Neural Network Based Contact Force Control Algorithm for Walking Robots
Abstract
1. Introduction
- We propose a model based on neural network (NN) estimation on push-off force (GRF) control. It effectively decreases errors created by the robot’s mass and gravity.
- The neural network model is applied with Linear Quadratic Regulator (LQR), which is adopted for balancing and generating desired force for push-off.
- We introduce the simulation to prove that our approach is validated in dynamic situations like walking.
2. Method
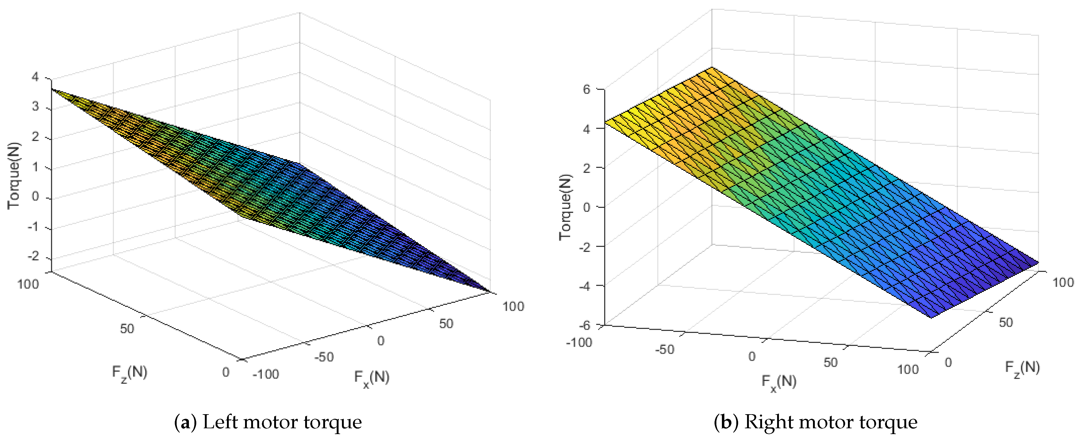
2.1. Neural Network Model
- y = output vector = .
- = bias vector.
- = Layer weight matrix, = Input weight matrix.
- .
- x = input vector = .
Cad Model
2.2. Lqr Design
- M = mass of robot, g = gravity acceleration.
- F = force from leg to body.
- R = force from body to leg.
- = body angle, = hip angle, = leg angle.
- I = inertia of robot, l = length from body to foot.
- LQR calculates desired contact force () from error.
- Desired Joint torque () is obtained from a neural network regression model.
- Apply the joint torque to the robot plant and measure the states.
2.3. One Step Simulation
3. Results
3.1. Neural Network Model
- Pick random desired force.
- Calculate the joint torque by using a neural network model.
- Compare the real torque for the desired force with a calculated one (Test 1).
- Apply the joint torque and compare the measured force with the desired (Test 2).
CAD Model
3.2. One Step Simulation
4. Discussion
5. Conclusions
Author Contributions
Funding
Institutional Review Board Statement
Informed Consent Statement
Data Availability Statement
Conflicts of Interest
Abbreviations
| NN | Neural Network |
| GRF | Ground Reaction Force |
| CoM | Center of Mass |
| LQR | Linear Quadratic Regulator |
| F/T | Force Torque |
| CAD | Computer Aided Design |
| ZMP | Zero Moment Point |
References
- Morisawa, M.; Kajita, S.; Kanehiro, F.; Kaneko, K.; Miura, K.; Yokoi, K. Balance control based on Capture Point error compensation for biped walking on uneven terrain. In Proceedings of the 2012 12th IEEE-RAS International Conference on Humanoid Robots (Humanoids 2012), Osaka, Japan, 29 November–1 December 2012; pp. 734–740. [Google Scholar] [CrossRef]
- Englsberger, J.; Ott, C. Integration of vertical COM motion and angular momentum in an extended Capture Point tracking controller for bipedal walking. In Proceedings of the 2012 12th IEEE-RAS International Conference on Humanoid Robots (Humanoids 2012), Osaka, Japan, 29 November–1 December 2012; pp. 183–189. [Google Scholar] [CrossRef]
- Shafiee-Ashtiani, M.; Yousefi-Koma, A.; Shariat-Panahi, M.; Khadiv, M. Push recovery of a humanoid robot based on model predictive control and capture point. In Proceedings of the 2016 4th International Conference on Robotics and Mechatronics (ICROM), Tehran, Iran, 26–28 October 2016; pp. 433–438. [Google Scholar] [CrossRef]
- Sugihara, T.; Yamamoto, T. Foot-guided agile control of a biped robot through ZMP manipulation. In Proceedings of the 2017 IEEE/RSJ International Conference on Intelligent Robots and Systems (IROS), Vancouver, BC, Canada, 24–28 September 2017; pp. 4546–4551. [Google Scholar] [CrossRef]
- Ishiguro, Y.; Kojima, K.; Sugai, F.; Nozawa, S.; Kakiuchi, Y.; Okada, K.; Inaba, M. Bipedal oriented whole body master-slave system for dynamic secured locomotion with LIP safety constraints. In Proceedings of the 2017 IEEE/RSJ International Conference on Intelligent Robots and Systems (IROS), Vancouver, BC, Canada, 24–28 September 2017; pp. 376–382. [Google Scholar] [CrossRef]
- Kuindersma, S.; Permenter, F.; Tedrake, R. An efficiently solvable quadratic program for stabilizing dynamic locomotion. In Proceedings of the 2014 IEEE International Conference on Robotics and Automation (ICRA), Hong Kong, China, 31 May–7 June 2014; pp. 2589–2594. [Google Scholar] [CrossRef]
- Caron, S.; Pham, Q.; Nakamura, Y. ZMP Support Areas for Multicontact Mobility Under Frictional Constraints. IEEE Trans. Robot. 2017, 33, 67–80. [Google Scholar] [CrossRef]
- Kamioka, T.; Kaneko, H.; Takenaka, T.; Yoshiike, T. Simultaneous Optimization of ZMP and Footsteps Based on the Analytical Solution of Divergent Component of Motion. In Proceedings of the 2018 IEEE International Conference on Robotics and Automation (ICRA), Brisbane, Australia, 21–25 May 2018; pp. 1763–1770. [Google Scholar] [CrossRef]
- Kim, J.H.; Lee, J.; Oh, Y. A Theoretical Framework for Stability Regions for Standing Balance of Humanoids Based on Their LIPM Treatment. IEEE Trans. Syst. Man Cybern. Syst. 2020, 50, 4569–4586. [Google Scholar] [CrossRef]
- Yu, Z.; Zhou, Q.; Chen, X.; Li, Q.; Meng, L.; Zhang, W.; Huang, Q. Disturbance Rejection for Biped Walking Using Zero-Moment Point Variation Based on Body Acceleration. IEEE Trans. Ind. Inform. 2019, 15, 2265–2276. [Google Scholar] [CrossRef]
- Kajita, S.; Kanehiro, F.; Kaneko, K.; Fujiwara, K.; Harada, K.; Yokoi, K.; Hirukawa, H. Biped walking pattern generation by using preview control of zero-moment point. In Proceedings of the IEEE International Conference on Robotics and Automation, Taipei, Taiwan, 14–19 September 2003; Volume 2, pp. 1620–1626. [Google Scholar] [CrossRef]
- Zelik, K.E.; Takahashi, K.Z.; Sawicki, G.S. Six degree-of-freedom analysis of hip, knee, ankle and foot provides updated understanding of biomechanical work during human walking. J. Exp. Biol. 2015, 218, 876–886. [Google Scholar] [CrossRef] [PubMed]
- Soo, C.H.; Donelan, J.M. Mechanics and energetics of step-to-step transitions isolated from human walking. J. Exp. Biol. 2010, 213, 4265–4271. [Google Scholar] [CrossRef]
- Collins, S. Dynamic Walking Principles Applied to Human Gait. Ph.D. Thesis, The University of Michigan, Ann Arbor, MI, USA, 2008. [Google Scholar]
- Huang, T.W.; Shorter, K.; Adamczyk, P.; Kuo, A. Mechanical and energetic consequences of reduced ankle plantarflexion in human walking. J. Exp. Biol. 2015, 218. [Google Scholar] [CrossRef]
- Collins, S.; Kuo, A. Recycling Energy to Restore Impaired Ankle Function during Human Walking. PLoS ONE 2010, 5, e9307. [Google Scholar] [CrossRef]
- Zelik, K.E. Is the Foot Working With or Against the Ankle During Human Walking? In Proceedings of the Dynamic Walking Conference, Columbus, OH, USA, 21–24 July 2015. [Google Scholar]
- Park, H.W.; Sreenath, K.; Hurst, J.; Grizzle, J. Identification of a Bipedal Robot with a Compliant Drivetrain. IEEE Control Syst. 2011, 31, 63–88. [Google Scholar] [CrossRef]
- Spring-Mass Walking with ATRIAS in 3D: Robust Gait Control Spanning Zero to 4.3 KPH on a Heavily Underactuated Bipedal Robot. In Proceedings of the ASME 2015 Dynamic Systems and Control Conference, Columbus, OH, USA, 28–30 October 2015. [CrossRef]
- Hubicki, C.M.; Abate, A.; Clary, P.; Rezazadeh, S.; Jones, M.S.; Peekema, A.; Why, J.V.; Domres, R.; Wu, A.; Martin, W.; et al. Walking and Running with Passive Compliance: Lessons from Engineering: A Live Demonstration of the ATRIAS Biped. IEEE Robot. Autom. Mag. 2018, 25, 23–39. [Google Scholar] [CrossRef]
- Lee, Y.; Hwang, S.; Park, J. Balancing of humanoid robot using contact force/moment control by task-oriented whole body control framework. Auton. Robots 2016, 40. [Google Scholar] [CrossRef]
- Park, J.; Khatib, O. Robot multiple contact control. Robotica 2008, 26, 667–677. [Google Scholar] [CrossRef][Green Version]
- Bouyarmane, K.; Chappellet, K.; Vaillant, J.; Kheddar, A. Quadratic Programming for Multirobot and Task-Space Force Control. IEEE Trans. Robot. 2019, 35, 64–77. [Google Scholar] [CrossRef]
- Nagai, S.; Kawamura, A. Position/Force Sensorless Force Control Using Reaction Force Observer for Compact Dual Solenoid Actuator. In Proceedings of the IECON 2019—45th Annual Conference of the IEEE Industrial Electronics Society, Lisbon, Portugal, 14–17 October 2019; Volume 1, pp. 3635–3640. [Google Scholar] [CrossRef]
- Song, B. The Robot For Nuclear Plant. Korea JoongAng Daily, 26 April 2018. Available online: https://news.joins.com/article/22569622 (accessed on 31 December 2020).
- Dorn, T.; Lin, Y.C.; Pandy, M. Estimates of muscle function in human gait depend on how foot-ground contact is modelled. Comput. Methods Biomech. Biomed. Eng. 2011, 15, 657–668. [Google Scholar] [CrossRef] [PubMed]
- Dorn, T.; Schache, A.; Pandy, M. Muscular strategy shift in human running: Dependence of running speed on hip and ankle muscle performance. J. Exp. Biol. 2012, 215, 1944–1956. [Google Scholar] [CrossRef]
- Lewis, F.; Ge, S. Neural Networks in Feedback Control Systems; John Wiley & Sons, Inc.: Hoboken, NJ, USA, 2006; pp. 791–825. [Google Scholar] [CrossRef]
- Puga-Guzmán, S.; Moreno-Valenzuela, J.; Santibañez, V. Adaptive Neural Network Motion Control of Manipulators with Experimental Evaluations. Sci. World J. 2014, 2014, 694706. [Google Scholar] [CrossRef] [PubMed]
- Passold, F.; Stemmer, M. Force Control of a Scara Robot Using Neural Networks. In Proceedings of the Fourth International Workshop on Robot Motion and Control (IEEE Cat. No.04EX891), Puszczykowo, Poland, 20 June 2004; pp. 247–252. [Google Scholar] [CrossRef]
- Kumar, N.; Panwar, V.; Nagarajan, S.; Sharma, S.; Borm, J.H. Neural network based hybrid force/position control for robot manipulators. Int. J. Precis. Eng. Manuf. 2011, 12, 419–426. [Google Scholar] [CrossRef]
- Piao, J.; Kim, E.S.; Choi, C.S.; Moon, C.B.; Park, M.H. Indirect Force Control of a Cable-Driven Parallel Robot: Tension Estimation using Artificial Neural Network trained by Force Sensor Measurements. Sensors 2019, 19, 2520. [Google Scholar] [CrossRef]
- Wahrburg, A.; Bös, J.; Listmann, K.D.; Dai, F.; Matthias, B.; Ding, H. Motor-Current-Based Estimation of Cartesian Contact Forces and Torques for Robotic Manipulators and Its Application to Force Control. IEEE Trans. Autom. Sci. Eng. 2018, 15, 879–886. [Google Scholar] [CrossRef]
- Li, C.; Zhang, Z.; Xia, G.; Xie, X.; Zhu, Q. Efficient Force Control Learning System for Industrial Robots Based on Variable Impedance Control. Sensors 2018, 18, 2539. [Google Scholar] [CrossRef]
- Xu, W.; Cai, C.; Zou, Y. Neural-network-based robot time-varying force control with uncertain manipulator–environment system. Trans. Inst. Meas. Control 2014, 36, 999–1009. [Google Scholar] [CrossRef]
- Geyer, H.; Seyfarth, A.; Blickhan, R. Compliant leg behavior explains basic dynamics of walking and running. Proc. Biol. Sci. R. Soc. 2006, 273, 2861–2867. [Google Scholar] [CrossRef] [PubMed]

















| Parameters | Value | Description |
|---|---|---|
| epochs | 1000 | Maximum number of epochs |
| 0.005 | Marquardt adjustment parameter | |
| 0.1 | Decrease factor for | |
| 10 | Increase factor for | |
| Maximum value for | ||
| min_grad | Minimum performance gradient |
| Name | Value |
|---|---|
| (m) | 0.04 |
| (m) | 0.04 |
| (m) | 0.24 |
| (m) | 0.255 |
| (m) | 0.05 |
| (m) | 0.08 |
| M (kg) | 10 |
| Test 1 (Nm) | Test 2 (N) | |
|---|---|---|
| MSE | 0.67 | |
| Mean | 0.0039 | 0.37 |
| STD | 0.0089 | 0.74 |
| Error | Max (N) | Avg (N) | Var (N) | RMSE (N) |
|---|---|---|---|---|
| Jacobian | 51 | 21.2 | 36.2 | 22.0 |
| Neural | 36 | 3.1 | 24.2 | 5.8 |
| Change (%) | −29.4 | −85.6 | −33.1 | −73.7 |
Publisher’s Note: MDPI stays neutral with regard to jurisdictional claims in published maps and institutional affiliations. |
© 2021 by the authors. Licensee MDPI, Basel, Switzerland. This article is an open access article distributed under the terms and conditions of the Creative Commons Attribution (CC BY) license (http://creativecommons.org/licenses/by/4.0/).
Share and Cite
Kim, B.; Kim, S. Neural Network Based Contact Force Control Algorithm for Walking Robots. Sensors 2021, 21, 287. https://doi.org/10.3390/s21010287
Kim B, Kim S. Neural Network Based Contact Force Control Algorithm for Walking Robots. Sensors. 2021; 21(1):287. https://doi.org/10.3390/s21010287
Chicago/Turabian StyleKim, Byeongjin, and Soohyun Kim. 2021. "Neural Network Based Contact Force Control Algorithm for Walking Robots" Sensors 21, no. 1: 287. https://doi.org/10.3390/s21010287
APA StyleKim, B., & Kim, S. (2021). Neural Network Based Contact Force Control Algorithm for Walking Robots. Sensors, 21(1), 287. https://doi.org/10.3390/s21010287
