Crack Detection in Images of Masonry Using CNNs
Abstract
1. Introduction
2. Materials and Methods
2.1. Laboratory-Scale Masonry Walls
2.2. Real-World Images
2.3. Image Processing
- Cracked: Image clearly shows a cracked section of a brick wall.
- Uncracked: Image clearly shows an uncracked section of a brick wall.
- Vague: It is unclear whether or not there is a crack in the image. There may be a very small crack, the crack might fall directly on the image edge, or the image might be out of focus.
- Partial: These images include part of a brick in addition to some of the black background on which the wall was resting when photos were taken.
- No-bricks: These images include only black background with no bricks.

- a training set (642 images) on which to train the model,
- a development set (213 images) on which to tune hyperparameters,
- a testing set (213) images on which to test the final results.
2.4. CNN Model
2.5. Other Classifiers
3. Results and Discussion
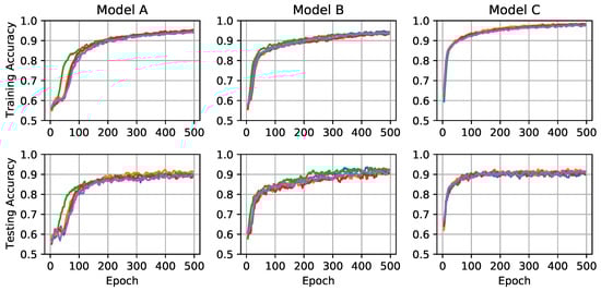
3.1. CNN Training
3.2. Testing on Laboratory Images
3.3. Domain Adaptation to Real-World Images
3.4. Comparison to Other Classifiers
4. Conclusions
Author Contributions
Funding
Data Availability Statement
Acknowledgments
Conflicts of Interest
References
- Rippmann, M.; Block, P. Rethinking structural masonry: Unreinforced, stone-cut shells. Proc. Inst. Civ. Eng. Constr. Mater. 2013, 166, 378–389. [Google Scholar] [CrossRef]
- Kamal, O.; Hamdy, G.; El-Salakawy, T. Nonlinear analysis of historic and contemporary vaulted masonry assemblages. HBRC J. 2014, 10, 235–246. [Google Scholar] [CrossRef][Green Version]
- Mısırlısoy, D. Analysis of the Structure and Design Relationship between Contemporary Extensions and Remodeled Masonry Buildings. Ph.D. Thesis, Eastern Mediterranean University (EMU), Gazimağusa, Turkey, 2011. [Google Scholar]
- Sun, M.T.; Ochsendorf, J.A. Nervi’s Design and Construction Methods of Two Thin-Shell Structures: The Leverone Field House and Thompson Arena. In Proceedings of the IASS Annual Symposia, Boston, MA, USA, 16–20 July 2018; Volume 2018, pp. 1–8. [Google Scholar]
- Block, P.; Van Mele, T.; Liew, A.; DeJong, M.; Escobedo, D.; Ochsendorf, J.A. Structural design, fabrication and construction of the Armadillo vault. Struct. Eng. J. Inst. Struct. Eng. 2018, 96, 10–20. [Google Scholar]
- Porst, C.; Brzev, S.; Ochsendorf, J. Confined Masonry for Resilient Low-Cost Housing in India: A Design and Analysis Method. In Proceedings of the 16th World Conference on Earthquake Engineering 2017, Santiago, Chile, 9–13 January 2017. [Google Scholar]
- Napolitano, R.; Douglas, I.; Garlock, M.; Glisic, B. Virtual tour environment of Cuba’s National School of Art. Int. Arch. Photogramm. Remote Sens. Spat. Inf. Sci. 2017, 42, W5. [Google Scholar] [CrossRef]
- Douglas, I.; Napolitano, R.; Garlock, M.; Glisic, B. Reconsidering the vaulted forms of cuba’s national school of ballet. In Structural Analysis of Historical Constructions; Springer: Berlin/Heidelberg, Germany, 2019; pp. 2150–2158. [Google Scholar]
- Ritchie, T.; Davison, J. Moisture content and freeze-thaw cycles of masonry materials. J. Mater. 1968, 3, 658–671. [Google Scholar]
- Scherer, G.W. Internal stress and cracking in stone and masonry. In Measuring, Monitoring and Modeling Concrete Properties; Springer: Berlin/Heidelberg, Germany, 2006; pp. 633–641. [Google Scholar]
- Uranjek, M.; Bokan-Bosiljkov, V. Influence of freeze–thaw cycles on mechanical properties of historical brick masonry. Constr. Build. Mater. 2015, 84, 416–428. [Google Scholar] [CrossRef]
- Leeanansaksiri, A.; Panyakapo, P.; Ruangrassamee, A. Seismic capacity of masonry infilled RC frame strengthening with expanded metal ferrocement. Eng. Struct. 2018, 159, 110–127. [Google Scholar] [CrossRef]
- Grimmer, A.E. A Glossary of Historic Masonry Deterioration Problems and Preservation Treatments; Department of the Interior, National Park Service, Preservation Assistance: Washington, DC, USA, 1984.
- Scherer, G.W.; Flatt, R.; Wheeler, G. Materials science research for the conservation of sculpture and monuments. MRS Bull. 2001, 26, 44–50. [Google Scholar] [CrossRef]
- Burd, H.; Houlsby, G.; Augarde, C.; Liu, G. Modelling tunnelling-induced settlement of masonry buildings. Proc. Inst. Civ. Eng. Geotech. Eng. 2000, 143, 17–29. [Google Scholar] [CrossRef]
- Giardina, G.; Hendriks, M.A.; Rots, J.G. Assessment of the settlement vulnerability of masonry buildings. In Proceedings of the 1st WTA International PhD Symposium-Buildings Materials and Building Technology for Preservation of the Built Heritage, Leuven, Belgium, 8–9 October 2009. [Google Scholar]
- Giardina, G.; Van de Graaf, A.V.; Hendriks, M.A.; Rots, J.G.; Marini, A. Numerical analysis of a masonry façade subject to tunnelling-induced settlements. Eng. Struct. 2013, 54, 234–247. [Google Scholar] [CrossRef]
- Block, P.; DeJong, M.; Davis, L.; Ochsendorf, J. Tile vaulted systems for low-cost construction in Africa. ATDF J. 2010, 7, 4–13. [Google Scholar]
- Ingham, J.; Griffith, M. Performance of unreinforced masonry buildings during the 2010 Darfield (Christchurch, NZ) earthquake. Aust. J. Struct. Eng. 2010, 11, 207–224. [Google Scholar] [CrossRef]
- Federal Emergency Management Agency. Unreinforced Masonry Buildings and Earthquakes. Developing successful risk reduction programs. FEMA P-774. Buildings; 2009; 53p. Available online: https://www.madcad.com/media/fema/FEMA-P774-2009.pdf (accessed on 1 June 2021).
- Orbán, Z. UIC project on assessment, inspection and maintenance of masonry arch railway bridges. ARCH 2007, 7, 3–12. [Google Scholar]
- Gentile, C.; Saisi, A. On-site investigation and dynamic monitoring for the post-earthquake assessment of a masonry tower. In Proceedings of the 9th International Conference on Structural Analysis of Historical Constructions, Mexico City, Mexico, 14–17 October 2014. [Google Scholar]
- Ellenberg, A.; Kontsos, A.; Bartoli, I.; Pradhan, A. Masonry crack detection application of an unmanned aerial vehicle. In Proceedings of the Computing in Civil and Building Engineering (2014), Orlando, FL, USA, 23–25 June 2014; ASCE: Reston, VA, USA, 2014; pp. 1788–1795. [Google Scholar]
- Blyth, A.; Napolitano, R.; Glisic, B. Documentation, structural health monitoring and numerical modelling for damage assessment of the Morris Island Lighthouse. Philos. Trans. R. Soc. A 2019, 377, 20190002. [Google Scholar] [CrossRef] [PubMed]
- Kunal, K.; Killemsetty, N. Study on control of cracks in a Structure through Visual Identification & Inspection. IOSR J. Mech. Civ. Eng. 2014, 11, 64–72. [Google Scholar]
- Torok, M.M.; Golparvar-Fard, M.; Kochersberger, K.B. Image-Based Automated 3D Crack Detection for Post-disaster Building Assessment. J. Comput. Civ. Eng. 2014, 28, A4014004. [Google Scholar] [CrossRef]
- Yeum, C.M.; Dyke, S.J.; Ramirez, J. Visual data classification in post-event building reconnaissance. Eng. Struct. 2018, 155, 16–24. [Google Scholar] [CrossRef]
- Groeger, J.L.; Stephanos, P.; Dorsey, P.; Chapman, M. Implementation of automated network-level crack detection processes in Maryland. Transp. Res. Rec. 2003, 1860, 109–116. [Google Scholar] [CrossRef]
- Cord, A.; Chambon, S. Automatic road defect detection by textural pattern recognition based on AdaBoost. Comput. Aided Civ. Infrastruct. Eng. 2012, 27, 244–259. [Google Scholar] [CrossRef]
- Koch, C.; Jog, G.M.; Brilakis, I. Automated Pothole Distress Assessment Using Asphalt Pavement Video Data. J. Comput. Civ. Eng. 2013, 27, 370–378. [Google Scholar] [CrossRef]
- Zalama, E.; Gómez-García-Bermejo, J.; Medina, R.; Llamas, J. Road crack detection using visual features extracted by Gabor filters. Comput. Aided Civ. Infrastruct. Eng. 2014, 29, 342–358. [Google Scholar] [CrossRef]
- Gopalakrishnan, K.; Smadi, O.G.; Ceylan, H.; Celik, K.; Somani, A.K. Machine-Vision-Based Roadway Health Monitoring and Assessment: Development of a Shape-Based Pavement-Crack-Detection Approach; Iowa State University: Ames, IA, USA, 2016. [Google Scholar]
- Zhang, L.; Yang, F.; Zhang, Y.D.; Zhu, Y.J. Road crack detection using deep convolutional neural network. In Proceedings of the IEEE International Conference on Image Processing (ICIP), Phoenix, AZ, USA, 25–28 September 2016; pp. 3708–3712. [Google Scholar]
- Zhang, A.; Wang, K.C.; Li, B.; Yang, E.; Dai, X.; Peng, Y.; Fei, Y.; Liu, Y.; Li, J.Q.; Chen, C. Automated pixel-level pavement crack detection on 3D asphalt surfaces using a deep-learning network. Comput. Aided Civ. Infrastruct. Eng. 2017, 32, 805–819. [Google Scholar] [CrossRef]
- Yeum, C.M.; Dyke, S.J. Vision-Based Automated Crack Detection for Bridge Inspection. Comput. Aided Civ. Infrastruct. Eng. 2015, 30, 759–770. [Google Scholar] [CrossRef]
- Cha, Y.J.; Choi, W.; Suh, G.; Mahmoudkhani, S.; Büyüköztürk, O. Autonomous structural visual inspection using region-based deep learning for detecting multiple damage types. Comput. Aided Civ. Infrastruct. Eng. 2018, 33, 731–747. [Google Scholar] [CrossRef]
- Xu, Y.; Bao, Y.; Chen, J.; Zuo, W.; Li, H. Surface fatigue crack identification in steel box girder of bridges by a deep fusion convolutional neural network based on consumer-grade camera images. Struct. Health Monit. 2019, 18, 653–674. [Google Scholar] [CrossRef]
- Dung, C.V.; Sekiya, H.; Hirano, S.; Okatani, T.; Miki, C. A vision-based method for crack detection in gusset plate welded joints of steel bridges using deep convolutional neural networks. Autom. Constr. 2019, 102, 217–229. [Google Scholar] [CrossRef]
- Abdel-Qader, I.; Abudayyeh, O.; Kelly, M.E. Analysis of edge-detection techniques for crack identification in bridges. J. Comput. Civ. Eng. 2003, 17, 255–263. [Google Scholar] [CrossRef]
- Nishikawa, T.; Yoshida, J.; Sugiyama, T.; Fujino, Y. Concrete crack detection by multiple sequential image filtering. Comput. Aided Civ. Infrastruct. Eng. 2012, 27, 29–47. [Google Scholar] [CrossRef]
- Hu, D.; Tian, T.; Yang, H.; Xu, S.; Wang, X. Wall crack detection based on image processing. In Proceedings of the Third International Conference on Intelligent Control and Information Processing, Dalian, China, 15–17 July 2012; pp. 597–600. [Google Scholar]
- Amer, G.M.H.; Abushaala, A.M. Edge detection methods. In Proceedings of the 2nd World Symposium on Web Applications and Networking (WSWAN), Sousse, Tunisia, 21–23 March 2015; pp. 1–7. [Google Scholar]
- Wang, N.; Zhao, Q.; Li, S.; Zhao, X.; Zhao, P. Damage classification for masonry historic structures using convolutional neural networks based on still images. Comput. Aided Civ. Infrastruct. Eng. 2018, 33, 1073–1089. [Google Scholar] [CrossRef]
- Cha, Y.J.; Choi, W.; Büyüköztürk, O. Deep Learning-Based Crack Damage Detection Using Convolutional Neural Networks. Comput. Aided Civ. Infrastruct. Eng. 2017, 32, 361–378. [Google Scholar] [CrossRef]
- Ali, L.; Alnajjar, F.; Jassmi, H.A.; Gochoo, M.; Khan, W.; Serhani, M.A. Performance Evaluation of Deep CNN-Based Crack Detection and Localization Techniques for Concrete Structures. Sensors 2021, 21, 1688. [Google Scholar] [CrossRef]
- Kim, B.; Yuvaraj, N.; Preethaa, K.S.; Pandian, R.A. Surface crack detection using deep learning with shallow CNN architecture for enhanced computation. Neural Comput. Appl. 2021, 33, 9289–9305. [Google Scholar] [CrossRef]
- Reghukumar, A.; Anbarasi, L.J. Crack Detection in Concrete Structures Using Image Processing and Deep Learning. In Advances in Electrical and Computer Technologies: Select Proceedings of ICAECT 2020; Springer: Singapore, 2021; pp. 211–219. [Google Scholar]
- Chehri, A.; Saeidi, A. IoT and Deep Learning Solutions for an Automated Crack Detection for the Inspection of Concrete Bridge Structures. In International Conference on Human-Centered Intelligent Systems, Proceedings of the KES-HCIS 2021: Human Centred Intelligent Systems, Virtual Conference, 14–16 June 2021; Springer: Berlin/Heidelberg, Germany, 2021; pp. 110–119. [Google Scholar]
- Bang, H.; Min, J.; Jeon, H. Deep Learning-Based Concrete Surface Damage Monitoring Method Using Structured Lights and Depth Camera. Sensors 2021, 21, 2759. [Google Scholar] [CrossRef] [PubMed]
- Rezaie, A.; Achanta, R.; Godio, M.; Beyer, K. Comparison of crack segmentation using digital image correlation measurements and deep learning. Constr. Build. Mater. 2020, 261, 120474. [Google Scholar] [CrossRef]
- Chow, J.K.; Su, Z.; Wu, J.; Tan, P.S.; Mao, X.; Wang, Y.H. Anomaly detection of defects on concrete structures with the convolutional autoencoder. Adv. Eng. Inform. 2020, 45, 101105. [Google Scholar] [CrossRef]
- Lappas, D.; Argyriou, V.; Makris, D. Fourier transformation autoencoders for anomaly detection. In Proceedings of the ICASSP 2021-2021 IEEE International Conference on Acoustics, Speech and Signal Processing (ICASSP), Toronto, ON, Canada, 6–11 June 2021; pp. 1475–1479. [Google Scholar]
- Pena, L.; Domede, N.; Fady, N. Contribution of PCA and ANN in the Structural Diagnosis of a Masonry Lighthouse under Temperature and Wind Actions. Int. J. Archit. Herit. 2021, 1–22. [Google Scholar] [CrossRef]
- Xu, J.; Yu, X. Detection of concrete structural defects using impact echo based on deep networks. J. Test. Eval. 2020, 49, 109–120. [Google Scholar]
- Pyle, R.J.; Bevan, R.L.; Hughes, R.R.; Rachev, R.K.; Ali, A.A.S.; Wilcox, P.D. Deep Learning for Ultrasonic Crack Characterization in NDE. IEEE Trans. Ultrason. Ferroelectr. Freq. Control 2021, 68, 1854–1865. [Google Scholar] [CrossRef]
- Medak, D.; Posilović, L.; Subašić, M.; Budimir, M.; Lončarić, S. Automated Defect Detection from Ultrasonic Images Using Deep Learning. IEEE Trans. Ultrason. Ferroelectr. Freq. Control 2021. [Google Scholar] [CrossRef]
- Noori Hoshyar, A.; Kharkovsky, S.N.; Samali, B. Statistical features and traditional SA-SVM classification algorithm for crack detection. J. Signal Inf. Process. 2018, 9, 111–121. [Google Scholar]
- Chaiyasarn, K.; Sharma, M.; Ali, L.; Khan, W.; Poovarodom, N. Crack detection in historical structures based on convolutional neural network. Int. J. Geomate 2018, 15, 240–251. [Google Scholar] [CrossRef]
- Chaiyasarn, K.; Khan, W.; Ali, L.; Sharma, M.; Brackenbury, D.; DeJong, M. Crack Detection in Masonry Structures using Convolutional Neural Networks and Support Vector Machines. In Proceedings of the International Symposium on Automation and Robotics in Construction, Berlin, Germany, 20–25 July 2018; Volume 35, pp. 1–8. [Google Scholar]
- Luqman, A.; Khanand, W.; Chaiyasarn, K. Damage detection and localization in masonry structure using faster region convolutional networks. Int. J. Geomate 2019, 17, 98–105. [Google Scholar]
- Wang, N.; Zhao, X.; Zhao, P.; Zhang, Y.; Zou, Z.; Ou, J. Automatic damage detection of historic masonry buildings based on mobile deep learning. Autom. Constr. 2019, 103, 53–66. [Google Scholar] [CrossRef]
- Agyemang, D.B.; Bader, M. Surface Crack Detection Using Hierarchal Convolutional Neural Network. In UK Workshop on Computational Intelligence, Proceedings of the UKCI 2019: Advances in Computational Intelligence Systems, Portsmouth, UK, 4–6 September 2019; Springer: Berlin/Heidelberg, Germany, 2019; pp. 173–186. [Google Scholar]
- Napolitano, R.K.; Glisic, B. Minimizing the adverse effects of bias and low repeatability precision in photogrammetry software through statistical analysis. J. Cult. Herit. 2018, 31, 46–52. [Google Scholar] [CrossRef]
- Napolitano, R.; Hess, M.; Glisic, B. Integrating non-destructive testing, laser scanning, and numerical modeling for damage assessment: The room of the elements. Heritage 2019, 2, 151–168. [Google Scholar] [CrossRef]
- Napolitano, R.; Glisic, B. Methodology for diagnosing crack patterns in masonry structures using photogrammetry and distinct element modeling. Eng. Struct. 2019, 181, 519–528. [Google Scholar] [CrossRef]
- Napolitano, R.K.; Hess, M.; Glisic, B. The Foundation Walls of the Baptistery Di San Giovanni: A Combination of Laser Scanning and Finite-Distinct Element Modeling to Ascertain Damage Origins. Int. J. Archit. Herit. 2019, 1–14. [Google Scholar] [CrossRef]
- Keras: The Python Deep Learning Library. Documentation. 2019. Available online: https://ui.adsabs.harvard.edu/abs/2018ascl.soft06022C/abstract (accessed on 1 June 2021).
- Pedregosa, F.; Varoquaux, G.; Gramfort, A.; Michel, V.; Thirion, B.; Grisel, O.; Blondel, M.; Prettenhofer, P.; Weiss, R.; Dubourg, V.; et al. Scikit-learn: Machine Learning in Python. J. Mach. Learn. Res. 2011, 12, 2825–2830. [Google Scholar]











| Operation | Result | ||||||||||
|---|---|---|---|---|---|---|---|---|---|---|---|
|
Layer
Number |
Layer
Type |
Filter
Height |
Filter
Width |
Filter
Depth |
Number
of Filters | Padding | Stride |
Total
Parameters | Height | Width | Depth |
| 0 | Input | 100 | 100 | 3 | |||||||
| 1 | 2D Conv | 25 | 25 | 3 | 24 | Same | 1 | 45,072 | 76 | 76 | 24 |
| 2 | Max Pool | 5 | 5 | 24 | 2 | 22 | 22 | 24 | |||
| 3 | 2D Conv | 15 | 15 | 3 | 48 | Same | 1 | 32,544 | 11 | 11 | 48 |
| 4 | Max Pool | 2 | 2 | 48 | 2 | 1 | 1 | 48 | |||
| 5 | 2D Conv | 11 | 11 | 3 | 96 | Same | 1 | 35,136 | 1 | 1 | 96 |
| 6 | Flatten | 1 | 1 | 96 | |||||||
| 7 | Dropout (0.5) | 1 | 1 | 96 | |||||||
| 8 | ReLU | 1 | 1 | 96 | |||||||
| 9 | Dense | 2 | 192 | 1 | 1 | 2 | |||||
| 10 | Softmax | 1 | 1 | 2 | |||||||
| Total Parameters in Model | 112,752 | ||||||||||
| Operation | Result | ||||||||||
|---|---|---|---|---|---|---|---|---|---|---|---|
|
Layer
Number |
Layer
Type |
Filter
Height |
Filter
Width |
Filter
Depth |
Number
of Filters | Padding | Stride |
Total
Parameters | Height | Width | Depth |
| 0 | Input | 100 | 100 | 3 | |||||||
| 1 | 2D Conv | 15 | 15 | 3 | 20 | Same | 1 | 13,560 | 100 | 100 | 20 |
| 2 | ReLU | 100 | 100 | 20 | |||||||
| 3 | 2D Conv | 10 | 10 | 20 | 20 | Valid | 1 | 40,400 | 91 | 91 | 20 |
| 4 | ReLU | 91 | 91 | 20 | |||||||
| 5 | Max Pool | 5 | 5 | 20 | 5 | 18 | 18 | 20 | |||
| 6 | Dropout (0.25) | 18 | 18 | 20 | |||||||
| 7 | 2D Conv | 5 | 5 | 20 | 40 | Same | 1 | 20,800 | 18 | 18 | 40 |
| 8 | ReLU | 18 | 18 | 40 | |||||||
| 9 | 2D Conv | 2 | 2 | 40 | 40 | Valid | 1 | 8000 | 17 | 17 | 40 |
| 10 | ReLU | 17 | 17 | 40 | |||||||
| 11 | Max Pool | 4 | 4 | 40 | 4 | 4 | 4 | 40 | |||
| 12 | Dropout (0.25) | 4 | 4 | 40 | |||||||
| 13 | Flatten | 640 | 1 | 1 | |||||||
| 14 | Dense | 50 | 32,000 | 50 | 1 | 1 | |||||
| 15 | ReLU | 50 | 1 | 1 | |||||||
| 16 | Dropout (0.5) | 50 | 1 | 1 | |||||||
| 17 | Dense | 2 | 100 | 2 | 1 | 1 | |||||
| 18 | Softmax | 2 | 1 | 1 | |||||||
| Total Parameters in Model | 114,860 | ||||||||||
| Operation | Result | ||||||||||
|---|---|---|---|---|---|---|---|---|---|---|---|
|
Layer
Number |
Layer
Type |
Filter
Height |
Filter
Width |
Filter
Depth |
Number
of Filters | Padding | Stride |
Total
Parameters | Height | Width | Depth |
| 0 | Input | 100 | 100 | 3 | |||||||
| 1 | 2D Conv | 9 | 9 | 3 | 32 | Same | 1 | 7872 | 100 | 100 | 32 |
| 2 | ReLU | 100 | 100 | 32 | |||||||
| 3 | 2D Conv | 9 | 9 | 32 | 32 | Valid | 1 | 83,968 | 92 | 92 | 32 |
| 4 | ReLU | 92 | 92 | 32 | |||||||
| 5 | Max Pool | 6 | 6 | 32 | 6 | 15 | 15 | 32 | |||
| 6 | Dropout (0.25) | 15 | 15 | 32 | |||||||
| 7 | 2D Conv | 9 | 9 | 32 | 64 | Same | 1 | 167,936 | 15 | 15 | 64 |
| 8 | ReLU | 15 | 15 | 64 | |||||||
| 9 | 2D Conv | 9 | 9 | 64 | 64 | Valid | 1 | 335,872 | 7 | 7 | 64 |
| 10 | ReLU | 7 | 7 | 64 | |||||||
| 11 | Max Pool | 6 | 6 | 64 | 6 | 1 | 1 | 64 | |||
| 12 | Dropout (0.25) | 1 | 1 | 64 | |||||||
| 13 | Flatten | 64 | 1 | 1 | |||||||
| 14 | Dense | 512 | 32,768 | 512 | 1 | 1 | |||||
| 15 | ReLU | 512 | 1 | 1 | |||||||
| 16 | Dropout (0.5) | 512 | 1 | 1 | |||||||
| 17 | Dense | 2 | 1024 | 2 | 1 | 1 | |||||
| 18 | Softmax | 2 | 1 | 1 | |||||||
| Total Parameters in Model | 629,440 | ||||||||||
| Model A | Model B | Model C | |
|---|---|---|---|
| Accuracy | 0.902 ± 0.014 | 0.925 ± 0.011 | 0.887 ± 0.019 |
| Precision | 0.913 ± 0.035 | 0.928 ± 0.021 | 0.882 ± 0.041 |
| Recall | 0.919 ± 0.042 | 0.943 ± 0.008 | 0.930 ± 0.027 |
| F1 | 0.915 ± 0.013 | 0.936 ± 0.009 | 0.905 ± 0.014 |
| Model A | Model B | Model C | |
|---|---|---|---|
| Accuracy | 0.615 ± 0.041 | 0.755 ± 0.012 | 0.810 ± 0.051 |
| Precision | 0.650 ± 0.034 | 0.850 ± 0.010 | 0.890 ± 0.046 |
| Recall | 0.607 ± 0.040 | 0.714 ± 0.034 | 0.767 ± 0.043 |
| F1 | 0.628 ± 0.020 | 0.776 ± 0.013 | 0.824 ± 0.034 |
| SVM | RF | GP | MLP | NB | QDA | |
|---|---|---|---|---|---|---|
| Accuracy | 0.836 | 0.864 | 0.841 | 0.841 | 0.822 | 0.822 |
| Precision | 0.755 | 0.834 | 0.761 | 0.777 | 0.712 | 0.719 |
| Recall | 0.912 | 0.846 | 0.912 | 0.879 | 0.978 | 0.956 |
| F1 | 0.823 | 0.842 | 0.830 | 0.825 | 0.824 | 0.821 |
Publisher’s Note: MDPI stays neutral with regard to jurisdictional claims in published maps and institutional affiliations. |
© 2021 by the authors. Licensee MDPI, Basel, Switzerland. This article is an open access article distributed under the terms and conditions of the Creative Commons Attribution (CC BY) license (https://creativecommons.org/licenses/by/4.0/).
Share and Cite
Hallee, M.J.; Napolitano, R.K.; Reinhart, W.F.; Glisic, B. Crack Detection in Images of Masonry Using CNNs. Sensors 2021, 21, 4929. https://doi.org/10.3390/s21144929
Hallee MJ, Napolitano RK, Reinhart WF, Glisic B. Crack Detection in Images of Masonry Using CNNs. Sensors. 2021; 21(14):4929. https://doi.org/10.3390/s21144929
Chicago/Turabian StyleHallee, Mitchell J., Rebecca K. Napolitano, Wesley F. Reinhart, and Branko Glisic. 2021. "Crack Detection in Images of Masonry Using CNNs" Sensors 21, no. 14: 4929. https://doi.org/10.3390/s21144929
APA StyleHallee, M. J., Napolitano, R. K., Reinhart, W. F., & Glisic, B. (2021). Crack Detection in Images of Masonry Using CNNs. Sensors, 21(14), 4929. https://doi.org/10.3390/s21144929

