Array Design of 300 GHz Dual-Band Microstrip Antenna Based on Dual-Surfaced Multiple Split-Ring Resonators
Abstract
:1. Introduction
2. Analysis of Resonance Characteristics of MSRRs
3. Design of the 300 GHz Microstrip Array Antenna
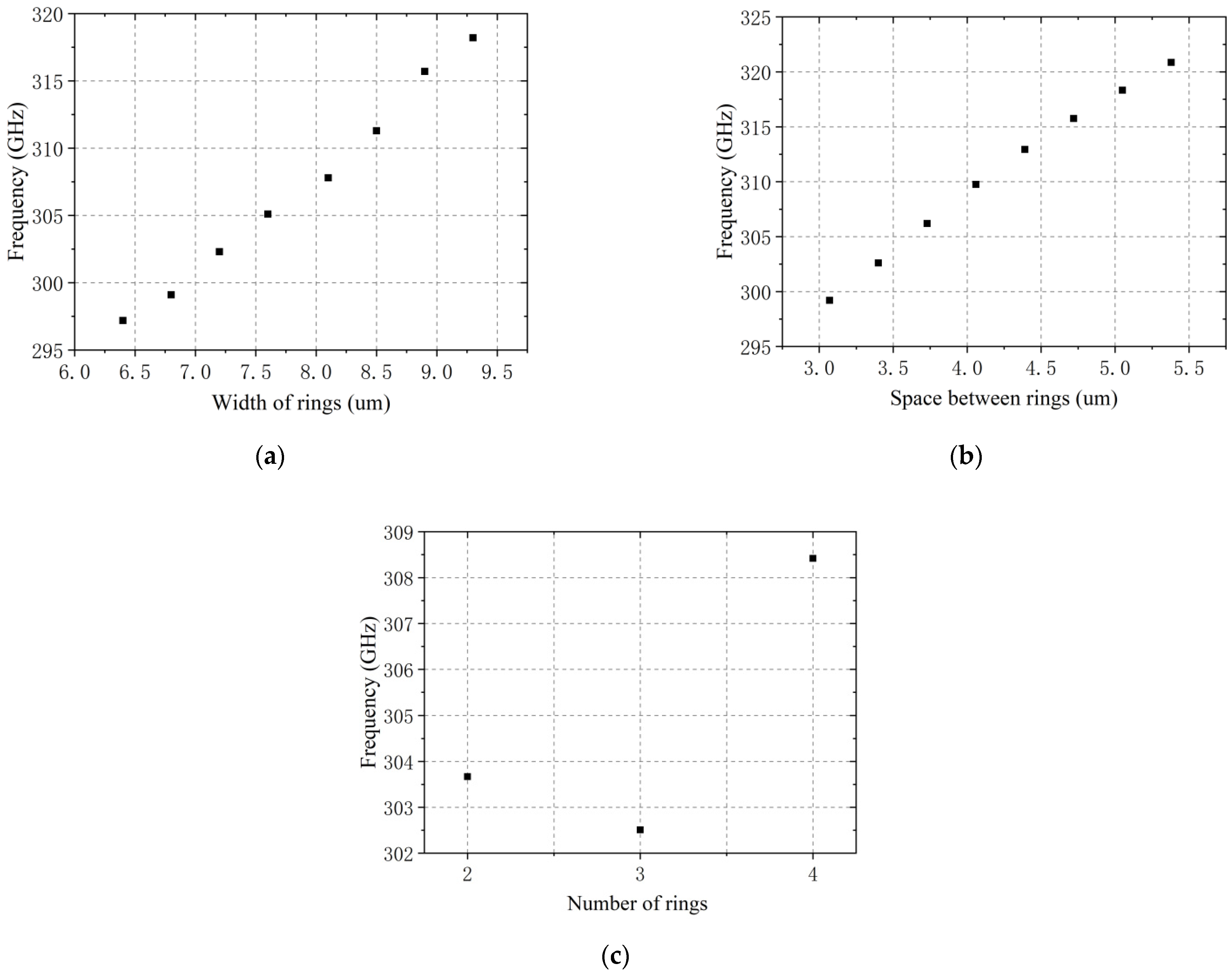
3.1. The Influence of MSRRs Structure Parameters on Antenna Resonance Frequency
3.2. Simulation Results
3.3. Fabrication of the Proposed Antenna and Measured Results
4. Design of the 300 GHz Dual-Band Microstrip Antenna
4.1. Optimization of Dual-Band Microstrip Antenna Structure Parameters
4.2. Simulation Results
5. Conclusions
Author Contributions
Funding
Institutional Review Board Statement
Informed Consent Statement
Data Availability Statement
Acknowledgments
Conflicts of Interest
Nomenclature
| DSMSRR | dual-surfaced multiple split-ring resonators |
| MSRRS | multiple split-ring resonators |
| SRR | split-ring resonators |
References
- Wu, S.; Qu, H.; Tu, H.; Feng, H. Progresses towards the application of terahertz technologies. Electron. Technol. Appl. 2019, 45, 3–7. [Google Scholar] [CrossRef]
- Hong, W.; Yu, C.; Chen, J.X.; Hao, Z. Millimeter Wave and Terahertz Technology. Sci. China Inf. Sci. 2016, 46, 1086–1107. [Google Scholar] [CrossRef]
- Xin, Y.M.; Hong, L.Z.; Kun, Z.; Zhang, Z.; Xu, L.; Zhang, C.; Xiao, L. Terahertz-dependent PM2.5 monitoring and grading in the atmosphere. Sci. China Phys. Mech. Astron. 2018, 61, 1–10. [Google Scholar] [CrossRef]
- Wang, W.N.; Yue, W.W.; Yan, H.T.; Zhang, C.; Zhao, G. THz time domain spectroscopy of amino acid molecules. Chin. Sci. Bull. 2005, 50, 2348–2351. [Google Scholar] [CrossRef]
- Xie, S.; Li, H.R.; Li, L.X.; Chen, C.; Li, S. Summary of Terahertz Communication Technology. J. Commun. 2020, 41, 168–186. [Google Scholar] [CrossRef]
- Sabery, S.M.; Bystrov, A.; Navarro-Cía, M.; Gardner, P.; Gashinova, M. Study of Low Terahertz Radar Signal Backscattering for Surface Identification. Sensors 2021, 21, 2954. [Google Scholar] [CrossRef]
- Le Coq, L.; Mézières, N.; Leroy, P.; Fuchs, B. Some Contributions for Antenna 3D Far Field Characterization at Terahertz. Sensors 2021, 21, 1438. [Google Scholar] [CrossRef]
- Qiu, Y. The World Radiocommunication conference clarified for the first time the available frequencies for active radio service applications in the terahertz band above 275 GHz. Natl. Radio 2019, 11, 17–18. [Google Scholar]
- Castillo-Aranibar, P.; Garca-Lamperez, A.; Llorente-Romano, S.; Segovia-Vargas, D. Dual-band band-stop microstrip filter with controllable bands based on unequal split ring resonators. Microw. Antennas Propag. IET 2019, 13, 2119–2128. [Google Scholar] [CrossRef]
- Statsenko, L.G.; Pugovkina, O.A.; Galay, A.R.; Kuzin, D.A. Designing Microwave Filters Using Metamaterials. Key Eng. Mater. 2019, 806, 167–172. [Google Scholar] [CrossRef]
- Hussain, R.; Khan, M.U.; Almajali, E.; Sharawi, M.S. Split-ring-resonator-loaded multiband frequency agile slot-based MIMO antenna system. IET Microw. Antennas Propag. 2019, 13, 2449–2456. [Google Scholar] [CrossRef]
- Li, Z.H.; Zeng, M.W.; Xu, Y.Z.; Tan, H.Z. A dual-band dipole antenna with split ring resonators for RF energy harvesting. In Proceedings of the 2019 National Microwave and Millimeter Wave Conference (Part 2), Guangzhou, China, 19–22 May 2019; Chinese Institute of Electronics, Microwave Branch of the Chinese Institute of Electronics: Beijing, China, 2019; pp. 188–190. [Google Scholar]
- Kang, L.; Luo, C.R.; Zhao, Q.; Song, J.; Fu, Q.H.; Zhao, X.P. The influence of planar distributed defect resonance ring on the microwave effect of left-handed materials. Sci. Bull. 2004, 2407–2409. [Google Scholar] [CrossRef]
- Zeng, Y.C.; Zhang, H.; Min, X.L.; Long, Z.G. Design of a Band-notched Ultra-wide Band Antenna Based on C-shaped SRR Structure. In Proceedings of the 2017 National Antenna Annual Conference (Volume 1), Xi’an, China, 16–19 October 2017; Chinese Institute of Electronics, Antenna Branch of Chinese Electronics Society: Beijing, China, 2017; pp. 101–103. [Google Scholar]
- Lan, B.Z.; Guo, C.J.; Ding, J. Design of Dual Band Tunable Filter Based on Split Ring Resonator. In Proceedings of the 2017 National Antenna Annual Conference (Part 2), Xi’an, China, 16–19 October 2017; Chinese Institute of Electronics, China Electronics Society for Antenna Branch: Beijing, China, 2017; pp. 748–750. [Google Scholar]
- Thamil Selvi, N.; Thiruvalar Selvan, P.; Babu, S.P.K.; Pandeeswari, R. Multiband metamaterial-inspired antenna using split ring resonator. Comput. Electr. Eng. 2020, 84, 106613. [Google Scholar] [CrossRef]
- Kim, Y.-J.; Kim, Y.-B.; Lee, H.L. mmWave High Gain Planar H-Shaped Shorted Ring Antenna Array. Sensors 2020, 20, 5168. [Google Scholar] [CrossRef] [PubMed]
- Liang, X.; Yin, W.; Chen, A.; Zhang, Z.; Zeng, J.; Shi, L.; Guan, F.; Liu, X.; Zi, J. Ultrawideband, Wide Scanning Stripline-Fed Tightly Coupled Array Antenna Based on Parallel-Dipole Elements. Sensors 2020, 20, 5065. [Google Scholar] [CrossRef]
- Mohan, S.; Del, M.H.M.; Boyd, S.P.; Lee, T.H. Simple accurate expressions for planar spiral inductances. IEEE J. Solid-State Circuits 1999, 34, 1419–1424. [Google Scholar] [CrossRef] [Green Version]
- Bilotti, F.; Toscano, A.; Vegni, L. Design of Spiral and Multiple Split-Ring Resonators for the Realization of Miniaturized Metamaterial Samples. IEEE Trans. Antennas Propag. 2007, 55, 2258–2267. [Google Scholar] [CrossRef]
- Jiang, L.L. Research on Microstrip Antenna Based on Metamaterial of Metal Ring Structure; East China Normal University: Shanghai, China, 2009. [Google Scholar]
- Zhang, G.; Pu, S.; Xu, X.Y.; Tao, C.; Dun, J.Y. Optimized Design of THz Microstrip Antenna Based on Dual-surfaced Multiple Split-ring Resonators. Autom. Instrum. 2019, 34, 5–9. [Google Scholar] [CrossRef]
- Zhou, J.H.; Dong, Y.Z. Size optimization design of K-band metamaterial microstrip antenna based on split-ring resonators. J. Hubei Automot. Ind. Inst. 2019, 33, 62–66. [Google Scholar] [CrossRef]
- Cheng, Y.P.; Shan, Z.Y. Design of broadband slit microstrip antenna. Comput. Inf. Technol. 2019, 27, 18–20. [Google Scholar] [CrossRef]
- Chen, Q.Q.; Li, J.Y.; Ding, Y.X.; Zhang, L.K.; Feng, Y.; Xie, J. Wideband high-gain ring circularly polarized microstrip antenna. J. Xidian Univ. 2019, 46, 46–51. [Google Scholar] [CrossRef]
- Lu, S.W.; Shan, Z.Y.; Cheng, Y.P.; Ou, Y. Microstrip antenna design based on slot coupling. Inf. Technol. Netw. Secur. 2019, 38, 60–63. [Google Scholar] [CrossRef]
- Wang, F. Research on Miniaturization of Microstrip Patch Antenna; Nanjing University of Posts and Telecommunications: Nanjing, China, 2019. [Google Scholar] [CrossRef]
- Zhang, Z. Research on Broadband Technology of Microstrip Antenna and Crossed Dipole Antenna; Xidian University: Xi’an, China, 2019. [Google Scholar] [CrossRef]
- Miao, G.L.; Yang, C.Y. Design of a modified wide bandwidth microstrip antenna. Sci. Technol. Sq. 2015, 110–115. [Google Scholar] [CrossRef]












| Name | Value (μm) | Name | Value (μm) |
|---|---|---|---|
| r | 41.20 | h | 326.00 |
| s | 4.72 | d | 46.00 |
| g | 4.70 | b | 62.00 |
| m | 20.00 | w | 8.50 |
| Name | Value (μm) | Name | Value (μm) |
|---|---|---|---|
| r1 | 72.50 | r2 | 30.00 |
| w1 | 11.00 | w2 | 6.00 |
| s1 | 6.30 | s2 | 3.40 |
| g1 | 6.30 | g2 | 3.40 |
| d1 | 72.50 | d2 | 30.00 |
| b1 | 102.80 | b2 | 229.00 |
| M | 10.00 | h | 514.00 |
Publisher’s Note: MDPI stays neutral with regard to jurisdictional claims in published maps and institutional affiliations. |
© 2021 by the authors. Licensee MDPI, Basel, Switzerland. This article is an open access article distributed under the terms and conditions of the Creative Commons Attribution (CC BY) license (https://creativecommons.org/licenses/by/4.0/).
Share and Cite
Bie, S.; Pu, S. Array Design of 300 GHz Dual-Band Microstrip Antenna Based on Dual-Surfaced Multiple Split-Ring Resonators. Sensors 2021, 21, 4912. https://doi.org/10.3390/s21144912
Bie S, Pu S. Array Design of 300 GHz Dual-Band Microstrip Antenna Based on Dual-Surfaced Multiple Split-Ring Resonators. Sensors. 2021; 21(14):4912. https://doi.org/10.3390/s21144912
Chicago/Turabian StyleBie, Shuhang, and Shi Pu. 2021. "Array Design of 300 GHz Dual-Band Microstrip Antenna Based on Dual-Surfaced Multiple Split-Ring Resonators" Sensors 21, no. 14: 4912. https://doi.org/10.3390/s21144912
APA StyleBie, S., & Pu, S. (2021). Array Design of 300 GHz Dual-Band Microstrip Antenna Based on Dual-Surfaced Multiple Split-Ring Resonators. Sensors, 21(14), 4912. https://doi.org/10.3390/s21144912

