Conductivity Classification of Non-Magnetic Tilting Metals by Eddy Current Sensors
Abstract
1. Introduction
2. Theoretical Foundation
3. Experimental Set-Up
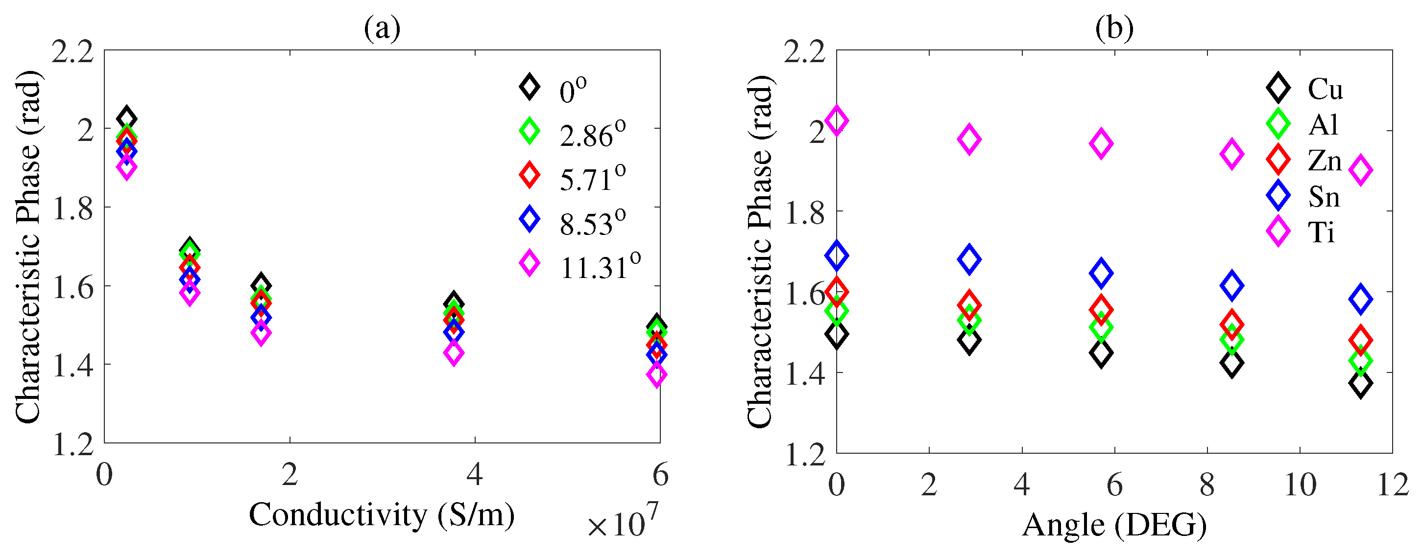
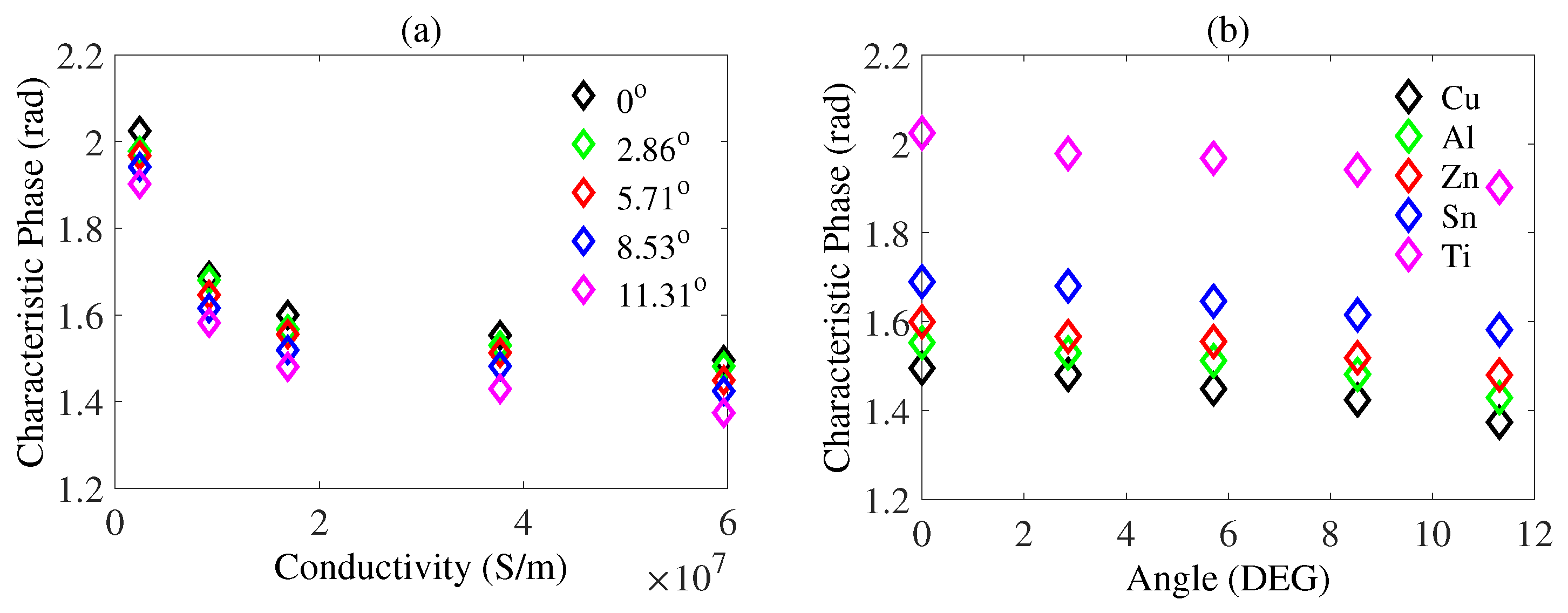
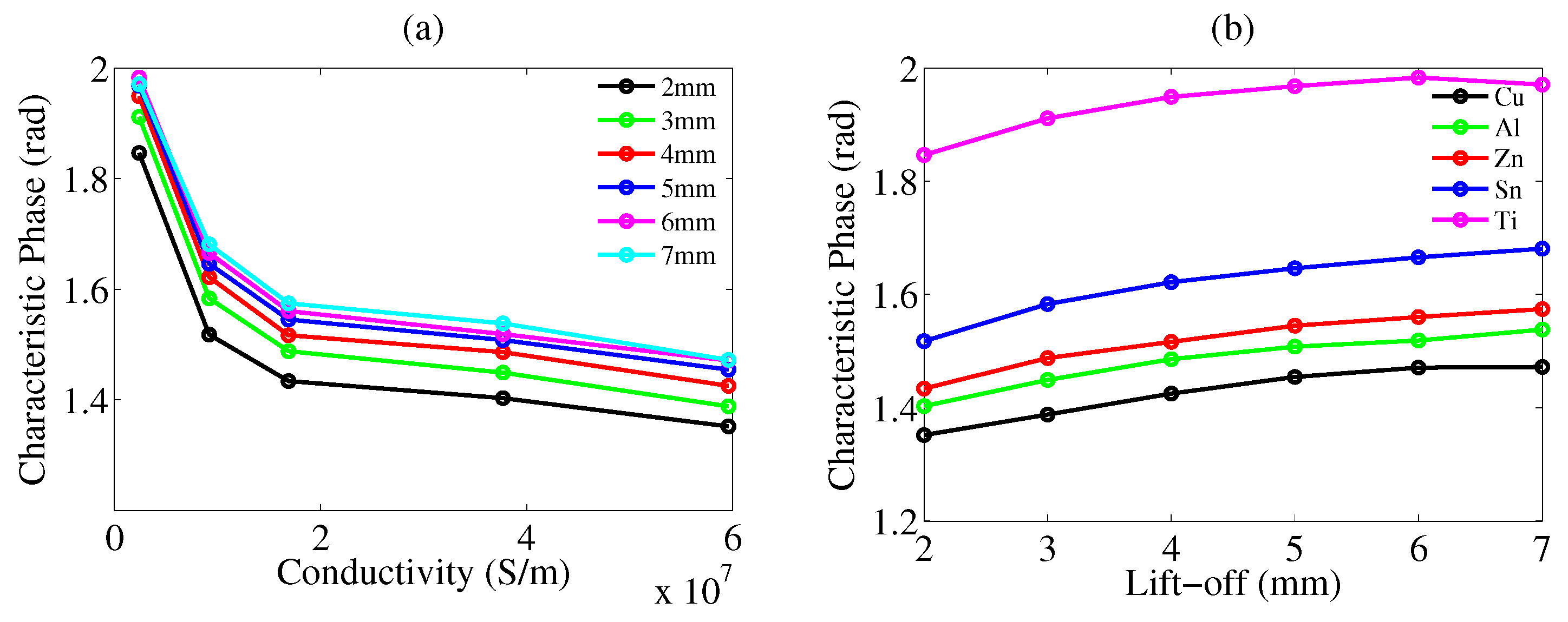
4. Non-Tilting Metal Classification
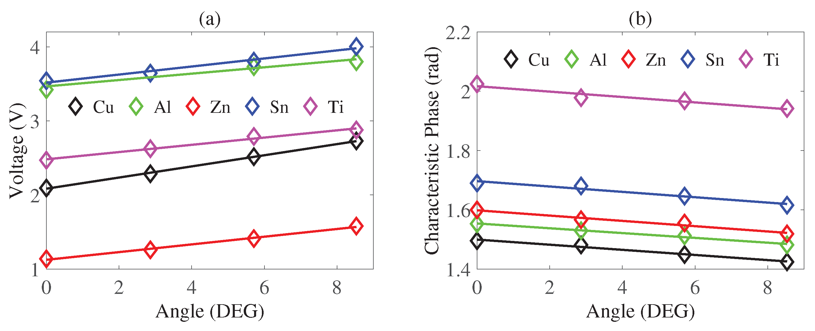
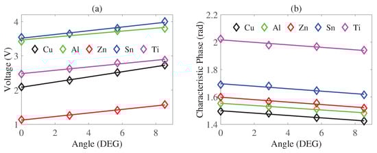
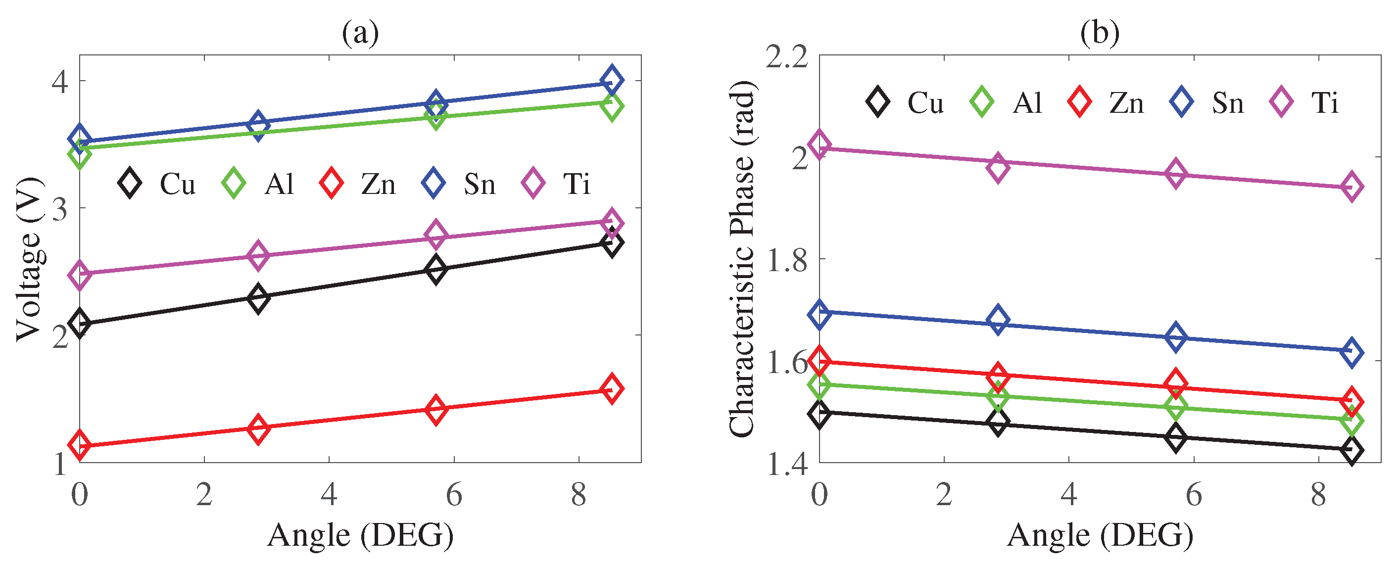
5. Tilting Metal Classification
6. Algorithm and Test
- (1)
- Obtain the raw data of mutual inductance from eddy current sensors and voltage v from photoelectric sensors.
- (2)
- Find the characteristic phase and tilting angles through v for every possible sample; e.g., for tin and for aluminum.
- (3)
- Find the bias for every tilting angle by (15), e.g., for and for , and rectify the detected characteristic phase to get of different metals; e.g., for tin and for aluminum.
- (4)
- Calculate the errors and find the metal type corresponding to the smallest error.
7. Conclusions
Author Contributions
Funding
Conflicts of Interest
References
- Yin, L.; Ye, B.; Rodriguez, S.; Leiva, R.; Meng, X.; Akid, R.; Yin, W.; Lu, M. Detection of corrosion pits based on an analytically optimised eddy current sensor. Insight-Non-Destr. Test. Cond. Monit. 2018, 60, 561–567. [Google Scholar] [CrossRef]
- Wu, J.; Zhu, J.; Xia, H.; Liu, C.; Huang, X.; Tian, G.Y. DC-biased magnetization based eddy current thermography for subsurface defect detection. IEEE Trans. Ind. Inform. 2019, 15, 6252–6259. [Google Scholar] [CrossRef]
- Xu, H.; Lu, M.; Avila, J.; Zhao, Q.; Zhou, F.; Meng, X.; Yin, W. Imaging a weld cross-section using a novel frequency feature in multi-frequency eddy current testing. Insight-Non-Destr. Test. Cond. Monit. 2019, 61, 738–743. [Google Scholar] [CrossRef]
- Karakoc, K.; Suleman, A.; Park, E.J. Analytical modeling of eddy current brakes with the application of time varying magnetic fields. Appl. Math. Model. 2016, 40, 1168–1179. [Google Scholar] [CrossRef]
- Nagel, J.R. Induced eddy currents in simple conductive geometries: mathematical formalism describes the excitation of electrical eddy currents in a time-varying magnetic field. IEEE Antennas Propag. Mag. 2017, 60, 81–88. [Google Scholar] [CrossRef]
- Xie, L.; Gao, B.; Tian, G.; Tan, J.; Feng, B.; Yin, Y. Coupling pulse eddy current sensor for deeper defects NDT. Sens. Actuators Phys. 2019, 293, 189–199. [Google Scholar] [CrossRef]
- Bouloudenine, A.; Feliachi, M.; Latreche, M.E.H. Development of circular arrayed eddy current sensor for detecting fibers orientation and in-plane fiber waviness in unidirectional CFRP. NDT Int. 2017, 92, 30–37. [Google Scholar] [CrossRef]
- Yu, Y.; Zhang, D.; Lai, C.; Tian, G. Quantitative approach for thickness and conductivity measurement of monolayer coating by dual-frequency eddy current technique. IEEE Trans. Instrum. Meas. 2017, 66, 1874–1882. [Google Scholar] [CrossRef]
- Smith, Y.R.; Nagel, J.R.; Rajamani, R.K. Eddy current separation for recovery of non-ferrous metallic particles: A comprehensive review. Miner. Eng. 2019, 133, 149–159. [Google Scholar] [CrossRef]
- Zhang, S.; Forssberg, E.; Arvidson, B.; Moss, W. Aluminum recovery from electronic scrap by High-Force® eddy-current separators. Resour. Conserv. Recycl. 1998, 23, 225–241. [Google Scholar] [CrossRef]
- Bi, H.; Zhu, H.; Zu, L.; Gao, Y.; Gao, S.; Wu, Z. Eddy current separation for recovering aluminium and lithium-iron phosphate components of spent lithium-iron phosphate batteries. Waste Manag. Res. 2019, 37, 1217–1228. [Google Scholar] [CrossRef] [PubMed]
- O’Toole, M.D.; Karimian, N.; Peyton, A.J. Classification of nonferrous metals using magnetic induction spectroscopy. IEEE Trans. Ind. Inform. 2017, 14, 3477–3485. [Google Scholar] [CrossRef]
- Dodd, C.; Deeds, W. Analytical solutions to eddy-current probe-coil problems. J. Appl. Phys. 1968, 39, 2829–2838. [Google Scholar] [CrossRef]
- Yin, W.; Binns, R.; Dickinson, S.J.; Davis, C.; Peyton, A.J. Analysis of the liftoff effect of phase spectra for eddy current sensors. IEEE Trans. Instrum. Meas. 2007, 56, 2775–2781. [Google Scholar] [CrossRef]
- Yin, W.; Peyton, A. Thickness measurement of non-magnetic plates using multi-frequency eddy current sensors. NDT Int. 2007, 40, 43–48. [Google Scholar] [CrossRef]
- Xu, H.; Avila, J.R.S.; Wu, F.; Roy, M.J.; Xie, Y.; Zhou, F.; Peyton, A.; Yin, W. Imaging x70 weld cross-section using electromagnetic testing. NDT Int. 2018, 98, 155–160. [Google Scholar] [CrossRef]
- Chen, Z.; Salas-Avlia, J.R.; Tao, Y.; Yin, W.; Zhao, Q.; Zhang, Z. A novel hybrid serial/parallel multi-frequency measurement method for impedance analysis in eddy current testing. Rev. Sci. Instrum. 2020, 91, 024703. [Google Scholar] [CrossRef] [PubMed]
- Balanis, C.A. Antenna Theory: Analysis and Design; John Wiley & Sons: Hoboken, NJ, USA, 2016; pp. 247–260. [Google Scholar]
- Tavernier, F.; Steyaert, M. High-Speed Optical Receivers with Integrated Photodiode in Nanoscale CMOS; Springer Science & Business Media: Berlin, Germany, 2011; pp. 41–76. [Google Scholar]
- Williams, J. The Crystal Triode: The Transistor. In The Electronics Revolution; Springer: New York, NY, USA, 2017; pp. 69–80. [Google Scholar]











| Copper | Aluminum | Zinc | Tin | Titanium |
|---|---|---|---|---|
| Input Voltage (V) | Angle (DEG) | Type | Input Phase (rad) | Fitting Phase (rad) | Test Error (rad) |
|---|---|---|---|---|---|
| 3.81 | 5.40 | Sn | 1.61 | 1.70 | 0.09 |
| 3.81 | 8.01 | Al | 1.61 | 1.55 | 0.06 |
| Input Phase (rad) | Type | Train Phase (rad) | Fitting Phase (rad) | Fitting Error (rad) |
|---|---|---|---|---|
| 1.61 | Sn | 1.65 | 1.70 | 0.05 |
| 1.61 | Al | 1.48 | 1.55 | 0.07 |
© 2020 by the authors. Licensee MDPI, Basel, Switzerland. This article is an open access article distributed under the terms and conditions of the Creative Commons Attribution (CC BY) license (http://creativecommons.org/licenses/by/4.0/).
Share and Cite
Du, Y.; Zhang, Z.; Yin, W.; Zhu, S.; Chen, Z.; Xu, H. Conductivity Classification of Non-Magnetic Tilting Metals by Eddy Current Sensors. Sensors 2020, 20, 2608. https://doi.org/10.3390/s20092608
Du Y, Zhang Z, Yin W, Zhu S, Chen Z, Xu H. Conductivity Classification of Non-Magnetic Tilting Metals by Eddy Current Sensors. Sensors. 2020; 20(9):2608. https://doi.org/10.3390/s20092608
Chicago/Turabian StyleDu, Yue, Zhijie Zhang, Wuliang Yin, Shuang Zhu, Ziqi Chen, and Hanyang Xu. 2020. "Conductivity Classification of Non-Magnetic Tilting Metals by Eddy Current Sensors" Sensors 20, no. 9: 2608. https://doi.org/10.3390/s20092608
APA StyleDu, Y., Zhang, Z., Yin, W., Zhu, S., Chen, Z., & Xu, H. (2020). Conductivity Classification of Non-Magnetic Tilting Metals by Eddy Current Sensors. Sensors, 20(9), 2608. https://doi.org/10.3390/s20092608

