A Total Lp-Norm Optimization for Bearing-Only Source Localization in Impulsive Noise with SαS Distribution
Abstract
1. Introduction
- Development of a new bias reduced estimator based on TLPO for BOSL when the measurement noise is modeled as distribution;
- Development of two algorithms for TLPO optimization using the IGED approach and the GLM method, respectively.
2. Lp-Norm Optimization for Robust BOSL
2.1. Symmetric Alpha-Stable Distribution
2.2. Measurement Model
2.3. Minimum Dispersion Criterion
3. Pseudolinear Lp-Norm Minimization
3.1. Pseudolinear Estimator
3.2. Iteratively Reweighted Pseudolinear Least-Squares Algorithm
| Algorithm 1 The IRPLS algorithm. |
4. Total Lp-Norm Optimization
4.1. Method Description
4.2. The IGED Algorithm
| Algorithm 2 The IGED algorithm. |
|
4.3. The GLM Algorithm
| Algorithm 3 The GLM algorithm. |
|
4.4. Computational Complexity Analysis
5. Performance Bound
6. Simulations
6.1. Various Levels of Noise Dispersion
6.2. Different Number of Sensors
6.3. Various Values of Noise Impulsiveness
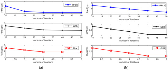
6.4. Different Number of Iterations
6.5. Scalability Evaluation
7. Conclusions
Author Contributions
Funding
Institutional Review Board Statement
Informed Consent Statement
Data Availability Statement
Conflicts of Interest
References
- Li, X.; Luo, X.; Zhao, S. Globally Convergent Distributed Network Localization Using Locally Measured Bearings. IEEE Trans. Control. Netw. Syst. 2020, 7, 245–253. [Google Scholar] [CrossRef]
- Kaplan, L.M.; Le, Q. On exploiting propagation delays for passive target localization using bearings-only measurements. J. Frankl. Inst. 2005, 342, 193–211. [Google Scholar] [CrossRef]
- Volgyesi, P.; Balogh, G.; Nadas, A.; Nash, C.B.; Ledeczi, A. Shooter localization and weapon classification with soldier-wearable networked sensors. In Proceedings of the International Conference on Mobile Systems, Applications and Services, San Juan, Puerto Rico, 11–13 June 2007; pp. 113–126. [Google Scholar]
- Ali, A.M.; Yao, K.; Collier, T.C.; Taylor, C.E.; Blumstein, D.T.; Girod, L. An empirical study of collaborative acoustic source localization. J. Signal Process. Syst. 2009, 57, 415–436. [Google Scholar] [CrossRef]
- Wang, Y.; Wang, G.; Chen, S.; Ho, K.C.; Huang, L. An Investigation and Solution of Angle Based Rigid Body Localization. IEEE Trans. Signal Process. 2020, 68, 5457–5472. [Google Scholar] [CrossRef]
- Doğançay, K. Bias compensation for the bearings-only pseudolinear target track estimator. IEEE Trans. Signal Process. 2006, 54, 59–68. [Google Scholar] [CrossRef]
- Wang, Y.; Ho, K.C. An Asymptotically Efficient Estimator in Closed-Form for 3-D AOA Localization Using a Sensor Network. IEEE Trans. Wirel. Commun. 2015, 14, 6524–6535. [Google Scholar] [CrossRef]
- Gavish, M.; Weiss, A.J. Performance analysis of bearing-only target location algorithms. IEEE Trans. Aerosp. Electron. Syst. 1992, 28, 817–828. [Google Scholar] [CrossRef]
- Luo, J.A.; Shao, X.H.; Peng, D.L.; Zhang, X.P. A Novel Subspace Approach for Bearing-Only Target Localization. IEEE Sens. J. 2019, 19, 8174–8182. [Google Scholar] [CrossRef]
- Swami, A.; Sadler, B.M. TDE, DOA and related parameter estimation problems in impulsive noise. In Proceedings of the IEEE Signal Processing Workshop on Higher-Order Statistics, Banff, AB, Canada, 21–23 July 1997; pp. 273–277. [Google Scholar]
- Kozick, R.J.; Sadler, B.M. Maximum-likelihood array processing in non-Gaussian noise with Gaussian mixtures. IEEE Trans. Signal Process. 2000, 48, 3520–3535. [Google Scholar]
- Oh, H.; Seo, D.; Nam, H. Design of a Test for Detecting the Presence of Impulsive Noise. Sensors 2020, 20, 7135. [Google Scholar] [CrossRef]
- Shao, M.; Nikias, C.L. Signal processing with fractional lower order moments: Stable processes and their applications. Proc. IEEE 1993, 81, 986–1010. [Google Scholar] [CrossRef]
- Nguyen, N.H.; Doğançay, K.; Kuruoğlu, E.E. An Iteratively Reweighted Instrumental-Variable Estimator for Robust 3-D AOA Localization in Impulsive Noise. IEEE Trans. Signal Process. 2019, 67, 4795–4808. [Google Scholar] [CrossRef]
- Zhong, X.; Premkumar, A.B.; Madhukumar, A.S. Particle Filtering for Acoustic Source Tracking in Impulsive Noise with Alpha-Stable Process. IEEE Sens. J. 2013, 13, 589–600. [Google Scholar] [CrossRef]
- Tsakalides, P.; Nikias, C.L. Maximum likelihood localization of sources in noise modeled as a stable process. IEEE Trans. Signal Process. 1995, 43, 2700–2713. [Google Scholar] [CrossRef]
- Luo, J.A.; Fang, F.; Shi, Y.F.; Shen-Tu, H.; Guo, Y.F. L1-Norm and Lp-Norm Optimization for Bearing-Only Positioning in Presence of Unreliable Measurements. In Proceedings of the Chinese Control And Decision Conference (CCDC), Hefei, China, 22–24 August 2020; pp. 1201–1205. [Google Scholar]
- Maronna, B.R.A.; Martin, D.R.; Yohai, V.J. Robust Statistics: Theory and Methods; Wiley: New York, NY, USA, 2006. [Google Scholar]
- Liu, Y.; Hu, Y.H.; Pan, Q. Distributed, robust acoustic source localization in a wireless sensor network. IEEE Trans. Signal Process. 2012, 60, 4350–4359. [Google Scholar] [CrossRef]
- Jiang, Y.; Azimi-Sadjadi, M.R. A robust source localization algorithm applied to acoustic sensor network. In Proceedings of the IEEE International Conference on Acoustics, Speech and Signal Processing, Honolulu, HI, USA, 15–20 April 2007; pp. 1233–1236. [Google Scholar]
- Panigrahi, T.; Panda, G.; Mulgrew, B.; Majhi, B. Robust incremental LMS over wireless sensor network in impulsive noise. In Proceedings of the International Conference on Computational Intelligence and Communication Networks, Bhopal, India, 26–28 November 2010; pp. 205–209. [Google Scholar]
- Luo, J.A.; Xue, C.C.; Peng, D.L. Robust Bearing-Only Localization Using Total Least Absolute Residuals Optimization. Complexity 2020, 2020, 3456923. [Google Scholar] [CrossRef]
- Satar, B.; Soysal, G.; Jiang, X.; Efe, M.; Kirubarajan, T. Robust Weighted l1,2 Norm Filtering in Passive Radar Systems. Sensors 2020, 20, 3270. [Google Scholar] [CrossRef]
- Chen, Y.; So, H.C.; Kuruoglu, E.E. Variance analysis of unbiased least lp-norm estimator in non-Gaussian noise. Signal Process. 2015, 122, 190–203. [Google Scholar] [CrossRef]
- Jiang, X.; Chen, J.; So, H.C.; Liu, X. Large-Scale Robust Beamforming via ℓ∞-Minimization. IEEE Trans. Signal Process. 2018, 66, 3824–3837. [Google Scholar] [CrossRef]
- Wu, H.; Chen, S.X.; Zhang, Y.H.; Zhang, H.Y.; Ni, J. Robust structured total least squares algorithm for passive location. J. Syst. Eng. Electron. 2015, 26, 946–953. [Google Scholar] [CrossRef]
- Picard, J.S.; Weiss, A.J. Bounds on the number of identifiable outliers in source localization by linear programming. IEEE Trans. Signal Process. 2010, 58, 2884–2895. [Google Scholar] [CrossRef]
- Fragkos, G.; Apostolopoulos, P.A.; Tsiropoulou, E.E. ESCAPE: Evacuation strategy through clustering and autonomous operation in public safety systems. Future Internet 2019, 11, 20. [Google Scholar] [CrossRef]
- Zhang, Y.; Guizani, M. Game Theory for Wireless Communications and Networking; CRC Press: Boca Raton, FL, USA, 2011. [Google Scholar]
- Cambanis, S.; Miller, G. Linear Problems in Linear Problems in pth Order and Stable Processes. SIAM J. Appl. Math. 1981, 41, 43–69. [Google Scholar] [CrossRef]
- Mallick, M. A Note on Bearing Measurement Model; ResearchGate. 2018. Available online: https://www.researchgate.net/publication/325214760_A_Note_on_Bearing_Measurement_Model (accessed on 16 September 2021).
- Bishop, A.N.; Anderson, B.D.O.; Fidan, B.; Pathirana, P.N.; Mao, G. Bearing-Only Localization using Geometrically Constrained Optimization. IEEE Trans. Aerosp. Electron. Syst. 2009, 45, 308–320. [Google Scholar] [CrossRef]
- Roger, F. Practical Methods of Optimization; John Wiley & Sons: New York, NY, USA, 1987. [Google Scholar]
- Grinshpan, A.Z. Weighted inequalities and negative binomials. Adv. Appl. Math. 2010, 45, 564–606. [Google Scholar] [CrossRef][Green Version]
- Hestenes, M.R. Multiplier and gradient methods. Optim. Theory Appl. 1969, 4, 303–320. [Google Scholar] [CrossRef]
- Kay, S.M. Fundamentals of Statistical Signal Processing: Estimation Theory; Prentice Hall PTR: Englewood Cliffs, NJ, USA, 1993. [Google Scholar]
- Sadler, B.M.; Kozick, R.J.; Moore, T. Performance analysis for direction finding in non-Gaussian noise. In Proceedings of the IEEE International Conference on Acoustics, Speech, and Signal Processing, Phoenix, AZ, USA, 15–19 March 1999; pp. 2857–2860. [Google Scholar]












| Method | Operation | Cost |
|---|---|---|
| PLE | , | |
| IRPLS | Compute times | |
| Compute times | ||
| Compute (29) times | ||
| IGED | Compute times | |
| Perform GED times | ||
| GLM | evaluations of BFGS |
Publisher’s Note: MDPI stays neutral with regard to jurisdictional claims in published maps and institutional affiliations. |
© 2021 by the authors. Licensee MDPI, Basel, Switzerland. This article is an open access article distributed under the terms and conditions of the Creative Commons Attribution (CC BY) license (https://creativecommons.org/licenses/by/4.0/).
Share and Cite
Luo, J.-A.; Xue, C.-C.; Rong, Y.-J.; Han, S.-T. A Total Lp-Norm Optimization for Bearing-Only Source Localization in Impulsive Noise with SαS Distribution. Sensors 2021, 21, 6471. https://doi.org/10.3390/s21196471
Luo J-A, Xue C-C, Rong Y-J, Han S-T. A Total Lp-Norm Optimization for Bearing-Only Source Localization in Impulsive Noise with SαS Distribution. Sensors. 2021; 21(19):6471. https://doi.org/10.3390/s21196471
Chicago/Turabian StyleLuo, Ji-An, Chang-Cheng Xue, Ying-Jiao Rong, and Shen-Tu Han. 2021. "A Total Lp-Norm Optimization for Bearing-Only Source Localization in Impulsive Noise with SαS Distribution" Sensors 21, no. 19: 6471. https://doi.org/10.3390/s21196471
APA StyleLuo, J.-A., Xue, C.-C., Rong, Y.-J., & Han, S.-T. (2021). A Total Lp-Norm Optimization for Bearing-Only Source Localization in Impulsive Noise with SαS Distribution. Sensors, 21(19), 6471. https://doi.org/10.3390/s21196471

