Google Scholar] [CrossRef]
- Strassner, B.; Chang, K. 5.8-GHz circularly polarized rectifying antenna for wireless microwave power transmission. IEEE Trans. Microw. Theory Tech. 2002, 50, 1870–1876. [Google Scholar] [CrossRef]
- Arrawatia, M.; Baghini, M.S.; Kumar, G. Differential microstrip antenna for RF energy harvesting. IEEE Trans. Antennas Propag. 2015, 63, 1581–1588. [Google Scholar] [CrossRef]
- Sun, H. An enhanced rectenna using differentially-fed rectifier for wireless power transmission. IEEE Antennas Wirel. Propag. Lett. 2016, 15, 32–35. [Google Scholar] [CrossRef]
- Ren, Y.J.; Chang, K. 5.8 GHz circularly polarized dual-diode rectenna and rectenna array for microwave power transmission. IEEE Trans. Microw. Theory Tech. 2006, 54, 1495–1502. [Google Scholar]
- Fakharian, M.M. A wideband rectenna using high gain fractal planar monopole antenna array for rf energy scavenging. Int. J. Antennas Propag. 2020, 2020, 3489323. [Google Scholar] [CrossRef]
- Ladan, S.; Guntupalli, A.B.; Wu, K. A high-efficiency 24 GHz rectenna development towards millimeter-wave energy harvesting and wireless power transmission. IEEE Trans. Circuits Syst. I Regul. Pap. 2014, 61, 3358–3366. [Google Scholar] [CrossRef]
- Yang, X.X.; Jiang, C.; Elsherbeni, A.Z.; Yang, F.; Wang, Y. A novel compact printed rectenna for data communication systems. IEEE Trans. Antennas Propag. 2013, 61, 2532–2539. [Google Scholar] [CrossRef]
- Samantaray, D.; Bhattacharyya, S. A Gain-Enhanced Slotted Patch Antenna Using Metasurface as Superstrate Configuration. IEEE Trans. Antennas Propag. 2020, 68, 6548–6556. [Google Scholar] [CrossRef]
- Singh, A.K.; Abegaonkar, M.P.; Koul, S.K. High-gain and high-aperture-efficiency cavity resonator antenna using metamaterial superstrate. IEEE Antennas Wirel. Propag. Lett. 2017, 16, 2388–2391. [Google Scholar] [CrossRef]
- Kim, C.; Lee, K.; Lee, S.; Kim, K.T.; Yoon, Y. A surface micromachined high directivity GPS patch antenna with a four-leaf clover shape metamaterial slab. In Proceedings of the 2012 IEEE 62nd Electronic Components and Technology Conference (ECTC), San Diego, CA, USA, 29 May–1 June 2012; pp. 942–947. [Google Scholar]
- Lee, W.; Kim, H.; Yoon, Y.-K. Metamaterial-inspired dual-function loop antenna for wireless power transfer and wireless communications. In Proceedings of the 2020 IEEE 70th Electronic Components and Technology Conference (ECTC), Orlando, FL, USA, 3–30 June 2020; pp. 1351–1357. [Google Scholar]
- Padilla, W.J.; Basov, D.N.; Smith, D.R. Negative refractive index metamaterials. Mater. Today 2006, 9, 28–35. [Google Scholar] [CrossRef]
- Lee, W.; Yoon, Y.-K. Wireless power transfer systems using metamaterials: A review. IEEE Access 2020, 8, 147930–147947. [Google Scholar] [CrossRef]
- Lee, W.; Kim, H.; Hwang, S.; Jeon, S.; Cho, H.; Yoon, Y.-K. 3D integrated high gain rectenna in package with metamaterial superstrates for high efficiency wireless power transfer applications. In Proceedings of the 2021 IEEE 71st Electronic Components and Technology Conference (ECTC), Virtual Meeting, 1 June–4 July 2021; pp. 1317–1322. [Google Scholar]
- Smith, D.; Schultz, S.; Markos, P.; Soukoulis, C. Determination of effective permittivity and permeability of metamaterials from reflection and transmission coefficients. Phys. Rev. B 2002, 65, 195104. [Google Scholar] [CrossRef] [Green Version]
- Smith, D.; Vier, D.; Koschny, T.; Soukoulis, C. Electromagnetic parameter retrieval from inhomogeneous metamaterials. Phys. Rev. E 2005, 71, 036617. [Google Scholar] [CrossRef] [Green Version]
- Chen, X.; Grzegorczyk, T.M.; Wu, B.-I.; Pacheco, J., Jr.; Kong, J.A. Robust method to retrieve the constitutive effective parameters of metamaterials. Phys. Rev. E 2004, 70, 016608. [Google Scholar] [CrossRef] [Green Version]















| Case | Peak Gain (dBi) | Improved Peak Gain (dB) |
|---|---|---|
| Patch only | 6.15 | - |
| Patch with 2 × 2 MTM superstrate | 8.44 | 2.29 |
| Patch with 3 × 3 MTM superstrate | 10.93 | 4.78 |
| Patch with 4 × 4 MTM superstrate | 12.3 | 6.15 |
| Patch with 5 × 5 MTM superstrate | 12.25 | 6.1 |
| Parameters | Patch Only | Patch with MTM | ||
|---|---|---|---|---|
| Simulated | Measured | Simulated | Measured | |
| Return loss (dB) | −27.05 | −25.88 | −40.34 | −30.13 |
| Resonant frequency (GHz) | 2.46 | 2.479 | 2.45 | 2.465 |
| 10-dB bandwidth (GHz) | 0.039 | 0.044 | 0.051 | 0.061 |
| Peak gain (dBi) | 6.15 | 5.75 | 12.3 | 11.87 |
| Parameters | [25] | This Work |
|---|---|---|
| Substrate | FR4 (ε = 4.4, δ = 0.03) | RO5880 (ε = 2.2, δ = 0.0009) |
| Operating Frequency | 2.45 GHz | 2.45 GHz |
| Dimensions (mm3) | 150 × 150 × 14.71 (0.18 λ3) | 158 × 158 × 14.71 (0.199 λ3) |
| Peak gain without MTM | 4.78 dBi | 5.75 dBi |
| Peak gain with MTM | 10.7 dBi | 11.87 dBi |
| Improved gain | 5.92 dB | 6.12 dB |
| Resistive load | 1 kΩ | 1.1 kΩ |
| Peak RF–DC conversion efficiency | 63.5% @ 10.5 dBm input | 78.9% @ 9 dBm input |
| DC power at peak efficiency | 6.35 mW | 6.27 mW |
| Ref. | Operating Frequency (GHz) | Technique | Diode | Antenna Dimensions (mm3) | Pin (dBm)/ S (µW/cm2) | RF–DC Conversion Efficiency (%) | Design Complexity/Rectenna Integration | Antenna Gain (dBi) |
|---|---|---|---|---|---|---|---|---|
| [12] | 5.8 | Reflecting surface | MA40150-119 | - | 20/- | 80 | High/Yes | 10.7 |
| [4] | 2.45 | Reflecting surface | HSMS2852 | 110 × 90 × 20.6 * (0.113 λ3) | -/1.95 | 80.03 | Low/Yes | 8.6 |
| [13] | 0.9 | Differential patch | - | 137 × 137 × 21.2 (0.01 λ3) | 2.19/- | 65.3 | High/No | 8.5 |
| [16] | 0.95 | Antenna array | HSMS285C | 165 × 165 × 0.8 (0.18 λ3) | 5/- | 76 | High/No | 8.5 |
| [17] | 24 | SIW cavity | MA4E1317 | 55 × 55 × 0.5 * (0.776 λ3) | 12.55/- | 42 | High/Yes | 12.6 |
| [9] | 2.4 | Air gap, aperture coupling | HSMS286B | 110 × 89 × 5.07 (0.026 λ3) | 10/- | 32.52 | Intermediate/No | 7.82 |
| [18] | 5.78 | Aperture coupling | HSMS2860 | 40 × 40 × 1.6 (0.026 λ3) | 13.98/- | 63 | High/No | 7 |
| This work | 2.45 | MTM superstrate | HSMS2560 | 158 × 158 × 14.71 * (0.199 λ3) | 9/- | 78.9 | Low/Yes | 11.87 |
Publisher’s Note: MDPI stays neutral with regard to jurisdictional claims in published maps and institutional affiliations. |
© 2021 by the authors. Licensee MDPI, Basel, Switzerland. This article is an open access article distributed under the terms and conditions of the Creative Commons Attribution (CC BY) license (https://creativecommons.org/licenses/by/4.0/).
Share and Cite
Lee, W.; Choi, S.-i.; Kim, H.-i.; Hwang, S.; Jeon, S.; Yoon, Y.-K. Metamaterial-Integrated High-Gain Rectenna for RF Sensing and Energy Harvesting Applications. Sensors 2021, 21, 6580. https://doi.org/10.3390/s21196580
Lee W, Choi S-i, Kim H-i, Hwang S, Jeon S, Yoon Y-K. Metamaterial-Integrated High-Gain Rectenna for RF Sensing and Energy Harvesting Applications. Sensors. 2021; 21(19):6580. https://doi.org/10.3390/s21196580
Chicago/Turabian StyleLee, Woosol, Suk-il Choi, Hae-in Kim, Sunghyun Hwang, Saeyoung Jeon, and Yong-Kyu Yoon. 2021. "Metamaterial-Integrated High-Gain Rectenna for RF Sensing and Energy Harvesting Applications" Sensors 21, no. 19: 6580. https://doi.org/10.3390/s21196580
APA StyleLee, W., Choi, S.-i., Kim, H.-i., Hwang, S., Jeon, S., & Yoon, Y.-K. (2021). Metamaterial-Integrated High-Gain Rectenna for RF Sensing and Energy Harvesting Applications. Sensors, 21(19), 6580. https://doi.org/10.3390/s21196580

