Event-Driven Deep Learning for Edge Intelligence (EDL-EI) †
Abstract
:1. Introduction
- We propose a novel event-driven deep-learning edge-intelligence (EDL-EI) framework that aims to support cloud and edge collaboration.
- An event-driven detection model was designed to demonstrate large sensor fusion for event detection using edge-based deep-learning models.
- We designed an IoT prototype system with multiple sensors and edge devices for real-time event detection.
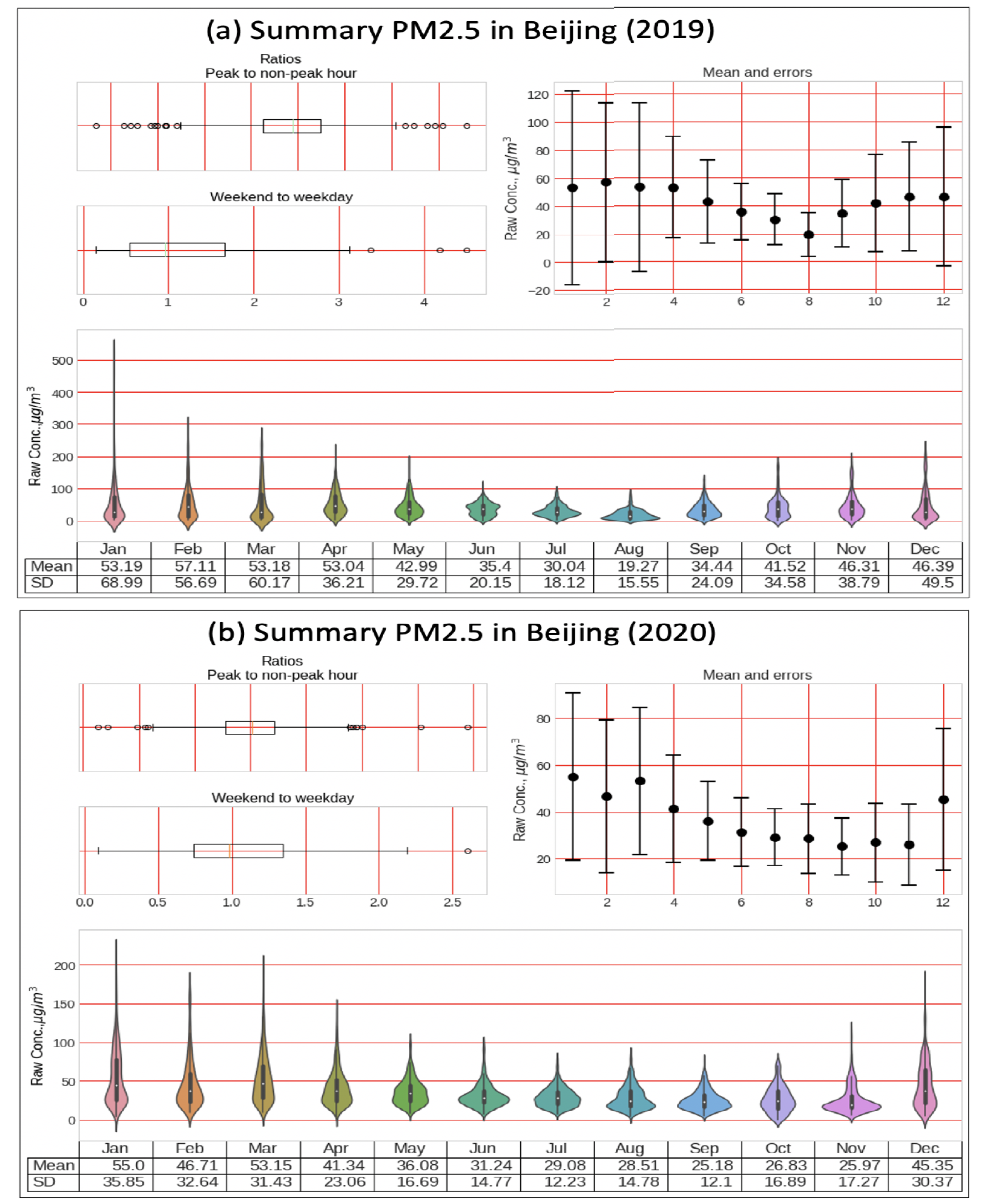
- We have developed the proposed an EDL-EI framework by designing complex events regarding air quality and traffic congestion. To demonstrate the event model, we have used multiple sensor datasets captured from real settings of multiple cities and different timelines, including during the COVID-19 pandemic.
- We have conducted extensive experiments with the datasets. Our experimental results confirm the feasibility and effectiveness of our approach, which achieves outstanding classification accuracy and time-series forecasting in air-quality prediction in the edge considering specific temporal and geospatial contexts.
2. Related Work
2.1. Edge Intelligence
2.2. Large-Scale Sensor Fusion for Real-Time Event Detection
2.3. IoT/Sensor Innovation and Machine Learning for Air-Quality Prediction
3. Proposed Approach: Deep-Learning Models for Event Detection
3.1. Architecture of Edge Intelligence
3.2. Deep Learning for Event Detection
- It defines an event (starting time, ending time, conditions, stages, stage changes, actors, environmental factors, etc.) for indicating a domain of interest. It identifies relevant parameters that could be contributed for defining an event. Additionally, it determines dominant parameters using correlation analysis.
- It conducts data-preprocessing-relevant data from sensors or edge devices and converts them into an appropriate format (sensor data into images). It provides guidelines on building deep-learning models and connecting such models that are lightweight and suitable for real-time event detection.
- It deploys the models to the edge devices, for which we developed the IoT-based prototype system with multiple sensors and NVIDIA Jetson Nano. It uses the models for real-time event detection and notification on the edge.
3.2.1. Event-Detection Model
| Algorithm 1 AQI for Event Detection |
| Input : D ← Data recorded from different sensors over Time in seconds(Ts) Input: M ← Set of instances with a set of highly detected AQI values mass level L Parameters: ← Record data every minute, Select highest value every hour, ∀ append one highest value every hour for 24 h Generate: Images using Gramian Angular Field (GAF). Output: E ← Array to store values for effect of event on AQI and area, event start time Ts and end time Te Initialization E , i ← 0 foreach a in A do for l ← L do if D [a] > M[l] then E[i] ← D[a] and A[a] i ← i + 1 break endif endfor endforeach Forall events (sensor data recordings) that have entered the list for detection Adjust Ts and Te Merge ∀ events ← Ts or Te overlap Ts (Start time) and Te (End Time) ← Update event list end for |
3.2.2. Data Transformation
3.2.3. Feature Extraction for Multi-Sensor Fusion
3.3. Deep-Learning Modeling
- Batch Normalization: Batch normalization is a methodology for standardizing system inputs deployed to either the activations of a previous layer or the feeds themselves. Batch normalization reduces model complexity by speeding up learning (in some situations by decreasing or bettering the iterations) and providing some attention mechanism.
- ReLU: The rectified linear activation function, or ReLU for brief, is a spline vector quantity that outputs the input directly if the source is affirmative; otherwise, it outputs zero. Although a network that uses it is faster to train and frequently produces superior results, this has established the preferred activation function for several artificial neural networks.
- Dropout: The dropout layer mainly helps minimize regularization and changes input units into 0 as arbitrary with a certain regularity at every training phase throughout the training phase. It is worth noting that the dropout layer applies if the learning parameter is found suitable, which means that no data are lost during interpretation when working with a model.
- LeakyReLU: Leaky ReLU, in contrast to ReLU, is much more highly “symmetrical”, and so might overgrow. In such a case, the outcome is sometimes not predictable. Leaky ReLU is not necessarily better than regular ReLU, and it must always be used as a last option.
3.4. IoT System Design for Edge Computing
4. Case Study: Influence of the COVID-19 Event on Air Quality/Traffic
4.1. Event Scenarios
4.2. Air-Quality Measurements
| the (air-quality) index |
| the pollutant concentration |
| the concentration breakpoint that is |
| : the concentration breakpoint that is |
| : the index breakpoint corresponding to |
| : the index breakpoint corresponding to |
| are from the US EPA Pollutant Breakpoint |
4.3. Traffic Event Measurements
Environmental Measurements
5. Experiments and Results
5.1. Dataset
5.2. Results and Evaluation
5.2.1. Comparative Evaluation on Model Performance: Cloud vs. Edge
5.2.2. Deep-Learning Modeling for Edge Intelligence: Lw-CNN-1 vs. Lw-CNN-2
5.2.3. Comparative Evaluation with State-of-the-Art Air-Quality Prediction Research
5.2.4. Comparative Evaluation on Cloud and Edge Performance
6. Discussion
- First, what is the most effective way to discover patterns from such large-scale real-time data? We proposed an event-based approach to defining an event of interest by identifying the dominant parameters via correlation analysis to answer this question. The evaluation of the proposed framework has been performed on real-world data of the major cities in China and Korea using event-based deep-learning models to show the robustness and scalability of the proposed model.
- Second, how are they best represented for effective machine learning? We develop a unique way to represent the sensor data in images and overcome the challenges of the real-time processing of data streams in the multi-dimensional domains of time, frequency, and space. The image-based fusion method of sensor or acoustic data has been shown to have superior performance in deep event-driven modeling in our previous studies [46,47,48].
- Third, how can we teach machines to build predictive models for meaningful detection from the massive real-time data? We proposed two unique models for lightweight deep learning for the prediction of air quality in multiple cities on the edge. The proposed deep-learning model is more accurate than traditional machine-learning models, as shown in our previous study [1]. Furthermore, the lightweight design and event-based sensor fusion approach are suitable for edge intelligence.
- Finally, what kind of event-based deep-learning model can be built for edge intelligence? How can we deploy it to the edge? How often do we need to deploy it for real-time event detection? We presented our solutions for the proposed event-based deep-learning models considering real-world events such as the COVID-19 pandemic. For the edge-intelligence research, our best role is to facilitate such innovation for real-time edge intelligence by conducting deep-learning modeling using real-world event scenarios with spatiotemporal context information. However, these solutions have not been thoroughly evaluated.
7. Conclusions
Author Contributions
Funding
Institutional Review Board Statement
Informed Consent Statement
Data Availability Statement
Conflicts of Interest
References
- Shah, S.K.; Tariq, Z.; Lee, J.; Lee, Y. Real-Time Machine Learning for Air Quality and Environmental Noise Detection. In Proceedings of the 2020 IEEE International Conference on Big Data (Big Data), Atlanta, GA, USA, 10–13 December 2020. [Google Scholar]
- Haghi, M.; Neubert, S.; Geissler, A.; Fleischer, H.; Stoll, N.; Stoll, R.; Thurow, K. A Flexible and Pervasive IoT-Based Healthcare Platform for Physiological and Environmental Parameters Monitoring. IEEE Internet Things J. 2020, 7, 5628–5647. [Google Scholar] [CrossRef]
- Astill, J.; Dara, R.A.; Fraser, E.D.; Roberts, B.; Sharif, S. Smart poultry management: Smart sensors, big data, and the internet of things. Comput. Electron. Agric. 2020, 170, 105291. [Google Scholar] [CrossRef]
- Zhou, Z.; Chen, X.; Li, E.; Zeng, L.; Luo, K.; Zhang, J. Edge intelligence: Paving the last mile of artificial intelligence with edge computing. Proc. IEEE 2019, 107, 1738–1762. [Google Scholar] [CrossRef] [Green Version]
- Lopez Medina, M.A.; Espinilla, M.; Paggeti, C.; Medina Quero, J. Activity recognition for iot devices using fuzzy spatio-temporal features as environmental sensor fusion. Sensors 2019, 19, 3512. [Google Scholar] [CrossRef] [PubMed] [Green Version]
- Zgheib, R.; Kristiansen, S.; Conchon, E.; Plageman, T.; Goebel, V.; Bastide, R. A scalable semantic framework for IoT healthcare applications. J. Ambient. Intell. Humaniz. Comput. 2020. [Google Scholar] [CrossRef]
- Stojanović, N.; Stojanović, D. Big Mobility Data Analytics for Traffic Monitoring and Control. Facta Univ. Ser. Autom. Control Robot. 2020, 19, 087–102. [Google Scholar]
- Perakis, K.; Lampathaki, F.; Nikas, K.; Georgiou, Y.; Marko, O.; Maselyne, J. CYBELE–Fostering precision agriculture & livestock farming through secure access to large-scale HPC enabled virtual industrial experimentation environments fostering scalable big data analytics. Comput. Netw. 2020, 168, 107035. [Google Scholar]
- Chen, C.; Wei, H.; Xu, N.; Zheng, G.; Yang, M.; Xiong, Y.; Xu, K.; Li, Z. Toward A thousand lights: Decentralized deep reinforcement learning for large-scale traffic signal control. In Proceedings of the AAAI Conference on Artificial Intelligence, New York, NY, USA, 7–12 February 2020; Volume 34, pp. 3414–3421. [Google Scholar]
- Liang, F.; Yu, W.; Liu, X.; Griffith, D.; Golmie, N. Toward edge-based deep learning in industrial Internet of Things. IEEE Internet Things J. 2020, 7, 4329–4341. [Google Scholar] [CrossRef]
- Dayal, A.; Paluru, N.; Cenkeramaddi, L.R.; Yalavarthy, P.K. Design and implementation of deep learning based contactless authentication system using hand gestures. Electronics 2021, 10, 182. [Google Scholar] [CrossRef]
- Ouyang, W.; Wang, X. Joint deep learning for pedestrian detection. In Proceedings of the IEEE International Conference on Computer Vision, Sydney, Australia, 1–8 December 2013; pp. 2056–2063. [Google Scholar]
- Yao, S.; Hu, S.; Zhao, Y.; Zhang, A.; Abdelzaher, T. Deepsense: A unified deep learning framework for time-series mobile sensing data processing. In Proceedings of the 26th International Conference on World Wide Web, Perth, Australia, 3–7 April 2017; pp. 351–360. [Google Scholar]
- Du, S.; Li, T.; Yang, Y.; Horng, S.J. Deep air quality forecasting using hybrid deep learning framework. IEEE Trans. Knowl. Data Eng. 2019, 33, 2412–2424. [Google Scholar] [CrossRef] [Green Version]
- Li, L.; Ota, K.; Dong, M. When weather matters: IoT-based electrical load forecasting for smart grid. IEEE Commun. Mag. 2017, 55, 46–51. [Google Scholar] [CrossRef] [Green Version]
- Lin, K.; Li, Y.; Sun, J.; Zhou, D.; Zhang, Q. Multi-sensor fusion for body sensor network in medical human–robot interaction scenario. Inf. Fusion 2020, 57, 15–26. [Google Scholar] [CrossRef]
- Cai, P.; Wang, S.; Sun, Y.; Liu, M. Probabilistic end-to-end vehicle navigation in complex dynamic environments with multimodal sensor fusion. IEEE Robot. Autom. Lett. 2020, 5, 4218–4224. [Google Scholar] [CrossRef]
- Yang, W.; Deng, M.; Xu, F.; Wang, H. Prediction of hourly PM2. 5 using a space-time support vector regression model. Atmos. Environ. 2018, 181, 12–19. [Google Scholar] [CrossRef]
- Janjua, Z.H.; Vecchio, M.; Antonini, M.; Antonelli, F. IRESE: An intelligent rare-event detection system using unsupervised learning on the IoT edge. Eng. Appl. Artif. Intell. 2019, 84, 41–50. [Google Scholar] [CrossRef] [Green Version]
- Xi, X.; Wei, Z.; Xiaoguang, R.; Yijie, W.; Xinxin, B.; Wenjun, Y.; Jin, D. A comprehensive evaluation of air pollution prediction improvement by a machine learning method. In Proceedings of the 2015 IEEE International Conference on Service Operations And Logistics, and Informatics (SOLI), Yasmine Hammamet, Tunisia, 15–17 November 2015; pp. 176–181. [Google Scholar]
- Jain, R.; Shah, H. An anomaly detection in smart cities modeled as wireless sensor network. In Proceedings of the 2016 International Conference on Signal and Information Processing (IConSIP), Nanded, India, 6–8 October 2016; pp. 1–5. [Google Scholar]
- Wang, W.; Yin, H.; Chen, C.; Till, A.; Yao, W.; Deng, X.; Liu, Y. Frequency disturbance event detection based on synchrophasors and deep learning. IEEE Trans. Smart Grid 2020, 11, 3593–3605. [Google Scholar] [CrossRef]
- Deng, S.; Zhao, H.; Fang, W.; Yin, J.; Dustdar, S.; Zomaya, A.Y. Edge intelligence: The confluence of edge computing and artificial intelligence. IEEE Internet Things J. 2020, 7, 7457–7469. [Google Scholar] [CrossRef] [Green Version]
- Guillén, M.A.; Llanes, A.; Imbernón, B.; Martínez-España, R.; Bueno-Crespo, A.; Cano, J.C.; Cecilia, J.M. Performance evaluation of edge-computing platforms for the prediction of low temperatures in agriculture using deep learning. J. Supercomput. 2021, 77, 818–840. [Google Scholar] [CrossRef]
- Balemans, D.; Casteels, W.; Vanneste, S.; de Hoog, J.; Mercelis, S.; Hellinckx, P. Resource efficient sensor fusion by knowledge-based network pruning. Internet Things 2020, 11, 100231. [Google Scholar] [CrossRef]
- Kidziński, Ł.; Delp, S.; Schwartz, M. Automatic real-time gait event detection in children using deep neural networks. PLoS ONE 2019, 14, e0211466. [Google Scholar] [CrossRef] [Green Version]
- Choi, S.H.; Yoon, H.; Kim, H.S.; Kim, H.B.; Kwon, H.B.; Oh, S.M.; Lee, Y.J.; Park, K.S. Real-time apnea-hypopnea event detection during sleep by convolutional neural networks. Comput. Biol. Med. 2018, 100, 123–131. [Google Scholar] [CrossRef] [PubMed]
- Marinov, M.B.; Topalov, I.; Gieva, E.; Nikolov, G. Air quality monitoring in urban environments. In Proceedings of the 2016 39th International Spring Seminar on Electronics Technology (ISSE), Pilsen, Czech Republic, 18–22 May 2016; pp. 443–448. [Google Scholar]
- Kumar, S.; Jasuja, A. Air quality monitoring system based on IoT using Raspberry Pi. In Proceedings of the 2017 International Conference on Computing, Communication and Automation (ICCCA), Greater Noida, India, 5–6 May 2017; pp. 1341–1346. [Google Scholar]
- Zheng, K.; Zhao, S.; Yang, Z.; Xiong, X.; Xiang, W. Design and implementation of LPWA-based air quality monitoring system. IEEE Access 2016, 4, 3238–3245. [Google Scholar] [CrossRef]
- Han, W.; Zhai, S.; Guo, J.; Lee, S.; Chang, K.; Zhang, G. Analysis of NO2 and O3 Air Quality Indices and Forecasting Using Machine Learning Models. SAR J. 2018, 1, 107–114. [Google Scholar]
- Hall, M.; Frank, E.; Holmes, G.; Pfahringer, B.; Reutemann, P.; Witten, I.H. The WEKA data mining software: An update. ACM SIGKDD Explor. Newsl. 2009, 11, 10–18. [Google Scholar] [CrossRef]
- Frank, E.; Hall, M.; Holmes, G.; Kirkby, R.; Pfahringer, B.; Witten, I.H.; Trigg, L. Weka-a machine learning workbench for data mining. In Data Mining and Knowledge Discovery Handbook; Springer: Berlin, Germany, 2009; pp. 1269–1277. [Google Scholar]
- Chen, S.; Kan, G.; Li, J.; Liang, K.; Hong, Y. Investigating China’s Urban Air Quality Using Big Data, Information Theory, and Machine Learning. Pol. J. Environ. Stud. 2018, 27, 1–14. [Google Scholar] [CrossRef]
- Chiu, C.Y.; Zhang, Z. The air quality evaluation based on gas sensor array. In Proceedings of the 2017 China Semiconductor Technology International Conference (CSTIC), Shanghai, China, 12–13 March 2017; pp. 1–5. [Google Scholar]
- Arduino. Arduino LLC 2015. An Open-Source Hardware and Software Company, Project and User Community. Available online: https://www.arduino.cc/ (accessed on 5 June 2021).
- Debauche, O.; Mahmoudi, S.; Manneback, P.; Assila, A. Fog IoT for Health: A new Architecture for Patients and Elderly Monitoring. Procedia Comput. Sci. 2019, 160, 289–297. [Google Scholar] [CrossRef]
- Wang, Z.; Oates, T. Imaging time-series to improve classification and imputation. In Proceedings of the Twenty-Fourth International Joint Conference on Artificial Intelligence, Buenos Aires, Argentina, 25–31 July 2015. [Google Scholar]
- Airnow. Research Triangle Park, N.C., US. Environmental Protection Agency, Office of Air Quality Planning and Standards. 2000. Available online: https://www.airnow.gov (accessed on 5 June 2021).
- Wang, M.; Liu, F.; Zheng, M. Air quality improvement from COVID-19 lockdown: Evidence from China. Air Qual. Atmos. Health 2021, 14, 591–604. [Google Scholar] [CrossRef] [PubMed]
- USEPA. US Environmental Protection Agency. Air Quality System Data Mart. Available online: https://www.epa.gov/airdata (accessed on 5 June 2021).
- NASA. OPenDAP Data Access Form. Available online: https://www.earthdata.nasa.gov (accessed on 5 June 2021).
- Gelaro, R.; McCarty, W.; Suárez, M.J.; Todling, R.; Molod, A.; Takacs, L.; Randles, C.A.; Darmenov, A.; Bosilovich, M.G.; Reichle, R.; et al. The modern-era retrospective analysis for research and applications, version 2 (MERRA-2). J. Clim. 2017, 30, 5419–5454. [Google Scholar] [CrossRef] [PubMed]
- Air Quality Index 2014–2020. Available online: https://aqicn.org/city/seoul/ (accessed on 10 February 2020).
- Pääkkönen, P.; Pakkala, D.; Kiljander, J.; Sarala, R. Architecture for enabling edge inference via model transfer from cloud domain in a kubernetes environment. Future Internet 2021, 13, 5. [Google Scholar] [CrossRef]
- Tariq, Z.; Shah, S.K.; Lee, Y. Lung Disease Classification using Deep Convolutional Neural Network. In Proceedings of the 2019 IEEE International Conference on Bioinformatics and Biomedicine (BIBM), San Diego, CA, USA, 18–21 November 2019; pp. 732–735. [Google Scholar]
- Tariq, Z.; Shah, S.K.; Lee, Y. FDA-NET: Fusion-based Learning for Deep Acoustic Classification. Appl. Acoust. 2021. under review. [Google Scholar]
- Tariq, Z.; Shah, S.K.; Lee, Y. Feature-based Fusion using CNN for Lung and Heart Sound Classification. Neurocomputing 2021. under review. [Google Scholar]















| Publication | Model | Methodology | Data | Approach | Limitation |
|---|---|---|---|---|---|
| Yang et al. [18] | SVM | Real-time Prediction | Air quality | Real-time air-quality prediction. Predict hourly PM2.5 concentration using Support Vector Regression model | Lack of deep-learning technique. Air-quality detection using a single sensor |
| Janjua et al. [19] | Feature: LPC, MFCC, and GFCC using Unsupervised Machine learning | IoT Edge-based system | Rare events (gunshot, glass break, siren, and scream) | IoT Edge-based system for rare event detection (gunshot, glass break, siren, and scream) | Detecting rare events without considering the type of event. Overlapping of events detection |
| Xi et al. [20] | SVM, Decision Trees, Random Forests, Gradient Boosting: Precision | IoT sensor-based detection | 74 Chinese cities | Urban Air-Pollution Detection for the Cities in China | Lack of deep-learning techniques. Low performance i.e., low accuracy |
| Raj et al. [21] | ANN, SVM | IoT sensor-based detection | Denmark’s smart cities’ real-time sensor data | Detecting anomalies using low-cost sensors | Basic neural network model. Not suitable for large datasets |
| Wang et al. [22] | CNN | Deep-learning-based approach | ROCOF time-series data | Power System Event Detection with CNN fusion | Deep-learning approach not tested with real time |
| Sensors/IoT | Devices Used for AQI Detection | Configuration |
|---|---|---|
| MQ-5 | Natural gas, LPG | Sensing Resistance: 10 K–60 K; |
| MQ-131 | Ground-level ozone | Concentration Scope: 200–10,000 ppm; |
| MQ-135 | CO, ammonia, benzene, alcohol, smoke | Operating voltage: 5 V; |
| MQ-136 | Hydrogen sulfide gas (SO2) | Heater resistance: 33 |
| PMS5003 | Detection of particulate matters (PM10 and PM2.5) | |
| DHT22 | Digital temperature/humidity sensor to measure the surrounding air | Humidity: 0–100% RH; Temperature: −40–−80 °C |
| Mic | USB microphone | Samsung Galaxy S6 |
| Arduino Uno | Open-source electronic prototyping platform enabling users to create interactive electronic objects | Microcontroller ATmega328P: 8-bit AVR family microcontroller; Input Voltage Limits: 6–20 V; Analog Input Pins: 6 (A0–A5); Digital I/O Pins: 14; DC Current on I/O Pins: 40 mA |
| Jetson Nano | NVIDIA’s embedded system-on-module and developer kit. Used for real-time machine learning (ML) by deploying ML models to be run on the edge device. | microSD card (16 GB UHS-1 minimum), USB keyboard and mouse, Computer display (either HDMI or DP), Micro-USB power supply (5 V ≡ 2 A) |
| Model | Epochs | #Parameters | Cloud | Edge | Size |
|---|---|---|---|---|---|
| Training Time | Testing Time | ||||
| Lw-CNN-1 | 5 | 363,882 | 00:03:48 | 00:00:14 | 4.3 MB |
| 10 | 00:06:38 | 00:00:16 | |||
| 15 | 00:09:38 | 00:00:17 | |||
| Lw-CNN-2 | 5 | 132,042 | 00:03:24 | 00:00:06 | 1.6 MB |
| 10 | 00:05:37 | 00:00:07 | |||
| 15 | 00:08:41 | 00:00:09 |
| Event | Effects (Conditions) | Location | Model |
|---|---|---|---|
| Pre-Pandemic | High AQI Level | Seoul, Daegu, Incheon, Busan in South Korea | (1) AQI Level Detection on |
| Event (2019) | High AQI Level | Wuhan, Beijing, Shanghai, Hefei in China | PM2.5, PM10, CO, O3, NO2, and SO2 |
| Pandemic Event | Moderate AQI Level | Seoul, Daegu, Incheon, Busan in South Korea | (2) Event Detection with Spatial |
| (2020) | Moderate AQI Level | Wuhan, Beijing, Shanghai, Hefei in China | and Temporal AQI Data |
| Pre-Pandemic | High road-traffic congestion | Seoul, Daegu, Incheon, Busan in South Korea | (1) Traffic analysis with latitude, |
| Event (2019) | & poor air quality. | Wuhan, Beijing, Shanghai, Hefei in China | longitude, humidity, temperature, height... |
| Pandemic Event | Traffic decreased | Seoul, Daegu, Incheon, Busan in South Korea | (2) Correlation of PM2.5 ratio and traffic |
| (2020) | & air quality improved. | Wuhan, Beijing, Shanghai, Hefei in China | congestion during peak and non-peak hours. |
| Model | Epochs: 5 | Epochs: 10 | Epochs: 15 | |||
|---|---|---|---|---|---|---|
| Accuracy | Training | Testing | Training | Testing | Training | Testing |
| Lw-CNN-1 | 36.25% | 36.81% | 94.59% | 94.32% | 98.09% | 97.65% |
| Lw-CNN-2 | 50.28% | 49.97% | 90.08% | 88.97% | 98.58% | 97.19% |
| Model | Epochs | Metrics | Seoul | Daegu | Incheon | Busan | Wuhan | Beijing | Shanghai | Hefei |
|---|---|---|---|---|---|---|---|---|---|---|
| Lw-CNN-1 | 5 | Precision | 50% | 39% | 99% | 31% | 11% | 6% | 38% | 5% |
| Recall | 93% | 82% | 19% | 58% | 97% | 100% | 96% | 100% | ||
| F1-Score | 65% | 53% | 32% | 40% | 19% | 11% | 55% | 9% | ||
| 10 | Precision | 94% | 93% | 97% | 98% | 98% | 74% | 99% | 94% | |
| Recall | 99% | 98% | 96% | 83% | 96% | 97% | 91% | 99% | ||
| F1-Score | 97% | 96% | 96% | 90% | 97% | 84% | 95% | 96% | ||
| 15 | Precision | 100% | 96% | 100% | 100% | 91% | 100% | 98% | 98% | |
| Recall | 97% | 100% | 92% | 96% | 100% | 99% | 100% | 99% | ||
| F1-Score | 98% | 98% | 96% | 98% | 95% | 100% | 99% | 98% | ||
| Lw-CNN-2 | 5 | Precision | 97% | 24% | 53% | 37% | 19% | 25% | 75% | 56% |
| Recall | 29% | 98% | 50% | 77% | 100% | 84% | 74% | 62% | ||
| F1-Score | 44% | 39% | 51% | 50% | 32% | 39% | 75% | 59% | ||
| 10 | Precision | 80% | 87% | 98% | 95% | 83% | 99% | 97% | 76% | |
| Recall | 93% | 98% | 69% | 90% | 98% | 91% | 89% | 99% | ||
| F1-Score | 86% | 92% | 81% | 92% | 90% | 95% | 93% | 86% | ||
| 15 | Precision | 99% | 93% | 99% | 97% | 99% | 100% | 98% | 98% | |
| Recall | 98% | 100% | 96% | 98% | 99% | 92% | 99% | 100% | ||
| F1-Score | 99% | 97% | 97% | 98% | 99% | 96% | 99% | 99% |
| Event Prediction (Ours) | EPA’s AQI Dataset [41] | Lw-CNN-1: 97.65%, Lw-CNN-2: 97.19% | Air-Quality Event Detection (City and Time) |
|---|---|---|---|
| Shah et al. (2020) [1] | Seoul AQI dataset (2014–2020) [44] | Decision Tree 76%, Random Forest 82%, SVM 95% | Air-quality level Prediction |
| Xi et al. (2015) [20] | 74 Chinese cities | SVM, Decision Trees, Random Forests, Gradient Boosting: Precision 70–85% (10 cities) | Urban Air-Pollution Detection for the Cities in China |
| Raj et al. [21] | Denmark’s smart cities’ real-time sensor data | ANN, SVM: Accuracy 95% | Detecting anomalies using low-cost sensors |
| Wang et al. (2020) [22] | ROCOF time-series data | CNNs accuracy 94.42% | Power System Event Detection |
| Device | Data-Gathering | Data Transformation Time (s) | DL Model | Training Time (s) | Testing Time (s) | |
|---|---|---|---|---|---|---|
| Cloud | NVIDIA | Record every | 342 | Lw-CNN-1 | 468 | 12 |
| 1080 Ti GPU | minute from | Lw-CNN-2 | 414 | 7 | ||
| Edge | NVIDIA Jetson | sensors and select | 702 | Lw-CNN-1 | 558 | 17 |
| Nano (proposed) | the highest value | Lw-CNN-2 | 504 | 9 | ||
| Raspberry Pi 4 | from 24 readings | 936 | Lw-CNN-1 | 756 | 22 | |
| every day | Lw-CNN-2 | 642 | 19 |
Publisher’s Note: MDPI stays neutral with regard to jurisdictional claims in published maps and institutional affiliations. |
© 2021 by the authors. Licensee MDPI, Basel, Switzerland. This article is an open access article distributed under the terms and conditions of the Creative Commons Attribution (CC BY) license (https://creativecommons.org/licenses/by/4.0/).
Share and Cite
Shah, S.K.; Tariq, Z.; Lee, J.; Lee, Y. Event-Driven Deep Learning for Edge Intelligence (EDL-EI). Sensors 2021, 21, 6023. https://doi.org/10.3390/s21186023
Shah SK, Tariq Z, Lee J, Lee Y. Event-Driven Deep Learning for Edge Intelligence (EDL-EI). Sensors. 2021; 21(18):6023. https://doi.org/10.3390/s21186023
Chicago/Turabian StyleShah, Sayed Khushal, Zeenat Tariq, Jeehwan Lee, and Yugyung Lee. 2021. "Event-Driven Deep Learning for Edge Intelligence (EDL-EI)" Sensors 21, no. 18: 6023. https://doi.org/10.3390/s21186023
APA StyleShah, S. K., Tariq, Z., Lee, J., & Lee, Y. (2021). Event-Driven Deep Learning for Edge Intelligence (EDL-EI). Sensors, 21(18), 6023. https://doi.org/10.3390/s21186023

