Airborne Distributed Position and Orientation System Transfer Alignment Method Based on Fiber Bragg Grating
Abstract
1. Introduction
2. Composition and Principle of Distributed Pos Based on FBG
3. Deformation Measurement of Fiber Bragg Grating
3.1. Calculation of Bending Deformation of Y and Z Axis
3.2. Calculation of Torsional Deformation for X-Axis
4. Transfer Alignment Model
4.1. Error Equation
4.1.1. Velocity Error Equation
4.1.2. Position Error Equation
4.1.3. Attitude Error Equation
4.1.4. Inertial Device Error Equation
4.2. Modeling of Distributed POS Transfer Alignment System Based on Fiber Bragg Grating
4.2.1. Establishment of System State Equation
4.2.2. Establishment of Measurement Equation
- (1)
- Position measurement information correction
- (2)
- Attitude measurement information correction
5. Results
5.1. System Composition
5.2. System Testing and Data Analysis
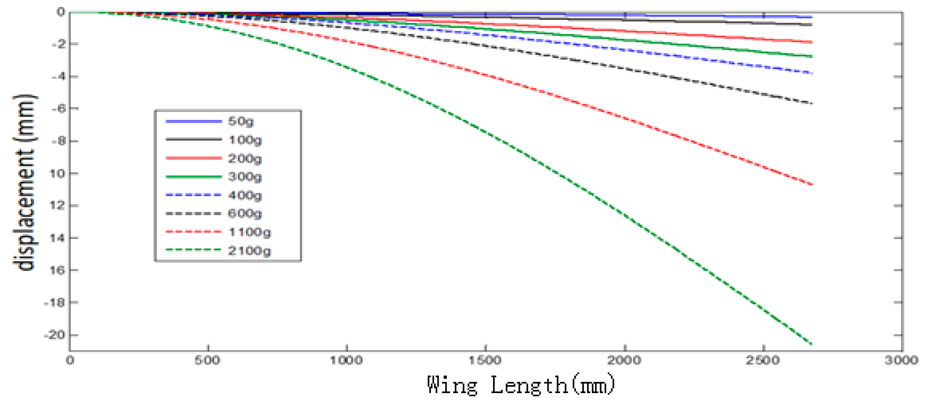
5.2.1. Measurement of Deformation Displacement of FBG
5.2.2. Transfer Alignment Test of Subsystem
6. Conclusions
Author Contributions
Funding
Conflicts of Interest
References
- Li, D.J.; Teng, X.M.; Pan, Z.H. The Concept and Applications of Distributed POS. J. Radars 2013, 2, 13086. [Google Scholar] [CrossRef]
- Fang, J.; Liu, Z. In-flight alignment of POS based on state-transition matrix. IEEE Sensors J. 2015, 15, 2157–2165. [Google Scholar] [CrossRef]
- Zhang, Y.; Xiong, X.; Zheng, M.; Huang, X. LiDAR Strip Adjustment Using Multifeatures Matched With Aerial Images. IEEE Trans. Geosci. Remote Sens. 2015, 53, 976–987. [Google Scholar] [CrossRef]
- Fang, J.; Chen, L.; Yao, J. An Accurate Gravity Compensation Method for High-Precision Airborne POS. IEEE Trans. Geosci. Remote Sens. 2014, 52, 4564–4573. [Google Scholar] [CrossRef]
- Wang, J.; Liang, X.; Ding, C.; Chen, L.; Wang, Z.; Li, K. A Novel Scheme for Ambiguous Energy Suppression in MIMO-SAR Systems. IEEE Geosci. Remote Sens. Lett. 2015, 12, 344–348. [Google Scholar] [CrossRef]
- Liu, Z.S.; Wang, B.N.; Xiang, M.S.; Chen, L.Y. Performance Analysis for Airborne Interferometric SAR Affected by Flexible Baseline Oscillation. J. Radars 2014, 3, 183–192. [Google Scholar]
- Zhu, Z.S.; Guo, T. Effect of distributed POS transfer alignment on InSAR interferometic measurement. J. Chin. Inert. Technol. 2014, 22, 432–438. [Google Scholar]
- Sun, X.; Wang, J.; Xiang, M. Distance measurement of nonrigid baseline for InSAR based on Kalman filter. Electron. Meas. Technol. 2012, 35, 103–107. [Google Scholar]
- Fang, J.C.; Zhang, Z.; Gong, X.L. Modeling and simulation of transfer alignment for distributed POS. J. Chin. Inert. Technol. 2012, 20, 379–385. [Google Scholar]
- Ye, W.; Li, J.; Fang, J.; Yuan, X. EGP-CDKF for performance improvement of the SINS/GNSS integrated system. IEEE Trans. Ind. Electron. 2017. [Google Scholar] [CrossRef]
- Yu, J.; Lee, J.G.; Park, C.G.; Hyung, S.H. An off-line navigation of a geometry PIG using a modified nonlinear fixed-interval smoothing filter. Control Eng. Pract. 2005, 13, 1403–1411. [Google Scholar] [CrossRef]
- Daum, F. Nonlinear filters: Beyond the Kalman filter. IEEE Aerosp. Electron. Syst. Mag. 2005, 20, 57–69. [Google Scholar] [CrossRef]
- Cao, Q.; Zhong, M.; Guo, J. Non-linear estimation of the flexural lever arm for transfer alignment of airborne distributed position and orientation system. IET Radar Sonar Navig. 2017, 11, 41–51. [Google Scholar] [CrossRef]
- Li, D.; Zhong, M.; Guo, D. Error detection and compensation in transfer alignment for the distributed POS. In Proceedings of the 52nd Control and Decision Conference, Florence, Italy, 10–13 December 2013; pp. 4194–4199. [Google Scholar]
- Gong, X.; Chen, L.; Fang, J.; Liu, G. A transfer alignment method for airborne distributed POS with three-dimensional aircraft flexure angles. Sci. China Inf. Sci. 2018, 61, 190–204. [Google Scholar] [CrossRef]
- Liu, X.X.; Zhao, Y.; Liu, Z.P.; Wang, L.H. A novel self-alignment method for SINS based on parameter recognition and dual-velocity vectors. Proc. Inst. Mech. Eng. Part G J. Aerosp. Eng. 2015, 229, 2151–2162. [Google Scholar] [CrossRef]
- DeAngelis, V.M. In-flight Deflection Measurement of the HiMAT Aeroelastically Tailored Wing. J. Aircr. 1982, 19, 1088–1094. [Google Scholar] [CrossRef]
- DeAngelis, V.M.; Fodale, R. Electro-Optical Flight Deflection Measurement System; NASA: Washington, DC, USA, 1987.
- Ko, W.L.; Fleischer, V.T. Methods for In-Flight Wing Shape Predictions of Highly Flexible Unmanned Aerial Vehicles; NASA Dryden Flight Research Center: Washington, DC, USA, 2010.
- Ko, W.L.; Fleischer, V.T. Improved Displacement Transfer Functions for Structure Deformed Shape Predictions Using Discretely Distributed Surface Strains; NASA Dryden Flight Research Center: Washington, DC, USA, 2012.
- Pak, C. Wing Shape Sensing from Measured Strain; AIAA Infotech@ Aerospace: Reston, VA, USA, 2015; p. 1427. [Google Scholar]
- Ke, W.; Haiyuan, Z.; Xuxian, W. Study on hull transverse twist measurement based on optical fiber technology. Opt. Tech. 2012, 38, 678–682. [Google Scholar]
- Huang, Y.; Cheng, W.; Li, Y.; Li, W. An optoelectronic system for the in-flight measurement of helicopter rotor blades’ motions and strains. In Proceedings of the Photonics Asia 2012, Beijing, China, 4–7 November 2012. [Google Scholar]



















| Parameter Type | Value |
|---|---|
| Single wing length | 3000 mm |
| Airfoil length | 2700 mm |
| Laminate length | 600 mm |
| Laminate width | 320 mm |
| Laminate thickness | 25 mm |
| Chord length of the wing | 320 mm |
| Chord length of the wingtip | 240 mm |
| Root tip ratio | 0.75 |
| Maximum thickness | 21 mm |
| Right wing weight | 32.772 kg |
| Left wing weight | 32.775 kg |
| Platen weight | 12.852 kg |
| Installation interval between Main IMU and first sub IMU | 600 mm |
| Installation interval between sub IMUs | 560 mm |
| Wing and base fitting screw | M6 |
| Platen and wing fitting screw | M8 |
| Transition of the wing root | Quadrangular transition |
| Num | Weights (g) | Micrometer Measured Value (mm) | FBG Measured Value (mm) | Deviation Value (mm) |
|---|---|---|---|---|
| 1 | 50 | −0.363 | −0.295 | 0.068 |
| 2 | 100 | −0.679 | −0.773 | 0.094 |
| 3 | 200 | −1.889 | −1.874 | 0.015 |
| 4 | 300 | −2.748 | −2.769 | 0.021 |
| 5 | 400 | −3.827 | −3.775 | 0.052 |
| 6 | 600 | −5.722 | −5.671 | 0.051 |
| 7 | 1100 | −10.537 | −10.688 | 0.151 |
| 8 | 2100 | −20.666 | −20.558 | 0.108 |
| Displacement Variation | Area 1 | Area 2 | Area 3 |
|---|---|---|---|
| 32.15 | 46.13 | 61.75 | |
| 32.39 | 46.34 | 61.92 | |
| 53.57 | 64.82 | 80.11 |
| State | Heading MSE | Pitch RMSE | Roll RMSE |
|---|---|---|---|
| 1 | 0.0089 | 0.0045 | 0.0790 |
| 2 | 0.0066 | 0.0025 | 0.1008 |
| 3 | 0.0058 | 0.0019 | 0.1007 |
| 4 | 0.0043 | 0.0023 | 0.0821 |
| 5 | 0.0038 | 0.0023 | 0.0827 |
| State | x | y | z |
|---|---|---|---|
| 1 | 2.020 | 0.879 | 0.921 |
| 2 | 2.373 | 0.449 | 0.589 |
| 3 | 1.729 | 0.480 | 0.750 |
| 4 | 1.233 | 0.683 | 0.689 |
| 5 | 1.346 | 1.355 | 0.983 |
© 2020 by the authors. Licensee MDPI, Basel, Switzerland. This article is an open access article distributed under the terms and conditions of the Creative Commons Attribution (CC BY) license (http://creativecommons.org/licenses/by/4.0/).
Share and Cite
Ye, W.; Gu, B.; Wang, Y. Airborne Distributed Position and Orientation System Transfer Alignment Method Based on Fiber Bragg Grating. Sensors 2020, 20, 2120. https://doi.org/10.3390/s20072120
Ye W, Gu B, Wang Y. Airborne Distributed Position and Orientation System Transfer Alignment Method Based on Fiber Bragg Grating. Sensors. 2020; 20(7):2120. https://doi.org/10.3390/s20072120
Chicago/Turabian StyleYe, Wen, Bin Gu, and Yun Wang. 2020. "Airborne Distributed Position and Orientation System Transfer Alignment Method Based on Fiber Bragg Grating" Sensors 20, no. 7: 2120. https://doi.org/10.3390/s20072120
APA StyleYe, W., Gu, B., & Wang, Y. (2020). Airborne Distributed Position and Orientation System Transfer Alignment Method Based on Fiber Bragg Grating. Sensors, 20(7), 2120. https://doi.org/10.3390/s20072120
