An Area-Efficient and Highly Linear Reconfigurable Continuous-Time Filter for Biomedical Sensor Applications
Abstract
1. Introduction
2. System and Architecture
3. Circuit Implementation
3.1. Current-Steering Integrator with an Improved α Block
3.2. Proposed OTA with High-Gain and Low-Input-Referred Noise
3.3. Unity-Gain Analog Inverter with a Linearity Enhancement
4. Circuit Analysis
4.1. Linearity Performance
4.2. The Open-Loop Gain of the OTA
4.3. Noise Performance
4.4. Linear Frequency Tuning
5. Results
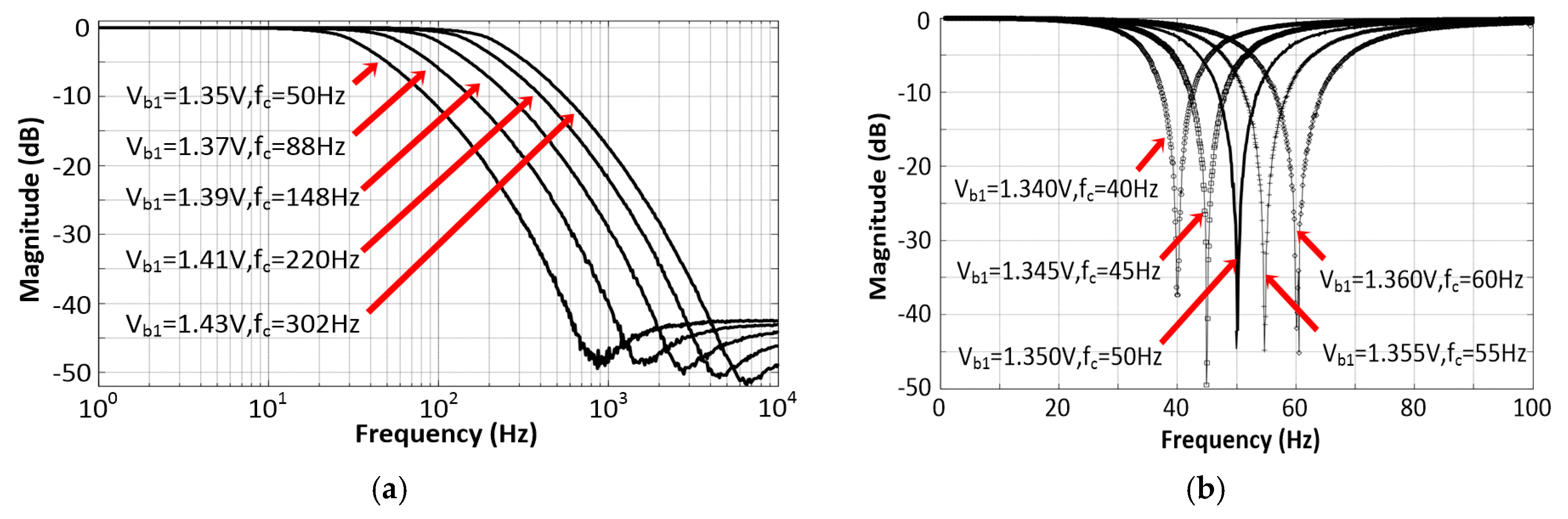
5.1. Tunable Frequency Response
5.2. Total Harmonic Distortion
5.3. ECG Measurement
6. Conclusions
Author Contributions
Funding
Conflicts of Interest
References
- Baghini, M.S.; Lal, R.K.; Sharma, D. A low-power and compact analog CMOS processing chip for portable ECG recorders. In Proceedings of the 2005 IEEE Asian Solid-State Circuits Conference, Hsinchu, Taiwan, 1–3 November 2005; pp. 473–476. [Google Scholar]
- Zhang, J.; Wang, L.; Yu, L.; Yang, Y.; Zhang, Y.-T.; Li, B. A low-offset analogue front-end IC for multi-channel physiological signal acquisition. In Proceedings of the 2009 Annual International Conference of the IEEE Engineering in Medicine and Biology Society, Minneapolis, MN, USA, 3–6 September 2009; pp. 4473–4476. [Google Scholar]
- Solis-Bustos, S.; Silva-Martinez, J.; Maloberti, F.; Sanchez-Sinencio, E. A 60-dB dynamic-range CMOS sixth-order 2.4-Hz low-pass filter for medical applications. IEEE Trans. Circuits Syst. II Express Briefs 2000, 47, 1391–1398. [Google Scholar] [CrossRef]
- Bronzino, J.D. The Biomedical Engineering Handbook, 2nd ed.; CRC Press: Boca Raton, FL, USA, 2000. [Google Scholar]
- Huhta, J.C.; Webster, J.G. 60-Hz Interference in Electrocardiography. IEEE Trans. Biomed. Eng. 1973, 20, 91–101. [Google Scholar] [CrossRef] [PubMed]
- Thanapitak, S.; Sawigun, C. A Subthreshold Buffer-Based Biquadratic Cell and its Application to Biopotential Filter Design. IEEE Trans. Circuits Syst. I Regul. Pap. 2018, 65, 2774–2783. [Google Scholar] [CrossRef]
- Lee, Y.-C.; Hsu, W.-Y.; Huang, T.-T.; Chen, H. A compact Gm-C filter architecture with an ultra-low corner frequency and high ground-noise rejection. In Proceedings of the 2013 IEEE Biomedical Circuits and Systems Conference (BioCAS), Rotterdam, The Netherlands, 31 October–2 November 2013; pp. 318–321. [Google Scholar]
- Burt, R.; Zhang, J. A Micropower Chopper-Stabilized Operational Amplifier Using a SC Notch Filter with Synchronous Integration inside the Continuous-Time Signal Path. IEEE J. Solid-State Circuits 2006, 41, 2729–2736. [Google Scholar] [CrossRef]
- Gnudi, A.; Finotti, C.; Baccarani, G. Integrated SC low pass filter with a 1-100 Hz variable bandwidth. Electron. Lett. 1997, 33, 762–763. [Google Scholar] [CrossRef]
- Qian, C.; Parramon, J.; Sanchez-Sinencio, E. A micro power low-noise neural recording front-End circuit for epileptic seizure detection. IEEE J. Solid-State Circuits 2011, 46, 1392–1405. [Google Scholar] [CrossRef]
- Xu, X.; Zou, X.; Yao, L.; Lian, Y. A 1-V 450-nW fully integrated biomedical sensor interface system. In Proceedings of the 2008 IEEE Symposium on VLSI Circuits, Honolulu, HI, USA, 18–20 June 2008; pp. 78–79. [Google Scholar]
- Veeravalli, A.; Sanchez-Sinencio, E.; Silva-Martinez, J. A CMOS transconductance amplifier architecture with wide tuning range for very low frequency applications. IEEE J. Solid-State Circuits 2002, 37, 776–781. [Google Scholar] [CrossRef]
- Bruschi, P.; Nizza, N.; Pieri, F.; Schipani, M.; Cardisciani, D. A Fully Integrated Single-Ended 1.5–15-Hz Low-Pass Filter with Linear Tuning Law. IEEE J. Solid-State Circuits 2007, 42, 1522–1528. [Google Scholar] [CrossRef]
- Moon, U.-K.; Song, B.-S. Design of a low-distortion 22-kHz fifth-order Bessel filter. IEEE J. Solid-State Circuits 1993, 28, 1254–1264. [Google Scholar] [CrossRef][Green Version]
- Wong, A.; Pun, K.-P.; Zhang, Y.-T.; Hung, K. A near-infrared heart rate measurement IC with very low cutoff frequency using current steering technique. IEEE Trans. Circuits Syst. I Regul. Pap. 2005, 52, 2642–2647. [Google Scholar] [CrossRef]
- Qian, X.; Xu, Y.P.; Li, X. A CMOS Continuous-Time Low-Pass Notch Filter for EEG Systems. Analog. Integr. Circuits Signal Process. 2005, 44, 231–238. [Google Scholar] [CrossRef]
- Lee, S.-Y.; Cheng, C.-J. Systematic Design and Modeling of a OTA-C Filter for Portable ECG Detection. IEEE Trans. Biomed. Circuits Syst. 2009, 3, 53–64. [Google Scholar] [CrossRef] [PubMed]
- Sánchez-Sinencio, E.; Silva-Martínez, J. CMOS transconductance amplifiers, architectures and active filters: A tutorial. IEE Proc.—Circuits Devices Syst. 2000, 147, 3–12. [Google Scholar]
- Acosta, L.; Jiménez, M.; Carvajal, R.G.; Lopez-Martin, A.J.; Ramírez-Angulo, J. Highly linear tunable CMOS low-pass filter. IEEE Trans. Circuit Syst. I Reg. Pap. 2009, 56, 2145–2158. [Google Scholar] [CrossRef]
- Silva-Martinez, J.; Steyaert, M.; Sansen, W. A 10.7-MHz 68-dB SNR CMOS continuous-time filter with on-chip automatic tuning. IEEE J. Solid-State Circuits 1992, 27, 1843–1853. [Google Scholar] [CrossRef]
- Tsividis, Y. Integrated continuous-time filter design—An overview. IEEE J. Solid-State Circuits 1994, 29, 166–176. [Google Scholar] [CrossRef]
- Razavi, B. Design of CMOS Analog Integrated Circuits; McGraw-Hill: Singapore, 2001. [Google Scholar]
- Available online: https://www.cadence.com/content/cadence (accessed on 30 September 2019).
- Abdelhalim, K.; Genov, R. Compact chopper-stabilized neural amplifier with low-distortion high-pass filter in 0.13 µm CMOS. In Proceedings of the 2012 IEEE International Symposium on Circuits and Systems, Seoul, Korea, 20–23 May 2012; pp. 1075–1078. [Google Scholar]
- Wambacq, P.; Sansen, W. Distortion Analysis of Analog Integrated Circuits; Springer: Boston, MA, USA, 1998. [Google Scholar]
- Sawigun, C.; Thanapitak, S. A Nanopower Biopotential Lowpass Filter Using Subthreshold Current-Reuse Biquads With Bulk Effect Self-Neutralization. IEEE Trans. Circuits Syst. I Regul. Pap. 2018, 66, 1746–1757. [Google Scholar] [CrossRef]
- Krishna, J.R.M.; Laxminidhi, T. Widely tunable low-pass gm—C filter for biomedical applications. IET Circuits Devices Syst. 2019, 13, 239–244. [Google Scholar] [CrossRef]
- Kardoulakia, E.M.; Glaros, K.N.; Degenaar, P.; Katsiamis, A.G.; Drakakis, E.M. Measured hyperbolic-sine(sinh) CMOS results: A high-order 10 Hz-1 kHz notch filter for 50/60Hz noise. Microelectron. J. 2013, 44, 1268–1277. [Google Scholar] [CrossRef]
- Alzaher, H.; Tasadduq, N.; Mahnashi, Y. A Highly linear fully integrated power line filter for biopotential acquisition systems. IEEE Trans. Biomed. Circuits Syst. 2013, 7, 703–712. [Google Scholar] [CrossRef]
- Chang, C.-H.; Zahrai, S.A.; Wang, K.; Xu, L.; Farah, I.; Onabajo, M. An Analog Front-End Chip With Self-Calibrated Input Impedance for Monitoring of Biosignals via Dry Electrode-Skin Interfaces. IEEE Trans. Circuits Syst. I Regul. Pap. 2017, 64, 2666–2678. [Google Scholar] [CrossRef]













| Low-Pass Filter | Notch Filter | |||||||||
|---|---|---|---|---|---|---|---|---|---|---|
| Parameter | 2009 [17] | 2018 [6] | 2018 [26] | 2019 [27] * | This Work | 2005 [16] | 2013 [28] | 2013 [29] | 2017 [30] * | This Work |
| Filter Order | 1 | 4 | 4 | 4 | 2 | 5 | 8 | 2/4 | 5 | 2 |
| Tuning Range (Hz) | 0.002–90 | 100 | 100–300 | 0.03–100 | 0.05–300 | 30–67 | 10–1k | 40–80 | 0–47.2 | 0.06–250 |
| THD (dB) | −48.9 @50 Hz 100 mV | −50 @20 Hz 25 mV | −50 @20 Hz 25 mV | −40 @10 Hz | −76 @2 Hz 20 mV | −49.7 @8 Hz 50 mV | −34 @15 Hz 1 μA | −70/−65 @100 mV | −60.7 @10 Hz 30 mV | −76 @2 Hz 20 mV |
| Area (mm2) | 0.07 | 0.11 | 0.1 | 0.737 | 0.0675 | 0.25 | 12.5 | 1 | 0.314 | 0.0675 |
| Capacitor per pole (pF) $ | 40 | 9.625 | 11.785 | 71.2 | 1.97 | 20 | 25 | 30.2 | 7.72 | 2.68 |
| Pass-Band Gain (dB) | 0 | −0.05 | −0.09 | 1.14 | 0 | 0.1 | 0 | 0 | −2.08 | 0 |
| Input-Referred Noise (μVrms) | 32 | 80.5 | 39.38 | 129.2 | 5.5 & | 243 | NA | NA | 170.3 | 6.4 & |
| Supply (V) | 1 | 0.9 | 1.5 | 1.8 | 1.8 | 3 | 2 | 1.5 | 1.2 | 1.8 |
| Process (μm) | 0.35 | 0.35 | 0.35 | 0.18 | 0.18 | 0.35 | 0.35 | 0.18 | 0.13 | 0.18 |
© 2020 by the authors. Licensee MDPI, Basel, Switzerland. This article is an open access article distributed under the terms and conditions of the Creative Commons Attribution (CC BY) license (http://creativecommons.org/licenses/by/4.0/).
Share and Cite
Zhang, J.; Chan, S.-C.; Li, H.; Zhang, N.; Wang, L. An Area-Efficient and Highly Linear Reconfigurable Continuous-Time Filter for Biomedical Sensor Applications. Sensors 2020, 20, 2065. https://doi.org/10.3390/s20072065
Zhang J, Chan S-C, Li H, Zhang N, Wang L. An Area-Efficient and Highly Linear Reconfigurable Continuous-Time Filter for Biomedical Sensor Applications. Sensors. 2020; 20(7):2065. https://doi.org/10.3390/s20072065
Chicago/Turabian StyleZhang, Jinyong, Shing-Chow Chan, Hui Li, Nannan Zhang, and Lei Wang. 2020. "An Area-Efficient and Highly Linear Reconfigurable Continuous-Time Filter for Biomedical Sensor Applications" Sensors 20, no. 7: 2065. https://doi.org/10.3390/s20072065
APA StyleZhang, J., Chan, S.-C., Li, H., Zhang, N., & Wang, L. (2020). An Area-Efficient and Highly Linear Reconfigurable Continuous-Time Filter for Biomedical Sensor Applications. Sensors, 20(7), 2065. https://doi.org/10.3390/s20072065

