The Concurrent Validity, Test–Retest Reliability and Usability of a New Foot Temperature Monitoring System for Persons with Diabetes at High Risk of Foot Ulceration
Abstract
1. Introduction
2. Materials and Methods
2.1. Subjects
2.2. Instrumentation
2.3. Statistical Analyses
3. Results
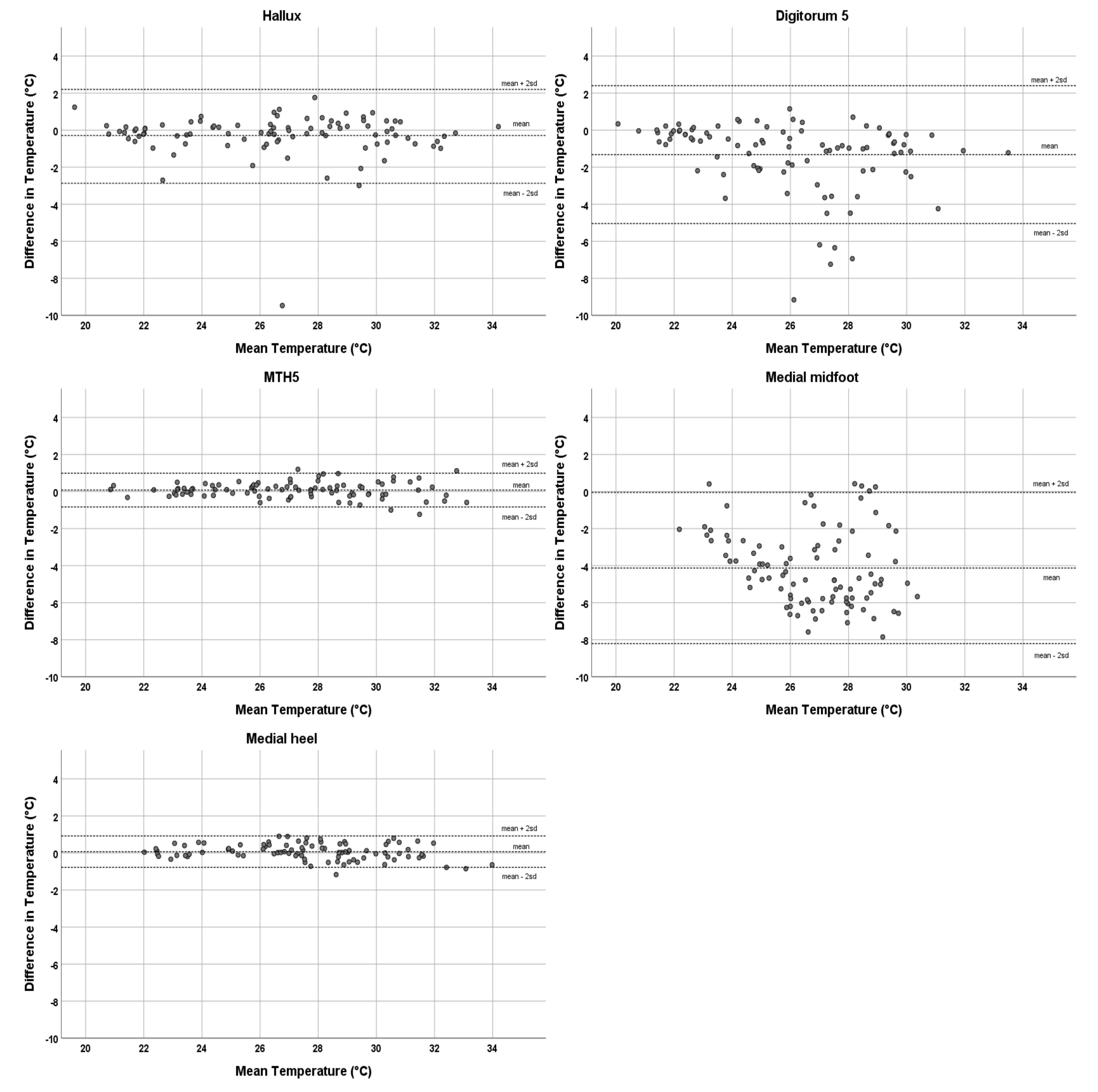
3.1. Concurrent Validity
3.2. Test–Retest Reliability
3.3. Usability
3.4. Assessment Time
3.5. User Preference
4. Discussion
5. Conclusions
Author Contributions
Funding
Institutional Review Board Statement
Informed Consent Statement
Data Availability Statement
Conflicts of Interest
References
- Armstrong, D.G.; Boulton, A.J.; Bus, S.A. Diabetic foot ulcers and their recurrence. N. Engl. J. Med. 2017, 376, 2367–2375. [Google Scholar] [CrossRef]
- Monteiro-Soares, M.; Boyko, E.; Ribeiro, J.; Ribeiro, I.; Dinis-Ribeiro, M. Predictive factors for diabetic foot ulceration: A systematic review. Diabetes Metab. Res. Rev. 2012, 28, 574–600. [Google Scholar] [CrossRef]
- Lazzarini, P.A.; Jarl, G.; Gooday, C.; Viswanathan, V.; Caravaggi, C.F.; Armstrong, D.G.; Bus, S.A. Effectiveness of offloading interventions to heal foot ulcers in persons with diabetes: A systematic review. Diabetes Metab. Res. Rev. 2020, 36, e3275. [Google Scholar] [CrossRef]
- Pecoraro, R.E.; Reiber, G.E.; Burgess, E.M. Pathways to diabetic limb amputation: Basis for prevention. Diabetes Care 1990, 13, 513–521. [Google Scholar] [CrossRef]
- Pecoraro, R.E.; Ahroni, J.H.; Boyko, E.J.; Stensel, V.L. Chronology and determinants of tissue repair in diabetic lower-extremity ulcers. Diabetes 1991, 40, 1305–1313. [Google Scholar] [CrossRef]
- Driver, V.R.; Fabbi, M.; Lavery, L.A.; Gibbons, G. The costs of diabetic foot: The economic case for the limb salvage team. J. Vasc. Surg. 2010, 52, 17S–22S. [Google Scholar] [CrossRef]
- Bus, S.A. The role of pressure offloading on diabetic foot ulcer healing and prevention of recurrence. Plast. Reconstr. Surg. 2016, 138, 179S–187S. [Google Scholar] [CrossRef]
- Bus, S.; Van Netten, J.; Lavery, L.; Monteiro-Soares, M.; Rasmussen, A.; Jubiz, Y.; Price, P.E. IWGDF guidance on the prevention of foot ulcers in at-risk patients with diabetes. Diabetes Metab. Res. Rev. 2016, 32, 16–24. [Google Scholar] [CrossRef]
- Van Netten, J.; Price, P.E.; Lavery, L.; Monteiro-Soares, M.; Rasmussen, A.; Jubiz, Y.; Bus, S.; International Working Group on the Diabetic Foot (IWGDF). Prevention of foot ulcers in the at-risk patient with diabetes: A systematic review. Diabetes Metab. Res. Rev. 2016, 32, 84–98. [Google Scholar] [CrossRef]
- Armstrong, D.G.; Lavery, L.A.; Liswood, P.J.; Todd, W.F.; Tredwell, J.A. Infrared dermal thermometry for the high-risk diabetic foot. Phys. Ther. 1997, 77, 169–175. [Google Scholar] [CrossRef]
- Armstrong, D.G.; Lavery, L.A. Monitoring neuropathic ulcer healing with infrared dermal thermometry. J. Foot Ankle Surg. 1996, 35, 335–338. [Google Scholar] [CrossRef]
- Armstrong, D.G.; Lavery, L.A.; Wunderlich, R.P.; Boulton, A.J. Skin temperatures as a one-time screening tool do not predict future diabetic foot complications. J. Am. Podiatr. Med. Assoc. 2003, 93, 443–447. [Google Scholar] [CrossRef]
- Armstrong, D.G.; Lipsky, B.A.; Polis, A.B.; Abramson, M.A. Does dermal thermometry predict clinical outcome in diabetic foot infection? Analysis of data from the SIDESTEP* trial. Int. Wound J. 2006, 3, 302–307. [Google Scholar] [CrossRef]
- Armstrong, D.G.; Holtz-Neiderer, K.; Wendel, C.; Mohler, M.J.; Kimbriel, H.R.; Lavery, L.A. Skin temperature monitoring reduces the risk for diabetic foot ulceration in high-risk patients. Am. J. Med. 2007, 120, 1042–1046. [Google Scholar] [CrossRef]
- Lavery, L.A.; Higgins, K.R.; Lanctot, D.R.; Constantinides, G.P.; Zamorano, R.G.; Armstrong, D.G.; Athanasiou, K.A.; Agrawal, C.M. Home monitoring of foot skin temperatures to prevent ulceration. Diabetes Care 2004, 27, 2642–2647. [Google Scholar] [CrossRef]
- Lavery, L.A.; Higgins, K.R.; Lanctot, D.R.; Constantinides, G.P.; Zamorano, R.G.; Athanasiou, K.A.; Armstrong, D.G.; Agrawal, C.M. Preventing diabetic foot ulcer recurrence in high-risk patients: Use of temperature monitoring as a self-assessment tool. Diabetes Care 2007, 30, 14–20. [Google Scholar] [CrossRef]
- Reyzelman, A.M.; Koelewyn, K.; Murphy, M.; Shen, X.; Yu, E.; Pillai, R.; Fu, J.; Scholten, H.J.; Ma, R. Continuous temperature-monitoring socks for home use in patients with diabetes: Observational study. J. Med. Internet Res. 2018, 20, 12. [Google Scholar] [CrossRef] [PubMed]
- Frykberg, R.G.; Gordon, I.L.; Reyzelman, A.M.; Cazzell, S.M.; Fitzgerald, R.H.; Rothenberg, G.M.; Bloom, J.D.; Petersen, B.J.; Linders, D.R.; Nouvong, A. Feasibility and efficacy of a smart mat technology to predict development of diabetic plantar ulcers. Diabetes Care 2017, 40, 973–980. [Google Scholar] [CrossRef]
- Holt, G.R. Declaration of Helsinki-the world’s document of conscience and responsibility. South. Med. J. 2014, 107, 407. [Google Scholar] [CrossRef]
- Bland, J.M.; Altman, D. Statistical methods for assessing agreement between two methods of clinical measurement. Lancet 1986, 327, 307–310. [Google Scholar] [CrossRef]
- Portney, L.G.; Watkins, M.P. Foundations of Clinical Research: Applications to Practice; Pearson/Prentice Hall: Upper Saddle River, NJ, USA, 2009; Volume 892. [Google Scholar]
- Holewski, J.J.; Moss, K.M.; Stess, R.M.; Graf, P.M.; Grunfeld, C. Prevalence of foot pathology and lower extremity complications in a diabetic outpatient clinic. J. Rehabil. Res. Dev. 1989, 26, 35–44. [Google Scholar] [PubMed]
- Smith, D.G.; Barnes, B.C.; Sands, A.K.; Boyko, E.J.; Ahroni, J.H. Prevalence of radiographic foot abnormalities in patients with diabetes. Foot Ankle Int. 1997, 18, 342–346. [Google Scholar] [CrossRef] [PubMed]
- Bus, S.A.; Maas, M.; Michels, R.P.; Levi, M. Role of intrinsic muscle atrophy in the etiology of claw toe deformity in diabetic neuropathy may not be as straightforward as widely believed. Diabetes Care 2009, 32, 1063–1067. [Google Scholar] [CrossRef]
- Waaijman, R.; de Haart, M.; Arts, M.L.; Wever, D.; Verlouw, A.J.; Nollet, F.; Bus, S.A. Risk factors for plantar foot ulcer recurrence in neuropathic diabetic patients. Diabetes Care 2014, 37, 1697–1705. [Google Scholar] [CrossRef]
- Ledoux, W.R.; Shofer, J.B.; Cowley, M.S.; Ahroni, J.H.; Cohen, V.; Boyko, E.J. Diabetic foot ulcer incidence in relation to plantar pressure magnitude and measurement location. J. Diabetes Complicat. 2013, 27, 621–626. [Google Scholar] [CrossRef]
- Van Doremalen, R.; Van Netten, J.; Van Baal, J.; Vollenbroek-Hutten, M.; van der Heijden, F. Validation of low-cost smartphone-based thermal camera for diabetic foot assessment. Diabetes Res. Clin. Pract. 2019, 149, 132–139. [Google Scholar] [CrossRef]
- Petrova, N.; Whittam, A.; MacDonald, A.; Ainarkar, S.; Donaldson, A.; Bevans, J.; Allen, J.; Plassmann, P.; Kluwe, B.; Ring, F. Reliability of a novel thermal imaging system for temperature assessment of healthy feet. J. Foot Ankle Res. 2018, 11, 22. [Google Scholar] [CrossRef]
- Fletcher, T.; Whittam, A.; Simpson, R.; Machin, G. Comparison of non-contact infrared skin thermometers. J. Med. Eng. Technol. 2018, 42, 65–71. [Google Scholar] [CrossRef]




| Characteristic | n or mean ± sd |
|---|---|
| Age (years) Sex (male/female) Diabetes type (1/2) | 62.7 ± 8.6 40/10 9/41 |
| BMI (kg/m2) | 28.9 ± 5.3 |
| History of amputations | 14 |
| Severity of deformity (no/mild/moderate/severe) a | 2/21/20/7 |
| Plantar foot ulcer present (yes/no) | 6/44 |
| IWGDF risk category 2/3 | 29/21 |
| ICC | LOA | Mean diff. | ||
|---|---|---|---|---|
| Lower | Upper | |||
| Hallux | 0.96 | −2.87 | 2.20 | −0.29 |
| Dig. 2 | 0.88 | −3.67 | 2.31 | −0.68 |
| Dig. 3 | 0.85 | −3.89 | 2.37 | −0.76 |
| Dig. 4 | 0.77 | −4.80 | 2.76 | −1.02 |
| Dig. 5 | 0.75 | −5.04 | 2.40 | −1.32 |
| MTH 1 | 0.99 | −0.82 | 1.16 | 0.17 |
| MTH 2 | 0.99 | −0.68 | 1.10 | 0.21 |
| MTH 3 | 0.99 | −0.66 | 1.08 | 0.21 |
| MTH 4 | 0.99 | −0.89 | 1.05 | 0.08 |
| MTH 5 | 0.99 | −0.83 | 0.99 | 0.08 |
| Medial midfoot | 0.19 | −8.21 | −0.05 | −4.13 |
| Lateral midfoot | 0.93 | −2.06 | 1.78 | −0.14 |
| Medial heel | 0.99 | −0.78 | 0.92 | 0.07 |
| Lateral heel | 0.98 | −0.67 | 1.15 | 0.24 |
| Statement | Frequency (Disagree/Neither Agree or Disagree/Agree) | Mean Score |
|---|---|---|
| 0/2/13 | 4.3 |
| 0/3/12 | 3.9 |
| 0/1/14 | 4.3 |
| 0/5/10 | 3.8 |
Publisher’s Note: MDPI stays neutral with regard to jurisdictional claims in published maps and institutional affiliations. |
© 2021 by the authors. Licensee MDPI, Basel, Switzerland. This article is an open access article distributed under the terms and conditions of the Creative Commons Attribution (CC BY) license (https://creativecommons.org/licenses/by/4.0/).
Share and Cite
Veneman, T.; Schaper, N.C.; Bus, S.A. The Concurrent Validity, Test–Retest Reliability and Usability of a New Foot Temperature Monitoring System for Persons with Diabetes at High Risk of Foot Ulceration. Sensors 2021, 21, 3645. https://doi.org/10.3390/s21113645
Veneman T, Schaper NC, Bus SA. The Concurrent Validity, Test–Retest Reliability and Usability of a New Foot Temperature Monitoring System for Persons with Diabetes at High Risk of Foot Ulceration. Sensors. 2021; 21(11):3645. https://doi.org/10.3390/s21113645
Chicago/Turabian StyleVeneman, Tim, Nicolaas C. Schaper, and Sicco A. Bus. 2021. "The Concurrent Validity, Test–Retest Reliability and Usability of a New Foot Temperature Monitoring System for Persons with Diabetes at High Risk of Foot Ulceration" Sensors 21, no. 11: 3645. https://doi.org/10.3390/s21113645
APA StyleVeneman, T., Schaper, N. C., & Bus, S. A. (2021). The Concurrent Validity, Test–Retest Reliability and Usability of a New Foot Temperature Monitoring System for Persons with Diabetes at High Risk of Foot Ulceration. Sensors, 21(11), 3645. https://doi.org/10.3390/s21113645

