Multibody System-Based Adaptive Formation Scheme for Multiple Under-Actuated AUVs
Abstract
1. Introduction
- On the basis of the multibody system concept, the MAUVs’ formation and communication link framework has been established. The connection between AUVs can be viewed as a springs and damping system. An adaptive control strategy has been set up for multiple under-actuated AUVs formation with a desired formation region and magnitude reduced artificial potential function.
- On the basis of the MAUVs’ formation and communication link framework, the packets transmission scheme has been designed with learning-based multi-layered network topology; the cooperative localization errors caused by packet loss are estimated and modified through reinforcement learning RBF neural networks.
- On the basis of the MAUVs’ formation and communication link framework, an adaptive RBF formation scheme with magnitude reduced multi-layered potential energy functions has been designed on the basis of the time-delayed network framework. Simulations and experiments have verified the performance of the purposed schemes.
2. MAUVs’ Formation and Communication Link Framework
2.1. Multibody-Based Formation Framework
2.2. Adaptive Communication Protocol
2.2.1. Protocol for Linear Topology
2.2.2. Protocol for One-Many Contending Topology
2.3. RBF Learning Network for Localization Errors Estimation
2.4. Formation Shape Maintenance with Potential Field
3. Adaptive RBF Formation Scheme
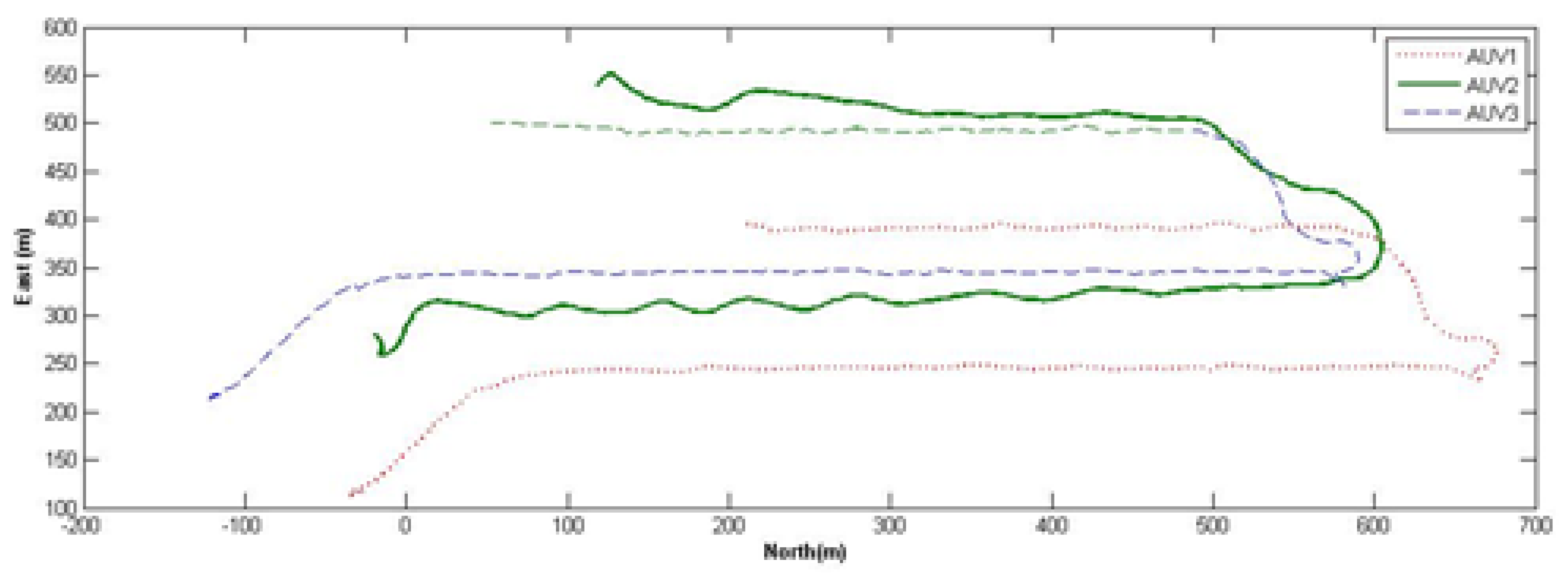
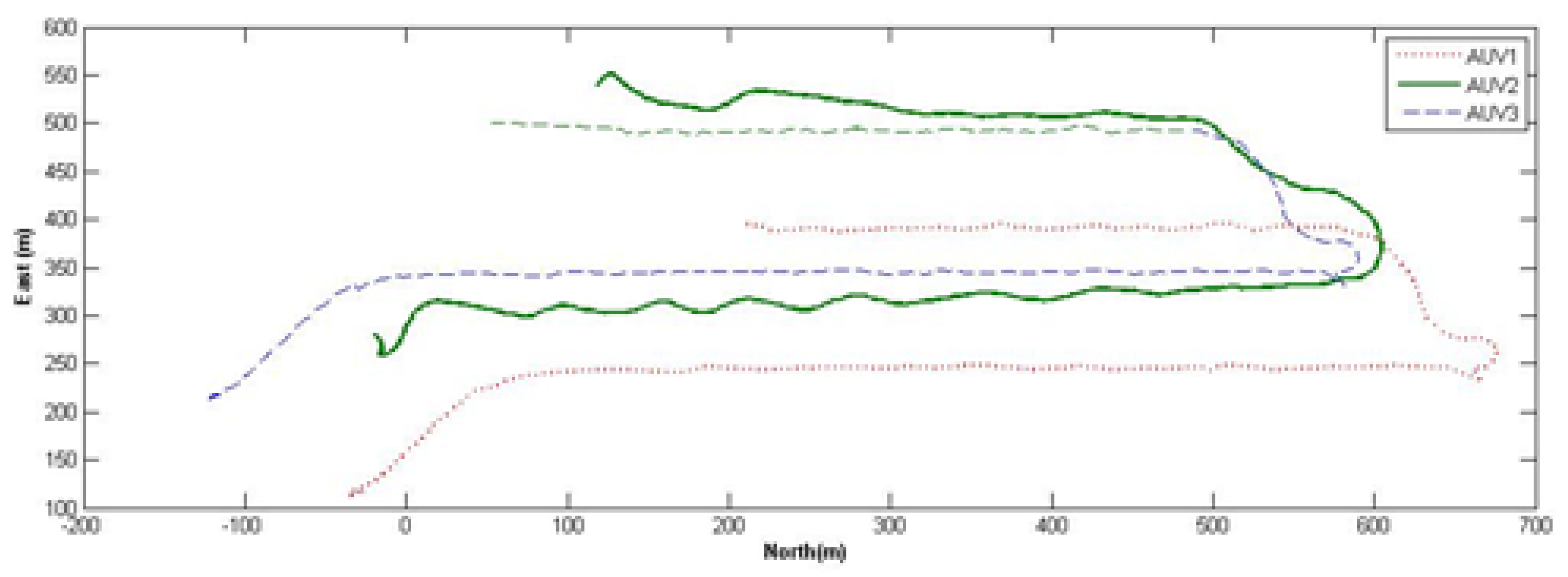
4. Simulations and Experiments
5. Conclusions
Author Contributions
Funding
Conflicts of Interest
References
- Mohammad Pourmahmood Aghababa. 3D path planning for underwater vehicles using five evolutionary optimization algorithms avoiding static and energetic obstacles. Appl. Ocean Res. 2012, 38, 48–62. [Google Scholar] [CrossRef]
- Cheng, C.-T.; Fallahi, K.; Leung, H.; Tse, C.K. A Genetic Algorithm-Inspired UUV Path Planner Based on Dynamic Programming. IEEE Trans. Syst. ManCybernytics-Part C Appl. Rev. 2012, 42, 1128–1134. [Google Scholar] [CrossRef]
- Lee, T.-S.; Lee, B.H. A new hybrid terrain coverage method for underwater robotic exploration. J. Mar. Sci. Technol. 2014, 19, 75–89. [Google Scholar] [CrossRef]
- Zeng, Z.; Lian, L.; Sammut, K.; He, F.; Tang, Y.; Lammas, A. A survey on path planning for persistent autonomy of autonomous underwater vehicles. Ocean Eng. 2015, 110, 303–313. [Google Scholar] [CrossRef]
- Enrico, P.; Fabio, L.; Marco, C. High Accuracy Buoyancy for Underwater Gliders: The Uncertainty in the Depth Control. Sensors 2019, 19, 1831. [Google Scholar]
- Mario, A.; Antonelli, G. Experiments on Sampling/Patrolling with two Autonomous Underwater Vehicles. Robot. Auton. Syst. 2015, 67, 61–71. [Google Scholar] [CrossRef]
- Petritoli, E.; Leccese, F. High accuracy attitude and navigation system for an autonomous underwater vehicle (AUV). Acta Imeko 2018, 7, 3–9. [Google Scholar] [CrossRef]
- Park, B.S. Adaptive formation control of underactuated autonomous underwater vehicles. Ocean Eng. 2015, 96, 1–7. [Google Scholar] [CrossRef]
- Zheng, H.; Wang, N.; Wu, J. Minimizing deep sea data collection delay with autonomous underwater vehicles. J. Parallel Distrib. Comput. 2017, 104, 99–113. [Google Scholar] [CrossRef]
- Liang, H.; Kang, F.; Li, H. UUV formation system modeling and simulation research based on Multi-Agent Interaction Chain. Int. J. Modeling Simul. Sci. Comput. 2015, 6, 1550019–1–23. [Google Scholar] [CrossRef]
- Zhang, L.; Wang, T.; Zhang, F.; Xu, D. Cooperative Localization for Multi-AUVs Based on GM-PHD Filters and Information Entropy Theory. Sensors 2017, 17, 1–16. [Google Scholar]
- Allotta, B.; Caiti, A.; Costanzi, R.; Corato, F.D.; Fenucci, D.; Monni, N.; Pugi, L.; Ridolfi, A. Cooperative navigation of AUVs via acoustic communication networking: Field experience with the Typhoon vehicles. Auton. Robot 2016, 40, 1229–1244. [Google Scholar] [CrossRef]
- Walls, J.M.; Eustice, R.M. An origin state method for communication constrained cooperative localization with robustness to packet loss. Int. J. Robot. Res. 2014, 33, 1191–1208. [Google Scholar] [CrossRef]
- Khan, J.U.; Cho, H.-S. Data-Gathering Scheme Using AUVs in Large-Scale Underwater Sensor Networks: A Multihop Approach. Sensors 2016, 16, 1626. [Google Scholar] [CrossRef]
- Yan, Z.; Wu, Y.; Du, X.; Li, J. Limited Communication Consensus Control of Leader-Following Multi-UUVs in a Swarm System Under Multi-Independent Switching Topologies and Time Delay. IEEE Access 2018, 5, 33183–33200. [Google Scholar] [CrossRef]
- Meng, T.; Shi, H.; Wang, Y. A MAC protocol for underwater sensor networks. In Proceedings of the 8th International Conference on Electronic Measurement and Instruments, Xi’an, China, 16–18 August 2007. [Google Scholar]
- Bharamagoudra, M.R.; Manvi, S.S.; Gonen, B. Event driven energy depth and channel aware routing for underwater acoustic sensor networks: Agent oriented clustering based approach. Comput. Electr. Eng. 2017, 58, 1–19. [Google Scholar] [CrossRef]
- Brignone, L.; Alves, J.; Opderbecke, J. GREX sea trials: First experiences in multiple underwater vehicle coordination based on acoustic communication. In Proceedings of the OCEANS 2009-EUROPE, Bremen, Germany, 11–14 May 2009; pp. 1–6. [Google Scholar]
- Guo, X.; Frater, M.R.; Ryan, M.J. Design of a propagation-delay-tolerant MAC protocol for underwater acoustic sensor networks. IEEE J. Ocean. Eng. 2009, 34, 170–180. [Google Scholar]
- Kim, S.; Yoo, Y. Impact of MAC Delay on AUV Localization: Underwater Localization Based on Hyperbolic Frequency Modulation Signal. Sensors 2018, 18, 356. [Google Scholar] [CrossRef]
- Guerra, R.E.H.; Quiza, R.; Villalongda, A.; Arenas, J.; Castaño, F. Digital Twin-Based Optimization for Ultraprecision Motion Systems with Backlash and Friction. IEEE Access 2019. [Google Scholar] [CrossRef]
- Beruvides, G.; Juanes, C.; Castaño, F.; Guerra, R.E.H. A self-learning strategy for artificial cognitive control systems. In Proceedings of the 2015 IEEE International Conference on Industrial Informatics, Cambridge, UK, 22–24 July 2015; pp. 1180–1185. [Google Scholar]
- Qi, X. Adaptive coordinated tracking control of multiple autonomous underwater vehicles. Ocean Eng. 2014, 91, 84–90. [Google Scholar] [CrossRef]
- Abichandani, P.; Torabi, S.; Basu, S.; Benson, H. Mixed Integer Nonlinear Programming Framework for Fixed Path Coordination of Multiple Underwater Vehicles under Acoustic Communication Constraints. IEEE J. Ocean. Eng. 2015, 40, 864–873. [Google Scholar] [CrossRef]
- Lin, Y.; Hsiung, J.; Piersall, R.; White, C.; Lowe, C.G.; Clark, C.M. A Multi-Autonomous Underwater Vehicle System for Autonomous Tracking of Marine Life. J. Field Robot. 2017, 34, 757–774. [Google Scholar] [CrossRef]
- Chen, M.; Zhu, D. A Novel Cooperative Hunting Algorithm for Inhomogeneous Multiple Autonomous Underwater Vehicles. IEEE Access 2018, 6, 7818–7828. [Google Scholar] [CrossRef]
- Farina, M.; Perizzato, A.; Scattolini, R. Application of distributed predictive control to motion and coordination problems for unicycle autonomous robots. Robot. Auton. Syst. 2015, 72, 248–260. [Google Scholar] [CrossRef]
- Li, Y.; Cui, R.; Li, Z.; Xu, D. Neural Network Approximation Based Near-Optimal Motion Planning with Kinodynamic Constraints Using RRT. IEEE Trans. Ind. Electron. 2018, 65, 8718–8729. [Google Scholar] [CrossRef]
- Liu, Y.; Jia, Y. An iterative learning approach to formation control of multi-agent systems. Syst. Control Lett. 2012, 61, 148–154. [Google Scholar] [CrossRef]
- Cao, X.; Sun, H.; Jan, G.E. Multi-AUV cooperative target search and tracking in unknown underwater environment. Ocean Eng. 2018, 150, 1–11. [Google Scholar] [CrossRef]
- Wang, H.; Liu, K.; Li, S. Command filter based globally stable adaptive neural control for cooperative path following of multiple underactuated autonomous underwater vehicles with partial knowledge of the reference speed. Neurocomputing 2018, 275, 1478–1489. [Google Scholar] [CrossRef]
- Yuan, C.; Licht, S.; He, H. Formation Learning Control of Multiple Autonomous Underwater Vehicles with Heterogeneous Nonlinear Uncertain Dynamics. IEEE Trans. Cybern. 2018, 48, 2920–2934. [Google Scholar] [CrossRef]









© 2020 by the authors. Licensee MDPI, Basel, Switzerland. This article is an open access article distributed under the terms and conditions of the Creative Commons Attribution (CC BY) license (http://creativecommons.org/licenses/by/4.0/).
Share and Cite
Huang, H.; Tang, Q.; Zhang, G.; Zhang, T.; Wan, L.; Pang, Y. Multibody System-Based Adaptive Formation Scheme for Multiple Under-Actuated AUVs. Sensors 2020, 20, 1943. https://doi.org/10.3390/s20071943
Huang H, Tang Q, Zhang G, Zhang T, Wan L, Pang Y. Multibody System-Based Adaptive Formation Scheme for Multiple Under-Actuated AUVs. Sensors. 2020; 20(7):1943. https://doi.org/10.3390/s20071943
Chicago/Turabian StyleHuang, Hai, Qirong Tang, Guocheng Zhang, Tiedong Zhang, Lei Wan, and Yongjie Pang. 2020. "Multibody System-Based Adaptive Formation Scheme for Multiple Under-Actuated AUVs" Sensors 20, no. 7: 1943. https://doi.org/10.3390/s20071943
APA StyleHuang, H., Tang, Q., Zhang, G., Zhang, T., Wan, L., & Pang, Y. (2020). Multibody System-Based Adaptive Formation Scheme for Multiple Under-Actuated AUVs. Sensors, 20(7), 1943. https://doi.org/10.3390/s20071943
