Ankle Muscle Activations during Different Foot-Strike Patterns in Running
Abstract
1. Introduction
2. Materials and Methods
2.1. Participants
2.2. Instrumentation
2.3. Data Collection
2.4. Data Analysis
2.5. Statistical Analysis
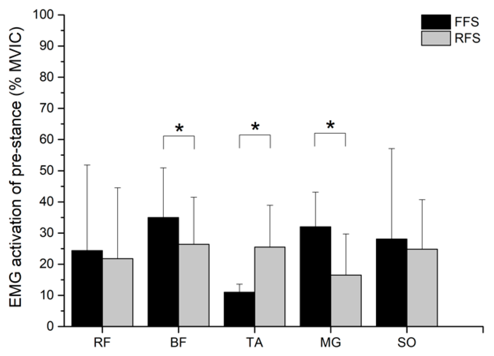
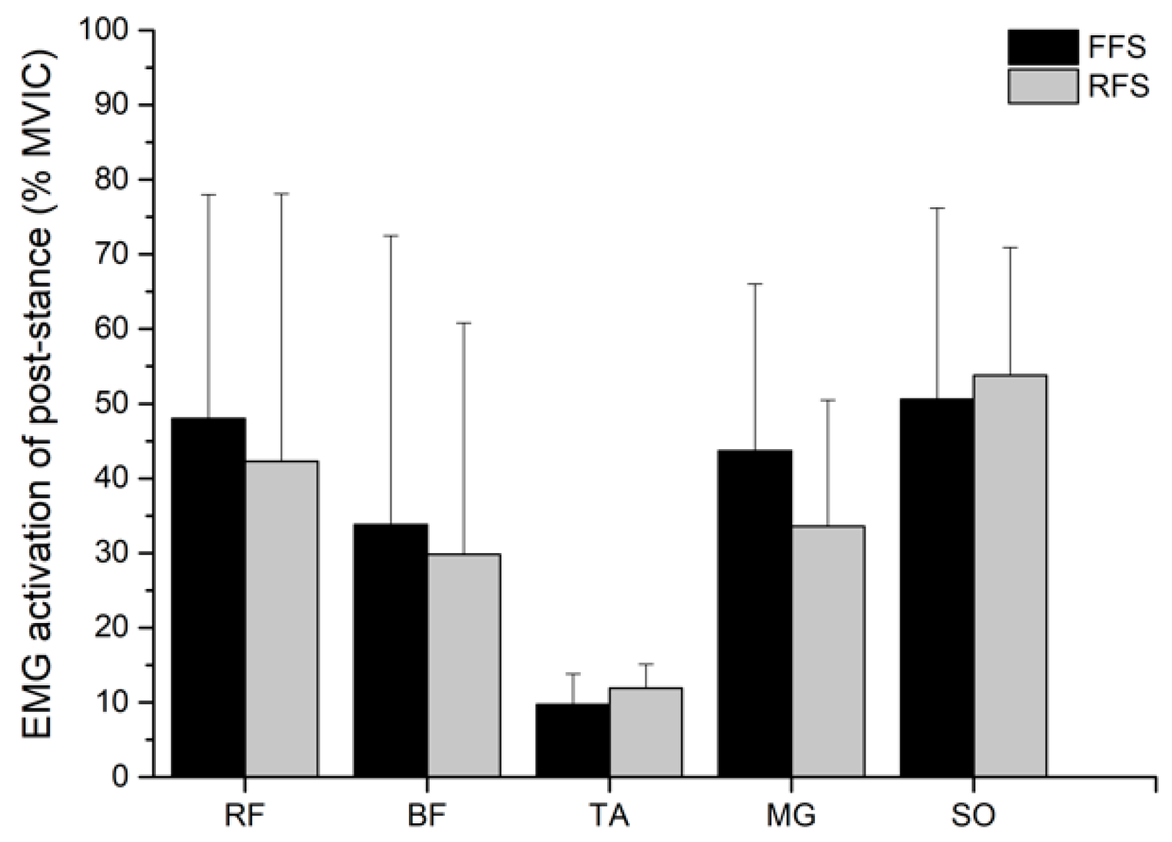
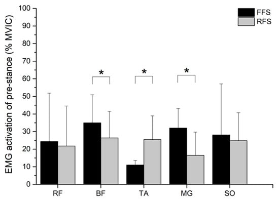
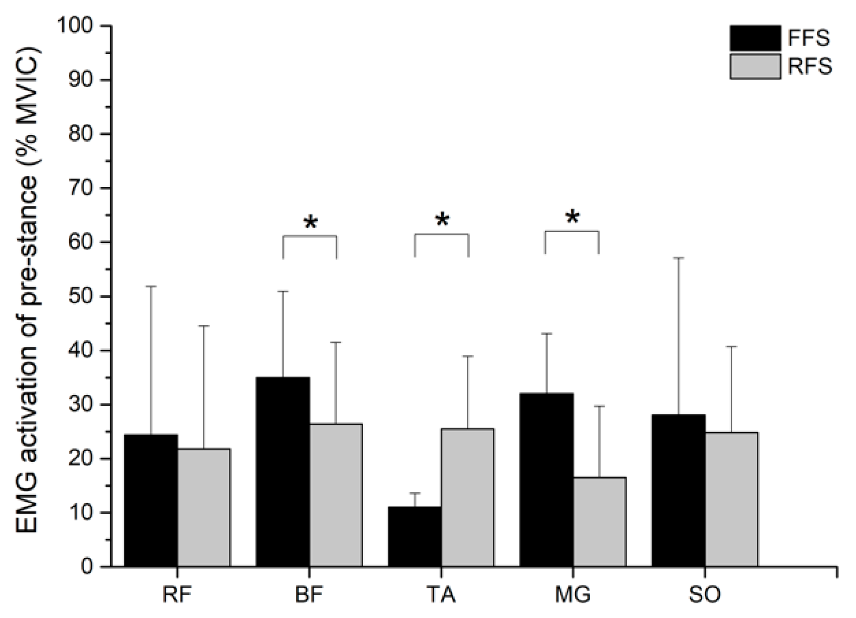
3. Results
3.1. The Intraclass Correlation Coefficient of Participants
3.2. Kinematics Data
3.3. EMG Activities
4. Discussion
5. Conclusions
Author Contributions
Funding
Institutional Review Board Statement
Informed Consent Statement
Data Availability Statement
Acknowledgments
Conflicts of Interest
References
- Williams, K.R.; Cavanagh, P.R. Relationship between distance running mechanics, running economy, and performance. J. Appl. Physiol. 1987, 63, 1236–1245. [Google Scholar] [CrossRef]
- Hunter, J.P.; Marshall, R.N.; McNair, P.J. Interaction of step length and step rate during sprint running. Med. Sci. Sports Exerc. 2004, 36, 261–271. [Google Scholar] [CrossRef] [PubMed]
- Miyamoto, A.; Takeshita, T.; Yanagiya, T. Differences in sprinting performance and kinematics between preadolescent boys who are fore/mid and rear foot strikers. PLoS ONE 2018, 13, e0205906. [Google Scholar] [CrossRef]
- Futrell, E.E.; Gross, K.D.; Mullineaux, D.R.; Davis, I.S. Exerted running results in altered impact mechanics and foot strike patterns following gait retraining. J. Sports Sci. 2021, 17, 1–10. [Google Scholar] [CrossRef] [PubMed]
- Lieberman, D.E. What we can learn about running from barefoot running: An evolutionary medical perspective. Exerc. Sport Sci. Rev. 2012, 40, 63–72. [Google Scholar] [CrossRef]
- Hasegawa, H.; Yamauchi, T.; Kraemer, W.J. Foot strike patterns of runners at the 15-km point during an elite-level half marathon. J. Strength Cond. Res. 2007, 21, 888. [Google Scholar]
- Hayes, P.; Caplan, N. Foot strike patterns and ground contact times during high calibre middle-distance races. J. Sports Sci. 2012, 30, 1275–1283. [Google Scholar] [CrossRef] [PubMed]
- Kulmala, J.-P.; Avela, J.; Pasanen, K.; Parkkari, J. Effects of striking strategy on lower extremity loading during running. Br. J. Sports Med. 2013, 47, e3. [Google Scholar] [CrossRef]
- Cavanagh, P.R.; Lafortune, M.A. Ground reaction forces in distance running. J. Biomech. 1980, 13, 397–406. [Google Scholar] [CrossRef]
- Divert, C.; Mornieux, G.; Baur, H.; Mayer, F.; Belli, A. Mechanical comparison of barefoot and shod running. Int. J. Sports Med. 2005, 26, 593–598. [Google Scholar] [CrossRef]
- Melcher, D.A.; Paquette, M.R.; Schilling, B.K.; Bloomer, R.J. Joint stiffness and running economy during imposed forefoot strike before and after a long run in rearfoot strike runners. J. Sports Sci. 2017, 35, 2297–2303. [Google Scholar] [CrossRef] [PubMed]
- Arampatzis, A.; de Monte, G.; Karamanidis, K.; Morey-Klapsing, G.; Stafilidis, S.; Brüggemann, G.P. Influence of the muscle-tendon unit’s mechanical and morphological properties on running economy. J. Exp. Biol. 2006, 209, 3345–3357. [Google Scholar] [CrossRef] [PubMed]
- Suzuki, T.; Ogane, R.; Yaeshima, K.; Kinugasa, R. Forefoot running requires shorter gastrocnemius fascicle length than rearfoot running. J. Sports Sci. 2019, 37, 1972–1980. [Google Scholar] [CrossRef] [PubMed]
- Wakeling, J.M.; von Tscharner, V.; Nigg, B.M.; Stergiou, P. Muscle activity in the leg is tuned in response to ground reaction forces. J. Appl. Physiol. 2001, 91, 1307–1317. [Google Scholar] [CrossRef] [PubMed]
- Ervilha, U.F.; Mochizuki, L.; Figueira, A., Jr.; Hamill, J. Are muscle activation patterns altered during shod and barefoot running with a forefoot footfall pattern? J. Sports Sci. 2017, 35, 1697–1703. [Google Scholar] [CrossRef]
- Dolenec, A.; Štirn, I.; Strojnik, V. Activation pattern of lower leg muscles in running on asphalt, gravel and grass. Coll. Antropol. 2015, 39, 167–172. [Google Scholar] [PubMed]
- Higbie, E.J.; Cureton, K.J.; Warren, G.L., III; Prior, B.M. Effects of concentric and eccentric training on muscle strength, cross-sectional area, and neural activation. J. Appl. Physiol. 1996, 81, 2173–2181. [Google Scholar] [CrossRef] [PubMed]
- Ahn, A.; Brayton, C.; Bhatia, T.; Martin, P. Muscle activity and kinematics of forefoot and rearfoot strike runners. J. Sport Health Sci. 2014, 3, 102–112. [Google Scholar] [CrossRef]
- Wessbecher, L.; Ahn, A. Lower leg morphology in runners: Forefoot strikers have longer heels but not bigger muscles than rearfoot strikers. J. Exp. Biol. 2019, 222, jeb187815. [Google Scholar] [CrossRef]
- Mercer, M.A.; Stone, T.M.; Young, J.C.; Mercer, J.A. Running economy while running in shoes categorized as maximal cushioning. Int. J. Exerc. Sci. 2018, 11, 1031–1040. [Google Scholar]
- Hermens, H.; Freriks, B.; Disselhorst-Klug, C.; Rau, G. Development of recommendations for SEMG sensors and sensor placement procedures. J. Electromyogr. Kinesiol. 2000, 10, 361–374. [Google Scholar] [CrossRef]
- Burden, A.M.; Trew, M.; Baltzopoulos, V. Normalisation of gait EMGs: A re-examination. J. Electromyogr. Kinesiol. 2003, 13, 519–532. [Google Scholar] [CrossRef]
- Burden, A. How should we normalize electromyograms obtained from healthy participants? What we have learned from over 25 years of research. J. Electromyogr. Kinesiol. 2010, 20, 1023–1035. [Google Scholar] [CrossRef]
- Van Melick, N.; Meddeler, B.M.; Hoogeboom, T.J.; Nijhuis-van der Sanden, M.W.G.; van Cingel, R.E.H. How to determine leg dominance: The agreement between self-reported and observed performance in healthy adults. PLoS ONE 2017, 12, e0189876. [Google Scholar] [CrossRef]
- Grindstaff, T.L.; Hanish, M.J.; Wheeler, T.J.; Basnett, C.R.; Miriovsky, D.J.; Danielson, E.L.; Barr, J.; Threlkeld, A.J. Fibular taping does not alter lower extremity spinal reflex excitability in individuals with chronic ankle instability. J. Electromyogr. Kinesiol. 2015, 25, 253–259. [Google Scholar] [CrossRef]
- Cohen, J. Statistical power analysis. Curr. Dir. Psychol. Sci. 1992, 1, 98–101. [Google Scholar] [CrossRef]
- Lee, A.J.; Lin, W.H. The influence of gender and somatotype on single-leg upright standing postural stability in children. J. Appl. Biomech. 2007, 23, 173–179. [Google Scholar] [CrossRef]
- Gonzales, J.M.; Galpin, A.J.; Montgomery, M.M.; Pamukoff, D.N. Comparison of lower limb muscle architecture and geometry in distance runners with rearfoot and forefoot strike pattern. J. Sports Sci. 2019, 37, 2184–2190. [Google Scholar] [CrossRef]
- Landreneau, L.L.; Watts, K.; Heitzman, J.E.; Childers, W.L. Lower limb muscle activity during forefoot and rearfoot strike running techniques. Int. J. Sports Phys. Ther. 2014, 9, 888. [Google Scholar] [PubMed]
- Seki, K.; Kyröläinen, H.; Sugimoto, K.; Enomoto, Y. Biomechanical factors affecting energy cost during running utilising different slopes. J. Sports Sci. 2020, 38, 6–12. [Google Scholar] [CrossRef]
- Blake, O.M.; Wakeling, J.M. Estimating changes in metabolic power from EMG. Springerplus 2013, 2, 1–7. [Google Scholar] [CrossRef] [PubMed]
- Zhong, Y.; Fu, W.; Wei, S.; Li, Q.; Liu, Y. Joint Torque and Mechanical Power of Lower Extremity and Its Relevance to Hamstring Strain during Sprint Running. J. Healthc. Eng. 2017, 2017, 8927415. [Google Scholar] [CrossRef] [PubMed]
- Li, H.-Y.; Zheng, J.-J.; Zhang, J.; Hua, Y.-H.; Chen, S.-Y. The effect of lateral ankle ligament repair in muscle reaction time in patients with mechanical ankle instability. Int. J. Sports Exerc. Med. 2015, 36, 1027–1032. [Google Scholar] [CrossRef] [PubMed]
- Jacobs, R.; Bobbert, M.F.; van Ingen Schenau, G.J. Mechanical output from individual muscles during explosive leg extensions: The role of biarticular muscles. J. Biomech. 1996, 29, 513–523. [Google Scholar] [CrossRef]
- Sawicki, G.S.; Lewis, C.L.; Ferris, D.P. It pays to have a spring in your step. Exerc. Sport Sci. Rev. 2009, 37, 130. [Google Scholar] [CrossRef] [PubMed]
- Kyröläinen, H.; Belli, A.; Komi, P.V. Biomechanical factors affecting running economy. Med. Sci. Sci. Sports Exerc. 2001, 33, 1330–1337. [Google Scholar] [CrossRef]
- White, K.K.; Lee, S.S.; Cutuk, A.; Hargens, A.R.; Pedowitz, R.A. EMG power spectra of intercollegiate athletes and anterior cruciate ligament injury risk in females. Med. Sci. Sports Exerc. 2003, 35, 371–376. [Google Scholar] [CrossRef]
- Kuhman, D.; Melcher, D.; Paquette, M.R. Ankle and knee kinetics between strike patterns at common training speeds in competitive male runners. Eur. J. Sports Exerc. Sci. 2016, 16, 433–440. [Google Scholar] [CrossRef]
- Valenzuela, K.A.; Lynn, S.K.; Mikelson, L.R.; Noffal, G.J.; Judelson, D.A. Effect of acute alterations in foot strike patterns during running on sagittal plane lower limb kinematics and kinetics. J. Sports Sci. Med. 2015, 14, 225. [Google Scholar] [PubMed]
- Van Dyk, N.; Bahr, R.; Whiteley, R.; Tol, J.L.; Kumar, B.D.; Hamilton, B.; Farooq, A.; Witvrouw, E. Hamstring and quadriceps isokinetic strength deficits are weak risk factors for hamstring strain injuries: A 4-year cohort study. Am. J. Sports Med. 2016, 44, 1789–1795. [Google Scholar] [CrossRef]






| Parameters | FFS | RFS | ||
|---|---|---|---|---|
| Pre-Stance | Stance | Pre-Stance | Stance | |
| Initial contact angle | ||||
| Hip | 0.989 | 0.989 | ||
| Knee | 0.975 | 0.969 | ||
| Ankle | 0.983 | 0.981 | ||
| Maximum push-off velocity | ||||
| Hip | 0.906 | 0.970 | ||
| Knee | 0.922 | 0.928 | ||
| Ankle | 0.988 | 0.967 | ||
| Muscle activation | ||||
| RF | 0.976 | 0.995 | 0.990 | 0.978 |
| TA | 0.815 | 0.968 | 0.978 | 0.915 |
| BF | 0.986 | 0.989 | 0.964 | 0.993 |
| GM | 0.929 | 0.986 | 0.942 | 0.978 |
| SO | 0.996 | 0.970 | 0.984 | 0.948 |
Publisher’s Note: MDPI stays neutral with regard to jurisdictional claims in published maps and institutional affiliations. |
© 2021 by the authors. Licensee MDPI, Basel, Switzerland. This article is an open access article distributed under the terms and conditions of the Creative Commons Attribution (CC BY) license (https://creativecommons.org/licenses/by/4.0/).
Share and Cite
Lin, J.-Z.; Chiu, W.-Y.; Tai, W.-H.; Hong, Y.-X.; Chen, C.-Y. Ankle Muscle Activations during Different Foot-Strike Patterns in Running. Sensors 2021, 21, 3422. https://doi.org/10.3390/s21103422
Lin J-Z, Chiu W-Y, Tai W-H, Hong Y-X, Chen C-Y. Ankle Muscle Activations during Different Foot-Strike Patterns in Running. Sensors. 2021; 21(10):3422. https://doi.org/10.3390/s21103422
Chicago/Turabian StyleLin, Jian-Zhi, Wen-Yu Chiu, Wei-Hsun Tai, Yu-Xiang Hong, and Chung-Yu Chen. 2021. "Ankle Muscle Activations during Different Foot-Strike Patterns in Running" Sensors 21, no. 10: 3422. https://doi.org/10.3390/s21103422
APA StyleLin, J.-Z., Chiu, W.-Y., Tai, W.-H., Hong, Y.-X., & Chen, C.-Y. (2021). Ankle Muscle Activations during Different Foot-Strike Patterns in Running. Sensors, 21(10), 3422. https://doi.org/10.3390/s21103422

