Abstract
Decreased oxygen saturation (SO2) at high altitude is associated with potentially life-threatening diseases, e.g., high-altitude pulmonary edema. Wearable devices that allow continuous monitoring of peripheral oxygen saturation (SpO2), such as the Garmin Fēnix® 5X Plus (GAR), might provide early detection to prevent hypoxia-induced diseases. We therefore aimed to validate GAR-derived SpO2 readings at 4559 m. SpO2 was measured with GAR and the medically certified Covidien Nellcor SpO2 monitor (COV) at six time points in 13 healthy lowlanders after a rapid ascent from 1130 m to 4559 m. Arterial blood gas (ABG) analysis served as the criterion measure and was conducted at four of the six time points with the Radiometer ABL 90 Flex. Validity was assessed by intraclass correlation coefficients (ICCs), mean absolute percentage error (MAPE), and Bland–Altman plots. Mean (±SD) SO2, including all time points at 4559 m, was 85.2 ± 6.2% with GAR, 81.0 ± 9.4% with COV, and 75.0 ± 9.5% with ABG. Validity of GAR was low, as indicated by the ICC (0.549), the MAPE (9.77%), the mean SO2 difference (7.0%), and the wide limits of agreement (−6.5; 20.5%) vs. ABG. Validity of COV was good, as indicated by the ICC (0.883), the MAPE (6.15%), and the mean SO2 difference (0.1%) vs. ABG. The GAR device demonstrated poor validity and cannot be recommended for monitoring SpO2 at high altitude.
1. Introduction
Wearable devices are increasingly used to monitor physiological biomarkers [1]. If certified by the relevant regulatory authorities, they can also be used to monitor and/or diagnose diseases, e.g., abnormal heart conditions, hypertension, and diabetes [2]. However, with the increasing demand for such devices, commercially available wearables may be used to assess the risk of potentially life-threatening diseases despite not being intended for such purposes and despite not having received medical certification. This means that these devices are being used without having undergone the rigorous validity testing required for certification as a medical device.
At high altitude, oxygen saturation (SO2) is reduced [3,4]. This condition is associated with a group of diseases categorized as high-altitude illnesses. These include mild diseases, like acute mountain sickness (AMS), but also potentially life-threatening diseases, such as high-altitude pulmonary edema (HAPE) [4]. Since peripheral oxygen saturation (SpO2) is a useful variable for evaluating an individual’s acclimatization status at high altitude and for monitoring the progression and treatment of high-altitude illnesses [3], valid and convenient SpO2 measurements are extremely desirable for mountaineers. It is worth noting that SpO2 is also useful for risk assessment and providing an early warning of deterioration in patients suffering from COVID-19 [5].
The criterion measurement for oxygen saturation (SO2) is arterial blood gas (ABG) analysis, which is an invasive and unpleasant procedure [6], requiring a needle puncture to a peripheral artery and subsequent analysis of a blood sample in a blood gas analyzer. This is generally not feasible during high-altitude sojourns, and therefore non-invasive medical devices are recommended for routine SpO2 measurements and risk assessment of high-altitude illness [7]. The transcutaneous fingertip-type pulse oximeter Covidien Nellcor SpO2 monitor (COV) is such a device. While these devices are simple to use, data output may be inaccurate [7]. They are also expensive, bulky, not suitable for continuous monitoring, and consequently not part of mountaineers’ regular equipment [8]. However, climbers commonly use wearables like smartwatches to track their performance and to guide and monitor their routes via GPS services [9]. Several recent commercially available smartwatches, including the Garmin Fēnix® 5X Plus (GAR), include sensors for SpO2 measurement. Not surprisingly, they are increasingly being used by mountaineers with the intention of monitoring their risk of altitude illness [10], even though this usage has never been rigorously tested or confirmed.
While several studies have already investigated the validity and reliability of smartwatch-derived physiological biomarkers, such as heart rate and energy expenditure [11,12], data on the validity and reliability of SpO2 measurements are scarce [10,13,14]. Of note, there is a complete lack of data obtained in a high-altitude field setting. To this end, the aim of this study was to investigate whether GAR-derived SpO2 at 4559 m is valid by comparing it concurrently with COV and arterial oxygen saturation (SaO2) derived from the criterion measurement of an ABG sample.
2. Methods
2.1. Study Approvals
The study was part of a prospective, randomized, placebo-controlled, double-blind study that investigated the effectiveness of acetazolamide in preventing high-altitude pulmonary edema. It was performed in accordance with the Declaration of Helsinki and its current amendments and was approved by the Ethics Committee of the Province of Salzburg, Austria; the Ethics Committee of the University of Turin, Italy; and by the Competent Authority (BASG), Vienna, Austria. Prior to inclusion in the study, all participants provided written informed consent.
2.2. Study Population
Thirteen native lowlanders were included in the study, which was carried out in 2019. All study participants met the predefined inclusion and exclusion criteria: all had a known history of high-altitude pulmonary edema (HAPE); none of the participants had spent time at altitudes >2000 m within four weeks before enrolling in the study; and none was found to have relevant medical illnesses during preliminary medical testing. Participants with concomitant cardiovascular diseases (other than well controlled systemic arterial hypertension) or pulmonary disease were excluded from the study.
2.3. Study Protocol
Baseline evaluations were performed at an altitude of 423 m (Salzburg, Austria). There, maximal cardiopulmonary exercise testing was conducted to assess aerobic capacity (⩒O2max). Participants completed a ramp test protocol on a cycle ergometer until voluntary exhaustion [15]. Depending on individual ability, the increment was chosen such that exhaustion occurred after 8–12 min. A breath-by-breath metabolic analyzer was used to measure gas exchange and ventilation (MetaLyzer 3B, Cortex Biophysics, Leipzig, Germany).
Two to four weeks later, participants travelled to Alagna (1130 m), Valsesia, Italy, and ascended to 4559 m (Capanna Regina Margherita, Italy) within ~20 h, accompanied by licensed mountain guides. The ascent began with transport by cable car (from 1130 to 3275 m) and continued with a 90-min climb to the Capanna Giovanni Gnifetti (3611 m), where the participants spent the night. The next morning, they climbed to 4559 m (taking ~4 h), where they spent three nights and where all altitude measurements were conducted. The first examination took place between 17:00 and 19:00. The same examinations were repeated at 07:00 and 17:00 on each of the following two days; the last examination took place at 07:00 on the fourth day of the study. SpO2 was measured using GAR and the medically certified COV at six time points (at 6, 20, 30, 44, 54, and 68 h after arrival at 4559 m) and SaO2 was measured using ABG at four time points (at 20, 30, 44, and 68 h after arrival at 4559 m). ABG measurements were stopped in case of HAPE diagnosis and necessary medical treatment.
2.4. Measurement of SO2
Garmin Fēnix® 5X Plus (GAR)
GAR (Software version: 7.60.0.0) was used as outlined in the manufacturer’s instructions. The clean and dry watch was placed snugly but comfortably above the participant’s wrist bone at each measurement time point. The participants were asked to remain motionless in a supine position while the device read their SpO2 levels. After 5 min, the SpO2 value was noted.
Covidien Nellcor Portable SpO2 Patient Monitoring (COV)
Simultaneous to the measurement with the GAR, the reusable finger clip of the COV device (Nellcor PM10N, Covidien, Mansfield, USA) was applied on the other hand of the participant while they were supine and after 5 min the SpO2 value was noted.
Radiometer ABL 90 Flex
Arterial blood samples were collected from the participants after 10 min of rest using heparinized syringes equipped with a gold-coated mixing ball (safePICO, Radiometer, Brønshøj, Denmark). To ensure comparability between the three measurements, all were performed in the supine position, which is in any case obligatory for arterial blood sampling, and, moreover, as higher SpO2 values in the sitting position have already been reported [16]. Samples were immediately analyzed in triplicate using the blood gas analyzer Radiometer ABL 90 Flex (Radiometer, Brønshøj, Denmark) according to the manufacturer’s instructions. Triplicate measurements were averaged for further analysis, with the coefficient of variation of all triplicate measurements amounting to 0.82%. Measurements were conducted at the same time points as the noninvasive assessment with the GAR and COV devices.
Assessment of high-altitude illness
AMS was assessed at the time points of the COV and GAR measurements using the Lake Louise scoring (LLS) system and the self-administered, paper-based AMS cerebral (AMS-C) scoring system. AMS-C is an abbreviated version of the Environmental Symptoms Questionnaire III score [17,18,19]. AMS was diagnosed if LLS was ≥5 and an AMS-C score was ≥0.70. If only one of the two scores reached threshold values, the subject was classified as AMS-negative [20,21]. HAPE was diagnosed by daily chest radiography at high altitude.
3. Statistical Analysis
The following statistical procedures were applied to determine the validity of the results. A two-way mixed effects, absolute agreement, multiple raters/measurements intraclass correlation coefficient (ICC) [22] was calculated to assess validity, as suggested by De Vet et al. [23]. As suggested by Fokkema et al. [24], four thresholds were used to classify validity, as low (<0.60), moderate (0.60–0.75), good (0.75–0.90), or excellent (>0.90). In addition, a coefficient of correlation (Pearson’s r) and a coefficient of determination (R2) were calculated to examine associations between SO2 values derived from different methods and associations between SO2 values and AMS severity, as well as AMS and HAPE incidence. Correlational analysis of the differences between ABG and GAR results and the average between ABG and GAR results was used to test for magnitude dependence of any difference [25]. The mean absolute percentage error (MAPE) between measurements was calculated to provide a normalized measure of validity. The percentage accuracy of a model is calculated according to the equation: MAPE = (1/n [sample size]) × Σ([actual data value]—[forecasted data value])/[actual data value]) × 100. MAPE does not have a standardized threshold for determining the validity of measurements; however, Fokkema et al. considered a difference of ±5% as practically relevant for wearable sensor data [24]. Since repeated SpO2 testing in patients with chronic obstructive pulmonary disease showed intraday fluctuations of 1.6% [26], an SpO2 MAPE threshold ranging ±3.2% (i.e., two times the standard deviation (SD)) was assumed as a criterion of acceptable validity in our study. Furthermore, Bland–Altman analysis, including mean difference and limits of agreement, was conducted to plot the difference between the scores of two measurements against the mean SO2 values derived from the measurements [27]. Finally, data from the devices were compared using unpaired t-tests, with a p-value of 0.05 set as the threshold for significant differences.
Continuous data are given as arithmetic mean ± SD and categorical data as percentages. All statistical analyses were performed using SPSS 27 for Windows (SPSS, Inc., Chicago, IL, USA).
4. Results
Table 1 summarizes the baseline characteristics of the participants.
Table 1.
Anthropometric data of study participants (N = 13).
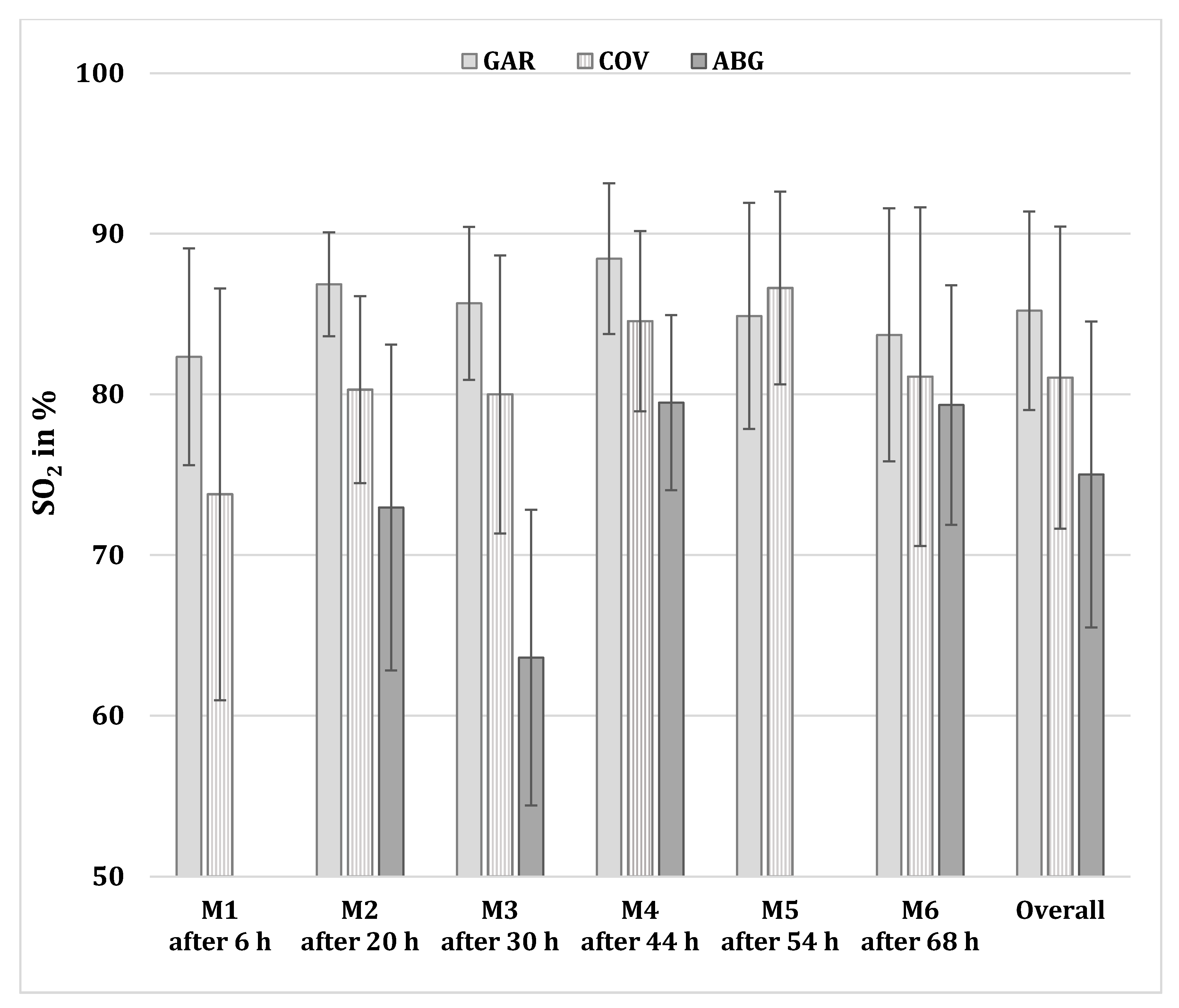
Figure 1 displays the mean and SD values for SO2 measurements at all time points at high altitude. Overall, SO2 values obtained with GAR were highest (85.2% ± 6.2), compared to 81.0% ± 9.4 for those obtained with COV (p = 0.011) and 75.0% ± 9.5 for those obtained with ABG (p ≤ 0.001). Mean SO2 differences between GAR vs. ABG were 7.0%, compared to 0.1% between COV vs. ABG.
Figure 1.
Mean SO2 values in percent (%) at high altitude (4559 m) at different time points after ascent. SO2 = peripheral/arterial oxygen saturation; GAR = Garmin Fēnix® 5X Plus; COV = Covidien Nellcor Portable SpO2 Patient Monitoring; ABG = Radiometer ABL 90 Flex. Data given in mean ± SD.
The ICC for GAR vs. ABG was low (0.549), whereas the ICC for COV vs. ABG was good (0.883). According to the predefined MAPE acceptable validity cut-off of <3.2%, neither GAR (9.77 %) nor COV (6.15 %) fulfilled this criterion when compared to ABG (Table 2).
Table 2.
Validity criteria of GAR-derived SO2 values compared to those obtained with a medical device (COV) and with arterial blood gas analysis (ABG) at 4559 m.
The Pearson’s r indicated a strong correlation between COV vs. ABG (0.904; p < 0.001; R2 = 0.735) and a weak correlation for GAR vs. ABG (0.380, p < 0.001; R2 = 0.109). The median of the individual Pearson’s r correlation coefficients between GAR and COV was 0.534, ranging from −0.5 to 0.909. Correlational analysis did not reveal a significant magnitude dependence of the difference between ABG and GAR and the average between ABG and GAR (r = 0.1, p = 0.625). Figure 2 shows the regression line of ABG vs. GAR in comparison to the line of identity. In three measurements with very low ABG results (SaO2 ≤ 70%), GAR did not report any SpO2 readings.
Figure 2.
Scatterplot with regression line of ABG vs. GAR oxygen saturation in comparison to the line of identity. GAR = Garmin Fēnix® 5X Plus; ABG = Radiometer ABL 90 Flex.
Bland–Altman analysis indicated a low validity of GAR measurements (mean difference compared to ABG: 7.0%) with wide limits of agreement (−6.5; 20.5%), whereas the validity of COV was good (mean difference compared to ABG: 0.1%) despite wide limits of agreement (−10.7; 10.9%) (Figure 3).

Figure 3.
(a–c) Bland–Altman analysis with mean difference and limits of agreement. SO2 = peripheral/arterial oxygen saturation; GAR = Garmin Fēnix® 5X Plus; ABG = Radiometer ABL 90 Flex. COV = Covidien Nellcor Portable SpO2 Patient Monitoring. Data given in mean ± SD.
The overall incidence of AMS was 77% (10/13) and the incidence of HAPE was 54% (7/13). The Pearson’s r showed a strong correlation between ABG and the AMS severity assessed by the Lake Louise Score (LLS) and a weak correlation between GAR and AMS severity (Table 3).
Table 3.
Correlation and linear regression analysis between SO2-derived variables from different devices and high-altitude illness.
5. Discussion
The aim of this study was to evaluate the validity of the Garmin Fēnix® 5X Plus-derived SpO2 readings at 4559 m. The main result was the poor validity of GAR, indicated by an ICC of 0.549, an MAPE of 9.77, a mean SO2 difference of 7.0%, and wide limits of agreement (−6.5; 20.5%) vs. ABG.
Wearable wrist-worn devices have the potential to serve as a convenient method to collect SpO2 data continuously and to improve health and safety during altitude activities through the early detection of lower SpO2 levels than expected at any given altitude. However, only a few validity studies of wearable SpO2 sensors exist. All of them were performed only at simulated altitude, using medical transcutaneous oximeters for criterion measurement with conflicting results. Lauterbach et al. evaluated the accuracy of SpO2 readings derived from the same Garmin device as used in the present study at simulated altitudes up to 3660 m. The authors concluded that GAR exhibits minimal overestimation (mean difference: 3.3%; limits of agreement: −1.9; 8.6%) of SpO2 and that the device may be a viable method to monitor SpO2 at high altitude [13]. However, in Lauterbach’s study, only Bland–Altman analysis was used to assess validity. More recently, Hermand et al. evaluated the accuracy of the Garmin Forerunner 245 SpO2 sensor in 10 healthy participants at simulated altitudes from 3000–5500 m [10] and applied more comprehensive statistical methods to assess device validity, including ICCs. The device failed to provide trustworthy SpO2 values, yielding an ICC of less than 0.280 over all the altitudes studied. Our study is the first to investigate the validity of GAR-derived SpO2 measurements in a field setting at 4559 m, comparing them with the standard criterion of arterial blood gas analysis, in addition to measurements obtained with a medically certified transcutaneous oximeter, and applying comprehensive statistical analyses. Compared to measurements taken at simulated altitudes in a hypoxic hypobaric chamber, SpO2 values at high altitude resemble real-life conditions, since they include the impact of environmental variables, such as cold and light, but also physiological variables, such as hyperventilation and periodic breathing, which may interfere with data stability [28,29]. Our multiparametric statistical analyses and predefined validity criteria demonstrate that GAR lacks acceptable validity, yielding a mean difference of 7.0% and an ICC of 0.549 compared to ABG. These results are similar to those of Hermand et al. (ICC < 0.280 over all simulated altitudes).
There is increasing evidence that blood oxygenation is lower in individuals who suffer from AMS. Recently, an SpO2 threshold of 84% was reported for predicting the development of severe AMS with satisfactory specificity and sensitivity between 3600 to 3700 m using a 24-h data memory fingertip-type medical oximeter [30]. Based on our data, GAR overestimates SpO2 levels compared to ABG, with poor agreement indicated by wide limits of agreement in our Bland–Altman analysis (−6.5; 20.5%) and a low coefficient of determination (R2 = 0.109), which precludes using GAR to reliably categorize mountaineers with increased risk for AMS using the abovementioned cutoff value. Furthermore, in our study, GAR showed the lowest predictive value for assessing the severity of AMS (R2 = 0.007), whereas COV performed better (R2 = 0.278) and ABG yielded the best prediction (R2 = 0.644).
Mountaineers suffering from HAPE often present with very low SpO2 levels due to impaired alveolar gas exchange at high altitude [31]. Although regression analysis did not reveal a significant magnitude dependence of the difference between ABG and GAR (p = 0.625), GAR tended to overestimate SpO2 especially when blood oxygenation was low. This is indicated by the relatively flat regression line of ABG vs. GAR in comparison to the line of identity (Figure 2). In addition, GAR was unable to measure any SpO2 values when ABG measurements were lowest. Added to the fact that taking measures to prevent altitude sickness is particularly important when O2 saturation is low, the overestimation of SpO2 by GAR at high altitude may falsely suggest that no risk is present. This does not only limit the usefulness of GAR but also means that reliance on its results could be potentially life-endangering. This notion is also in line with Luks and Swenson [32], who analyzed pulse oximetry for monitoring patients with COVID-19 at home in a recent focused review, as low SpO2 levels might also be an indicator for COVID-19-related pneumonia and adverse clinical outcome [33]. Easy to use and inexpensive, finger pulse oximeters can be considered an attractive option for monitoring COVID-19 patients at home; however, the authors raised awareness of the limited data on the accuracy of these devices, both for stand-alone finger oximeters and smart phone systems that do not have regulatory agency approval, especially when saturation falls below 90%. Additionally, in the future, the availability of new technologies, such as contact-less SpO2 analysis, e.g., via video processing, might add even more convenient methods to self-monitor SpO2 levels at high altitude [34], provided sound methodological studies prove their validity in real-world mountaineering conditions.
Our study has some limitations worth mentioning. SpO2 readings from wrist-worn devices might be influenced by skin tone, and this factor was not assessed in our study. However, there was no effect of skin tone on any SpO2 variables in the study of Hermand et al. [10]. Also, future firmware versions released by Garmin could change the accuracy of SpO2 measurements, and thus affect the conclusions of this study. We performed the measurements in a small sample of participants with a history of HAPE; a larger sample would have increased statistical power. Besides the logistical difficulties associated with high-altitude studies, the validity data obtained in this study should also be applicable to subjects without HAPE susceptibility, given the wide range of SpO2 reported here.
In conclusion, SpO2 data obtained by the Garmin Fēnix® 5X Plus at 4559 m do not meet acceptable validity criteria. Systematic overestimation of SpO2 levels at high altitude increases the probability that mountaineers misinterpret the risk of high-altitude illness, which has the potential to lead to life-threatening situations. Therefore, we cannot recommend GAR for monitoring SpO2 with the aim of acclimatization management or predictive health monitoring.
Author Contributions
Conceptualization, M.S., E.R.S. and M.M.B.; methodology, L.M.S., G.T. and M.S.; software, L.M.S. and M.S.; validation, G.T., M.M.B., E.R.S. and M.S.; formal analysis, L.M.S. and M.S.; investigation, L.M.S., F.T., P.S., L.S., K.E.S., E.R.S., M.M.B. and M.S.; resources, L.M.S., G.T., F.T., P.S., L.S., J.N., K.E.S., E.R.S., M.M.B. and M.S.; data curation, G.T., E.R.S. and M.S.; writing—original draft preparation, L.M.S. and M.S.; writing—review and editing, L.M.S., G.T., F.T., P.S., L.S., J.N., K.E.S., E.R.S., M.M.B. and M.S.; visualization, M.S. and L.M.S.; supervision, E.R.S., M.M.B. and M.S.; project administration, L.M.S., M.M.B. and M.S.; funding acquisition, E.R.S. and M.M.B. All authors have read and agreed to the published version of the manuscript.
Funding
This research was supported by the WISS-2025 Program of the State of Salzburg, the Wilderness Medical Society (Hackett-Auerbach Grant), and the Deutsche Gesellschaft für Berg- und Expeditionsmedizin (Research Grant).
Institutional Review Board Statement
The study was conducted in accordance with the Declaration of Helsinki and its current amendments and was approved by the Ethics Committee of the Province of Salzburg, Austria (415-E/2290/7-2018), the Ethics Committee of the University of Turin, Italy (435581), and by the Competent Authority (BASG), Vienna, Austria (EudraCT number: 2017-005166-22).
Informed Consent Statement
Informed consent was obtained from all subjects involved in the study.
Data Availability Statement
The data presented in this study are available on request from the corresponding author.
Acknowledgments
We thank all the study participants and the hut keepers of Capanna Regina Margherita, Italy. We also thank Magdalena Schimke for technical assistance.
Conflicts of Interest
The authors declare no conflict of interest.
References
- Rienzo, M.D.; Mukkamala, R. Wearable and Nearable Biosensors and Systems for Healthcare. Sensors 2021, 21, 1921. [Google Scholar] [CrossRef]
- Dunn, J.; Runge, R.; Snyder, M. Wearables and the medical revolution. Pers. Med. 2018, 15, 429–448. [Google Scholar] [CrossRef] [PubMed] [Green Version]
- Dünnwald, T.; Kienast, R.; Niederseer, D.; Burtscher, M. The Use of Pulse Oximetry in the Assessment of Acclimatization to High Altitude. Sensors 2021, 21, 1263. [Google Scholar] [CrossRef]
- Berger, M.M.; Schiefer, L.M.; Treff, G.; Sareban, M.; Swenson, E.; Bärtsch, P. Acute high-altitude illness: Updated principles of pathophysiology, prevention, and treatment. Dtsch. Z. Sportmed. 2020, 71, 267–274. [Google Scholar] [CrossRef]
- Levitan, R.M. Pulse Oximetry as a Biomarker for Early Identification and Hospitalization of COVID-19 Pneumonia. Acad. Emerg. Med. 2020, 27, 785–786. [Google Scholar] [CrossRef] [PubMed]
- Zeserson, E.; Goodgame, B.; Hess, J.D.; Schultz, K.; Hoon, C.; Lamb, K.; Maheshwari, V.; Johnson, S.; Papas, M.; Reed, J.; et al. Correlation of Venous Blood Gas and Pulse Oximetry With Arterial Blood Gas in the Undifferentiated Critically Ill Patient. J. Intensive Care Med. 2018, 33, 176–181. [Google Scholar] [CrossRef]
- Luks, A.M.; Swenson, E.R. Pulse Oximetry at High Altitude. High. Alt. Med. Biol. 2011, 12, 109–119. [Google Scholar] [CrossRef]
- Huang, C.-Y.; Chan, M.-C.; Chen, C.-Y.; Lin, B.-S. Novel Wearable and Wireless Ring-Type Pulse Oximeter with Multi-Detectors. Sensors 2014, 14, 17586–17599. [Google Scholar] [CrossRef] [Green Version]
- Aroganam, G.; Manivannan, N.; Harrison, D. Review on Wearable Technology Sensors Used in Consumer Sport Applications. Sensors 2019, 19, 1983. [Google Scholar] [CrossRef] [Green Version]
- Hermand, E.; Coll, C.; Richalet, J.P.; Lhuissier, F.J. Accuracy and Reliability of Pulse O2 Saturation Measured by a Wrist-worn Oximeter. Int. J. Sports Med. 2021. Epub ahead of print. [Google Scholar] [CrossRef] [PubMed]
- Fuller, D.; Colwell, E.; Low, J.; Orychock, K.; Tobin, M.A.; Simango, B.; Buote, R.; Van Heerden, D.; Luan, H.; Cullen, K.; et al. Reliability and Validity of Commercially Available Wearable Devices for Measuring Steps, Energy Expenditure, and Heart Rate: Systematic Review. JMIR mHealth uHealth 2020, 8, e18694. [Google Scholar] [CrossRef] [PubMed]
- Navalta, J.W.; Montes, J.; Bodell, N.G.; Salatto, R.W.; Manning, J.W.; DeBeliso, M. Concurrent heart rate validity of wearable technology devices during trail running. PLoS ONE 2020, 15, e0238569. [Google Scholar] [CrossRef] [PubMed]
- Lauterbach, C.J.; Romano, P.A.; Greisler, L.A.; Brindle, R.A.; Ford, K.R.; Kuennen, M.R. Accuracy and Reliability of Commercial Wrist-Worn Pulse Oximeter During Normobaric Hypoxia Exposure Under Resting Conditions. Res. Q. Exerc. Sport 2021, 92, 549–558. [Google Scholar] [CrossRef]
- Kirszenblat, R.; Edouard, P. Validation of the Withings ScanWatch as a Wrist-Worn Reflective Pulse Oximeter: Prospective Interventional Clinical Study. J. Med. Internet Res. 2021, 23, e27503. [Google Scholar] [CrossRef] [PubMed]
- Buchfuhrer, M.J.; Hansen, J.E.; Robinson, T.E.; Sue, D.Y.; Wasserman, K.; Whipp, B.J. Optimizing the exercise protocol for cardiopulmonary assessment. J. Appl. Physiol. Respir. Environ. Exerc. Physiol. 1983, 55, 1558–1564. [Google Scholar] [CrossRef]
- Kuenzel, A.; Marshall, B.; Verges, S.; Anholm, J.D. Positional Changes in Arterial Oxygen Saturation and End-Tidal Carbon Dioxide at High Altitude: Medex 2015. High. Alt. Med. Biol. 2020, 21, 144–151. [Google Scholar] [CrossRef]
- Beidleman, B.A.; Muza, S.R.; Fulco, C.S.; Rock, P.B.; Cymerman, A. Validation of a shortened electronic version of the environmental symptoms questionnaire. High. Alt. Med. Biol. 2007, 8, 192–199. [Google Scholar] [CrossRef] [Green Version]
- Roach, R.C.; Hackett, P.H.; Oelz, O.; Bärtsch, P.; Luks, A.M.; MacInnis, M.J.; Baillie, J.K.; Lake Louise AMS Score Consensus Committee. The 2018 Lake Louise Acute Mountain Sickness Score. High. Alt. Med. Biol. 2018, 19, 4–6. [Google Scholar] [CrossRef]
- Sampson, J.B.; Cymerman, A.; Burse, R.L.; Maher, J.T.; Rock, P.B. Procedures for the measurement of acute mountain sickness. Aviat. Space Environ. Med. 1983, 54, 1063–1073. [Google Scholar]
- Macholz, F.; Sareban, M.; Berger, M.M. Diagnosing Acute Mountain Sickness. JAMA 2018, 319, 1509. [Google Scholar] [CrossRef]
- Maggiorini, M.; Müller, A.; Hofstetter, D.; Bärtsch, P.; Oelz, O. Assessment of acute mountain sickness by different score protocols in the Swiss Alps. Aviat. Space Environ. Med. 1998, 69, 1186–1192. [Google Scholar]
- McGrow, K.O.; Wong, S.P. Forming inferences about some intraclass correlation coefficients. Psychol Methods 1996, 1, 30–46. [Google Scholar] [CrossRef]
- De Vet, H.C.W.; Terwee, C.B.; Mokkink, L.B.; Knoll, D.L. Measurement in Medicine: A Practical Guide; Cambridge University Press: Cambridge, UK, 2011. [Google Scholar]
- Fokkema, T.; Kooiman, T.J.; Krijnen, W.P.; VANDERSchans, C.P.; DEGroot, M. Reliability and Validity of Ten Consumer Activity Trackers Depend on Walking Speed. Med. Sci. Sports Exerc. 2017, 49, 793–800. [Google Scholar] [CrossRef] [PubMed]
- Bland, J.M.; Altman, D.G. Comparing methods of measurement: Why plotting difference against standard method is misleading. Lancet 1995, 346, 1085–1087. [Google Scholar] [CrossRef] [Green Version]
- Buekers, J.; Theunis, J.; De Boever, P.; Vaes, A.W.; Koopman, M.; Janssen, E.V.; Wouters, E.F.; Spruit, M.A.; Aerts, J.-M. Wearable Finger Pulse Oximetry for Continuous Oxygen Saturation Measurements during Daily Home Routines of Patients with Chronic Obstructive Pulmonary Disease (COPD) Over One Week: Observational Study. JMIR mHealth uHealth 2019, 7, e12866. [Google Scholar] [CrossRef] [PubMed]
- Bland, J.M.; Altman, D.G. Statistical methods for assessing agreement between two methods of clinical measurement. Lancet 1986, 1, 307–310. [Google Scholar] [CrossRef]
- Netzer, N.C.; Rausch, L.; Eliasson, A.H.; Gatterer, H.; Friess, M.; Burtscher, M.; Pramsohler, S. SpO2 and Heart Rate During a Real Hike at Altitude Are Significantly Different than at Its Simulation in Normobaric Hypoxia. Front. Physiol. 2017, 8, 81. [Google Scholar] [CrossRef] [Green Version]
- Saugy, J.J.; Schmitt, L.; Cejuela, R.; Faiss, R.; Hauser, A.; Wehrlin, J.P.; Rudaz, B.; Delessert, A.; Robinson, N.; Millet, G.P. Comparison of “Live High-Train Low” in Normobaric versus Hypobaric Hypoxia. PLoS ONE 2014, 9, e114418. [Google Scholar] [CrossRef] [Green Version]
- Mandolesi, G.; Avancini, G.; Bartesaghi, M.; Bernardi, E.; Pomidori, L.; Cogo, A. Long-Term Monitoring of Oxygen Saturation at Altitude Can Be Useful in Predicting the Subsequent Development of Moderate-to-Severe Acute Mountain Sickness. Wilderness Environ. Med. 2014, 25, 384–391. [Google Scholar] [CrossRef] [Green Version]
- Mairbäurl, H.; Dehnert, C.; Macholz, F.; Dankl, D.; Sareban, M.; Berger, M.M. The Hen or the Egg: Impaired Alveolar Oxygen Diffusion and Acute High-altitude Illness? Int. J. Mol. Sci. 2019, 20, 4105. [Google Scholar] [CrossRef] [Green Version]
- Luks, A.M.; Swenson, E.R. Pulse Oximetry for Monitoring Patients with COVID-19 at Home. Potential Pitfalls and Practical Guidance. Ann. Am. Thorac. Soc. 2020, 17, 1040–1046. [Google Scholar] [CrossRef] [PubMed]
- Quaresima, V.; Ferrari, M. COVID-19: Efficacy of prehospital pulse oximetry for early detection of silent hypoxemia. Crit. Care 2020, 24, 501. [Google Scholar] [CrossRef] [PubMed]
- Casalino, G.; Castellano, G.; Zaza, G. A mHealth solution for contact-less self-monitoring of blood oxygen saturation. In Proceedings of the 2020 IEEE Symposium on Computers and Communications (ISCC), Rennes, France, 7–10 July 2020; pp. 1–7. [Google Scholar]
Publisher’s Note: MDPI stays neutral with regard to jurisdictional claims in published maps and institutional affiliations. |
© 2021 by the authors. Licensee MDPI, Basel, Switzerland. This article is an open access article distributed under the terms and conditions of the Creative Commons Attribution (CC BY) license (https://creativecommons.org/licenses/by/4.0/).



