An Efficient Attribute-Based Access Control (ABAC) Policy Retrieval Method Based on Attribute and Value Levels in Multimedia Networks
Abstract
1. Introduction
2. Related Work
3. Improved Evaluation Algorithm
3.1. Related Theory of Attribute-Based Access Control (ABAC)
3.1.1. Basic Concepts
3.1.2. Policy Decision Based on XACML
3.2. Policy Retrieval Based on Binary Identifier
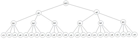
3.3. Policy Decision Tree Retrieval Based on the Depth Index
3.3.1. Construction of Policy Decision Tree
3.3.2. Policy Decision Tree Based on Depth Index
3.3.3. Analysis of the Policy Decision Tree Retrieval Method Based on Depth Index
4. Experimental Results and Analysis
4.1. Analysis of Experimental Results
4.2. Time Complexity Analysis
- Sun XACML : T1 = (t1 + t2)n
- Enterprise XACML/XEngine : T2 = (t1 + t2’)n
- B-SunXACML: T3 = t3n + n1 (t1 + t2) (in policy level)= t3n + n1mt’ + n1t2 (in attribute level)
- B-D-Sun XACML: T4 = t3n + (n1+n2+n3+…+nm)t’ + nbt2
5. Conclusions
6. Patents
Author Contributions
Funding
Acknowledgments
Conflicts of Interest
References
- Alvi, S.A.; Afzal, B.; Shah, G.A.; Atzori, L.; Mahmood, W. Internet of multimedia things. Ad Hoc Netw. 2015, 33, 87–111. [Google Scholar] [CrossRef]
- Alvi, S.A.; Shah, G.A.; Mahmood, W. Energy Efficient Green Routing Protocol for Internet of Multimedia Things. In Proceedings of the 2015 IEEE Tenth International Conference on Intelligent Sensors, Sensor Networks and Information Processing (ISSNIP), Singapore, 7–9 April 2015. [Google Scholar]
- Musaddiq, A.; Zikria, Y.B.; Hahm, O.; Yu, H.; Bashir, A.K.; Kim, S.W. A Survey on Resource Management in IoT Operating Systems. IEEE Access 2018, 6, 8459–8482. [Google Scholar] [CrossRef]
- Thiyagarajan, K.; Lu, R.; El-Sankary, K.; Zhu, H. Energy-Aware Encryption for Securing Video Transmission in Internet of Multimedia Things. IEEE Trans. Circuits Syst. Video Technol. 2018, 29, 610–624. [Google Scholar] [CrossRef]
- Chang, V.; Sun, G.; Li, J. Guest Editorial: Security and Privacy for Multimedia in the Internet of Things (IoT). Multimed. Tools Appl. 2018, 77, 18201–18202. [Google Scholar] [CrossRef]
- You, I.; Fung, C.; Baek, J.; Leung, V.C.M. IEEE Access Special Section Editorial: Security and Privacy in Applications and Services for Future Internet of Things. IEEE Access 2018, 6, 39398–39400. [Google Scholar] [CrossRef]
- Security Breach in Whats App and Telegram, Allowing Hackers to Fully Take over Accounts. Available online: https://yq.aliyun.com/articles/135490 (accessed on 4 December 2019).
- Chen, H.; Hong, F. Survey of Research on Access Control Model. Appl. Res. Comput. 2005, 22, 9–11. [Google Scholar]
- Lipton, R.J.; Snyder, L. A Linear Time Algorithm for Deciding Subject Security. J. ACM 1977, 24, 455–464. [Google Scholar] [CrossRef]
- Upadhyaya, S. Mandatory Access Control. In Encyclopedia of Cryptography and Security; Springer: Boston, MA, USA, 2011; pp. 756–758. [Google Scholar]
- McCune, J.M.; Jaeger, T.; Berger, S.; Cáceres, R.; Sailer, R. Shamon: A System for Distributed Mandatory Access Control. In Proceedings of the 2006 22nd Annual Computer Security Applications Conference (ACSAC’06), Miami Beach, FL, USA, 11–15 December 2006; pp. 23–32. [Google Scholar]
- Komlenovic, M.; Tripunitara, M.; Zitouni, T. An Empirical Assessment of Approaches to Distributed Enforcement in Role-Based Access Control (RBAC). In Proceedings of the First ACM Conference on Data and Application Security and Privacy, CODASPY 2011, San Antonio, TX, USA, 21–23 February 2011. [Google Scholar]
- Attribute Based Access Control. Available online: https://www.nist.gov/publications/attribute-based-access-control (accessed on 30 November 2019).
- Hu, V.C.; Kuhn, D.R.; Ferraiolo, D.F. Attribute-Based Access Control. Computer 2015, 48, 85–88. [Google Scholar] [CrossRef]
- Ali, Z.; Henna, S.; Akhunzada, A.; Raza, M.; Kim, S.W. Performance Evaluation of LoRaWAN for Green Internet of Things. IEEE Access 2019, 7, 164102. [Google Scholar] [CrossRef]
- Nauman, A.; Qadri, Y.A.; Amjad, M.; Zikria, Y.B.; Afzal, M.K.; Kim, S.W. Multimedia Internet of Things: A Comprehensive Survey. IEEE Access 2020, 8, 8202–8250. [Google Scholar] [CrossRef]
- Yuan, E.; Tong, J. Attributed Based Access Control (ABAC) for Web Services. In Proceedings of the IEEE International Conference on Web Services, Orlando, FL, USA, 11–15 July 2005. [Google Scholar]
- Xin, J.; Krishnan, R.; Sandhu, R. A Unified Attribute-Based Access Control Model Covering DAC, MAC and RBAC. In Lecture Notes in Computer Science, Proceedings of the Data and Applications Security and Privacy XXVI, Paris, France, 11–13 July 2012; Springer: Berlin/Heidelberg, Germany, 2012. [Google Scholar]
- Cheminod, M.; Durante, L.; Valenza, F.; Valenzano, A. Toward Attribute-Based Access Control Policy in Industrial Networked Systems. In Proceedings of the IEEE International Workshop on Factory Communication Systems (WFCS), Imperia, Italy, 13–15 June 2018. [Google Scholar]
- Wang, C.; Liu, X.; Li, W. Design and implementation of a secure cloud-based personal health record system using ciphertext-policy attribute-based encryption. Int. J. Intell. Inf. Database Syst. 2013, 7, 389–399. [Google Scholar] [CrossRef]
- Hui, Z.; Li, H.; Zhang, M.; Feng, D.G. Risk-adaptive access control model for big data in healthcare. J. Commun. 2015, 36, 190–199. [Google Scholar]
- Joshi, M.; Joshi, K.; Finin, T. Attribute Based Encryption for Secure Access to Cloud Based EHR Systems. In Proceedings of the 2018 IEEE 11th International Conference on Cloud Computing (CLOUD), San Francisco, CA, USA, 2–7 July 2018. [Google Scholar]
- Dhillon, P.K.; Kalra, S. A secure multifactor remote user authentication scheme for Internet of Multimedia Things environment. Int. J. Commun. Syst. 2019, 32, e4077. [Google Scholar] [CrossRef]
- Fan, K.; Bai, Y.; Xu, H.; Pan, Q.; Li, H.; Yang, Y. A Secure Cross-Domain Access Control Scheme in Social Networks. In Proceedings of the IEEE International Conference on Communications (ICC), Shanghai, China, 20–24 May 2019; pp. 1–6. [Google Scholar]
- Ma, C.; Chen, C.W. Secure Media Sharing in the Cloud: Two-Dimensional-Scalable Access Control and Comprehensive Key Management. In Proceedings of the 2014 IEEE International Conference on Multimedia and Expo (ICME), Chengdu, China, 14–18 July 2014. [Google Scholar]
- Zhou, L.; Chao, H.C. Multimedia Traffic Security Architecture for the Internet of Things. IEEE Netw. 2011, 25, 35–40. [Google Scholar] [CrossRef]
- Liu, A.X.; Chen, F.; Hwang, J.; Xie, T. XEngine: A Fast and Scalable XACML Policy Evaluation Engine. In Proceedings of the 2008 ACM SIGMETRICS International Conference on Measurement and Modeling of Computer Systems, SIGMETRICS 2008, Annapolis, MD, USA, 2–6 June 2008. [Google Scholar]
- Liu, A.X.; Chen, F.; Hwang, J.; Xie, T. Designing Fast and Scalable XACML Policy Evaluation Engines. IEEE Trans. Comput. 2011, 60, 1802–1817. [Google Scholar] [CrossRef]
- Ros, S.P.; Lischka, M.; Marmol, F.G. Graph-Based XACML Evaluation. In Proceedings of the 17th ACM symposium on Access Control Models and Technologies, SACMAT 2012, Newark, NJ, USA, 20–22 June 2012. [Google Scholar]
- Enterprise XACML Implementation. Available online: https://sourceforge.net/projects/java-xacml/ (accessed on 11 December 2019).
- Wang, Y.Z.; Feng, D.G.; Zhang, L.W.; Zhang, M. XACML Policy Evaluation Engine Based on Multi-Level Optimization Technology. J. Softw. 2011, 22, 323–328. [Google Scholar] [CrossRef]
- Niu, D.H.; Ma, J.F.; Ma, Z.; Li, C.N.; Wang, L. HPEngine: High performance XACML policy evaluation engine based on statistical analysis. J. Commun. 2014, 35, 206–215. [Google Scholar]
- Qi, Y.; Chen, J.; Li, Q.M. XACML Policy Optimization Method Based on Redundancy Elimination and Attribute Numericalization. Comput. Sci. 2016, 43, 163–168. [Google Scholar]
- eXtensible Access Control Markup Language (XACML) Version 3.0. Available online: http://docs.oasis-open.org/xacml/3.0/xacml-3.0-core-spec-os-en.html (accessed on 22 December 2019).
- Joshi, M.; Mittal, S.; Joshi, K.P.; Finin, T. Semantically Rich, Oblivious Access Control Using ABAC for Secure Cloud Storage. In Proceedings of the IEEE International Conference on Edge Computing (EDGE), Honolulu, HI, USA, 25–30 June 2017. [Google Scholar]
- Ed-Daibouni, M.; Lebbat, A.; Tallal, S.; Medromi, H. A Formal Specification Approach of Privacy-Aware Attribute Based Access Control (Pa-ABAC) Model for Cloud Computing. In Proceedings of the 2016 Third International Conference on Systems of Collaboration (SysCo), Casablanca, Morocco, 28–29 November 2016. [Google Scholar]









| SA_ role = {Guest, common member, VIP} |
| SA_ level = {L0, L1, L2, L3, L4, L5} |
| SA_ terminal = {TV, Web, PC, Mobile} |
| RA_ type = {6-minute plot, standard plot, no ad, no titles, and tail} |
| RA_ category = {movie, TV series, variety, animation} |
| RA_ quality = {smooth, SD, HD, BD} |
| OA_ type = {watch, upload, download} |
| EA_ network= {local connection, broadband connection} |
| Policy Description | Identifier |
|---|---|
| Guest can watch 6-minutes plot at any terminal other than the web | 10111010 |
| Common member can watch any standard plot in SD format on PC | 10110110 |
| L0 VIP users cannot download movies in BD format | 11001110 |
| VIP users can watch video without titles and tail of any quality | 10010010 |
| Retrieval Order | Each Depth Retrieval Number | Total Retrieval Number |
|---|---|---|
| A–B–C | 24 → 12 → 4 | 40 |
| A–C–B | 24 → 12 → 3 | 39 |
| B–A–C | 24 → 8 → 4 | 36 |
| B–C–A | 24 → 8 → 2 | 34 |
| C–A–B | 24 → 6 → 3 | 33 |
| C–B–A | 24 → 6 → 2 | 32 |
| Policy Complexity | Total Number of Mismatches | Average Number of Mismatches | Proportion |
|---|---|---|---|
| 150 | 278 | 55.6 | 37% |
| 200 | 318 | 63.6 | 31.80% |
| 250 | 286 | 57.2 | 22.90% |
| 300 | 266 | 53.2 | 17.70% |
| 350 | 168 | 33.6 | 9.60% |
© 2020 by the authors. Licensee MDPI, Basel, Switzerland. This article is an open access article distributed under the terms and conditions of the Creative Commons Attribution (CC BY) license (http://creativecommons.org/licenses/by/4.0/).
Share and Cite
Liu, M.; Yang, C.; Li, H.; Zhang, Y. An Efficient Attribute-Based Access Control (ABAC) Policy Retrieval Method Based on Attribute and Value Levels in Multimedia Networks. Sensors 2020, 20, 1741. https://doi.org/10.3390/s20061741
Liu M, Yang C, Li H, Zhang Y. An Efficient Attribute-Based Access Control (ABAC) Policy Retrieval Method Based on Attribute and Value Levels in Multimedia Networks. Sensors. 2020; 20(6):1741. https://doi.org/10.3390/s20061741
Chicago/Turabian StyleLiu, Meiping, Cheng Yang, Hao Li, and Yana Zhang. 2020. "An Efficient Attribute-Based Access Control (ABAC) Policy Retrieval Method Based on Attribute and Value Levels in Multimedia Networks" Sensors 20, no. 6: 1741. https://doi.org/10.3390/s20061741
APA StyleLiu, M., Yang, C., Li, H., & Zhang, Y. (2020). An Efficient Attribute-Based Access Control (ABAC) Policy Retrieval Method Based on Attribute and Value Levels in Multimedia Networks. Sensors, 20(6), 1741. https://doi.org/10.3390/s20061741

