Fast, Resource-Saving, and Anti-Collaborative Attack Trust Computing Scheme Based on Cross-Validation for Clustered Wireless Sensor Networks
Abstract
1. Introduction
1.1. Challenges and Motivations of This Work
- Most studies do not consider both computational speed and resource overhead issues of the trust computing scheme itself. The trust mechanism should be fast and save resources to serve a large number of resource-constrained nodes in terms of accuracy, calculation speed, storage overhead, and communication overhead [17,18,35]. Currently, many representative works have been proposed for clustering WSNs, such as the group-based trust computing mechanism (GTMS) [18], the belief-based trust evaluation mechanism (BTEM) [34], the trust and reputation scheme (ATRM) [36], the trust-based cluster head election mechanism (TCHEM) [37]. However, most of these studies do not simultaneously consider the computational speed and resource overhead issues of the trust computing scheme itself. Most of these studies use complex trust calculation algorithms at each CM or CH, which will greatly affect the applicability of the trust model.
- Most studies do not consider the anti-collaborative attack ability of the trust computing scheme itself. The malicious nodes may cooperate to provide false feedback information to attack the trust computing system. The anti-collaborative attack ability of the trust computing scheme should have the ability to identify cooperative attacks. WSNs are usually deployed in insecure and highly complex network environments, and nodes may be attacked and cooperatively spoofed. Furthermore, an attacker can disrupt communication or spread misleading sensor values through sensor nodes that have been compromised. In the traditional WSN trust mechanism, the trust system collects remote feedback and then aggregates such feedback to generate a global trust for the node, which can be used to evaluate the overall trust of the node (such as TCHEM [37] and HTMP [34]). There are a large number of malicious nodes in an open or hostile WSN environment. The ratings of these malicious nodes may produce erroneous results. Organized cooperative attacks are the most important threat to trust mechanisms in WSNs [10,12,18]. However, most previous studies lacked consideration of malicious cooperative attacks, which severely affected the security, availability, and reliability of the system.
1.2. Main Idea and Contributions
- A cross-validation trust aggregating mechanism, which has anti-collaborative attack ability against garnished and collaborative attacks caused by malicious nodes. In the proposed cross-validation trust aggregating mechanism, feedback not only comes from CMs, but also from CHs and BSs. The feedback information from multiple sources confirms each and constitutes a cross-validation mechanism. Such CM-level trust computing, with three trust factors, including CM-to-CM direct trust, CM-to-CM feedback, and CH-to-CM feedback, constitutes a cross-validation relationship. For CH-level trust computing, three trust factors, CH-to-CH direct trust, CH-to-CH feedback, and BS-to-CH feedback, also constitute a cross-validation relationship. This cross-validation mechanism can effectively reduce the risk of the system, while improving system reliability and security. We investigated representative trust schemes in clustered WSNs, such as LDTS [10], GTMS [18], DST [19], BTEM [34], ATRM [36], and TCHEM [37]. We found that many of these studies lacked considerations of the anti-collaborative attack ability of the trust scheme itself. We extended the traditional trust schemes in clustered WSNs and proposed a cross-validation trust mechanism based on multiple trust factors, which has a stronger anti-collaborative attack ability against collaborative attacks compared with existing trust mechanisms.
- A fast and resource-saving trust computing scheme for cooperation between CMs or between CHs, which is suitable for resource-constrained WSNs. The computational speed and resource-saving of a trust system are the most fundamental requirements for resource-constrained WSNs. However, most of these studies (such as LDTS [10], GTMS [18], DST [19], BTEM [34], ATRM [36], and TCHEM [37]) failed to consider the resource efficiency issue of the trust computing scheme itself. In this study, the number of successful transmissions was considered as the key credential to determine the trustworthiness of a node. We adopted fast algorithms and a resource-saving mechanism to compute the trust value between nodes, which was suitable for resource-constrained WSNs with large-scale nodes.
2. Related Work
3. Cross-Validation Mechanism for Trust Computing
3.1. Three-Tier Network Architecture Model
3.2. Formal Definitions of Trust Based on Cross-Validation
- First, three trust factors constitute a cross-validation relationship in the CM-level (or CH-level) trust computing. For CM-level trust computing, three trust factors, including CM-to-CM direct trust, CM-to-CM feedback, and CH-to-CM feedback, constitute a cross-validation relationship. For CH-level trust computing, three trust factors, CH-to-CH direct trust, CH-to-CH feedback, and BS-to-CH feedback, also constitute a cross-validation relationship. Different from the previous trust computing methods, in the proposed trust mechanism, feedback not only comes from CMs, but also from CHs and BSs. This cross-validation mechanism can effectively reduce the risk of the system, while improving system reliability and security.
- Second, relying on the theory of standard deviation analysis [39,40], we used an aggregating method for the overall trust degree in which three trust factors were further cross-validated with one another. In statistics, deviation analysis refers to the absolute difference between any number in a set and the mean of the set [40]. Different from traditional methods, our mechanism based on the theory of deviation analysis is a cross-validated trust calculation mechanism based on multiple trust factors (in CM-level trust computing, including CM-to-CM direct trust, CM-to-CM feedback, and CH-to-CM feedback; in CH-level trust computing, including CH-to-CH direct trust, CH-to-CH feedback, and BS-to-CH feedback). The trust factor with a larger deviation compared with the other two values is eliminated from the overall trust aggregation process. At the same time, this removal solves the adaptive aggregation problem caused by malicious nodes (malicious CMs or CHs).
3.3. Attack Pattern Analysis in the FRAT Scheme
4. Trust and Feedback Calculation in FRAT
4.1. CM-to-CM Overall Trust Calculation
4.2. CH-to-CH Overall Trust Calculation
5. Performance Analysis
5.1. Time Complexity Analysis
5.2. Communication Overhead Analysis
5.3. Anti-Collaborative Attack Ability Analysis
6. Experiment-Based Analysis and Evaluation
6.1. Experimental Methods and Parameters
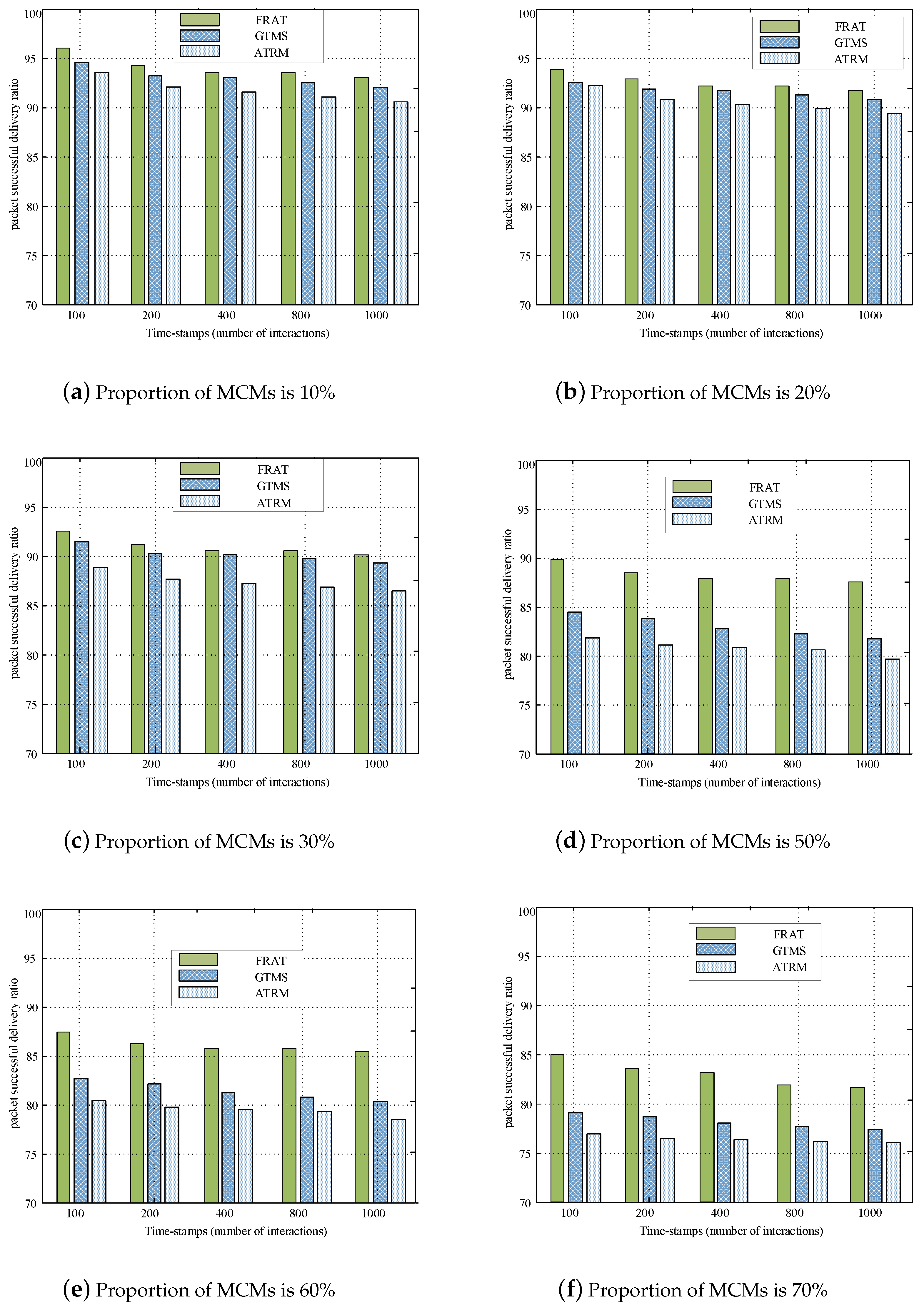
6.2. Evaluation under Different MCMs
6.3. Evaluation under Different MCHs
6.4. Overhead Evaluation
7. Conclusions
- In a real deployment, nodes leave/join different clusters. Thus, future work can consider designing a scheme with node mobility.
- The proposed cross-validation mechanism was designed for clustered WSN. How to extend this mechanism to a flat WSN is another important direction.
Author Contributions
Funding
Acknowledgments
Conflicts of Interest
References
- Iyengar, S.S.; Brooks, R.R. (Eds.) Distributed Sensor Networks: Sensor Networking and Applications; CRC Press: Boca Raton, FL, USA, 2016. [Google Scholar]
- Kobo, H.I.; Abu-Mahfouz, A.M.; Hancke, G.P. Fragmentation-Based Distributed Control System for Software-Defined Wireless Sensor Networks. IEEE Trans. Ind. Inform. 2019, 15, 901–910. [Google Scholar] [CrossRef]
- Wu, M.; Tan, L.; Xiong, N. Data prediction, compression, and recovery in clustered wireless sensor networks for environmental monitoring applications. Inf. Sci. 2016, 329, 800–818. [Google Scholar] [CrossRef]
- Tian, Z.; Gao, X.; Su, S.; Qiu, J. Vcash: A Novel Reputation Framework for Identifying Denial of Traffic Service in Internet of Connected Vehicles. IEEE Internet Things J. 2020. [Google Scholar] [CrossRef]
- Wu, L.; Du, X.; Wang, W.; Lin, B. An Out-of-band Authentication Scheme for Internet of Things Using Blockchain Technology. In Proceedings of the IEEE ICNC 2018, Maui, HI, USA, 5–8 March 2018. [Google Scholar]
- Kumar, D.; Aseri, T.C.; Patel, R.B. EEHC: Energy efficient heterogeneous clustered scheme for wireless sensor networks. Comput. Commun. 2009, 32, 662–667. [Google Scholar] [CrossRef]
- Jin, Y.; Vural, S.; Moessner, K.; Tafazolli, R. An Energy-Efficient Clustering Solution for Wireless Sensor Networks. IEEE Trans. Wirel. Commun. 2011, 10, 3973–3983. [Google Scholar]
- Younis, O.; Fahmy, S. HEED: A Hybrid, Energy-Efficient, Distributed Clustering Approach for Ad-Hoc Sensor Networks. IEEE Trans. Mob. Comput. 2004, 3, 366–379. [Google Scholar] [CrossRef]
- Mali, G.; Misra, S. TRAST: Trust-based distributed topology management for wireless multimedia sensor networks. IEEE Trans. Comput. 2016, 65, 1978–1991. [Google Scholar] [CrossRef]
- Li, X.; Zhou, F.; Du, J. LDTS: A Lightweight and Dependable Trust System for Clustered Wireless Sensor Networks. IEEE Trans. Inf. Forensics Secur. 2013, 8, 924–935. [Google Scholar] [CrossRef]
- Lu, H.; Li, J.; Guizani, M. Secure and efficient data transmission for cluster-based wireless sensor networks. IEEE Trans. Parallel Distrib. Syst. 2014, 25, 750–761. [Google Scholar]
- Desai, S.S.; Nene, M.J. Node-Level Trust Evaluation in Wireless Sensor Networks. IEEE Trans. Inf. Forensics Secur. 2019, 14, 2139–2152. [Google Scholar] [CrossRef]
- Qiu, J.; Du, L.; Zhang, D.; Su, S.; Tian, Z. Nei-TTE: Intelligent Traffic Time Estimation Based on Fine-grained Time Derivation of Road Segments for Smart City. IEEE Trans. Ind. Inform. 2019, 16, 2659–2666. [Google Scholar] [CrossRef]
- Tian, Z.; Luo, C.; Qiu, J.; Du, X.; Guizani, M. A Distributed Deep Learning System for Web Attack Detection on Edge Devices. IEEE Trans. Ind. Inform. 2019, 16, 1963–1971. [Google Scholar] [CrossRef]
- Xiao, L.; Wan, X.; Dai, C.; Du, X.; Chen, X.; Guizani, M. Security in mobile edge caching with reinforcement learning. IEEE Wirel. Commun. 2018, 25, 116–122. [Google Scholar] [CrossRef]
- Sun, Y.; Han, Z.; Liu, K.J.R. Defense of Trust Management Vulnerabilities in Distributed Networks. IEEE Commun. Mag. 2009, 46, 112–119. [Google Scholar] [CrossRef]
- Yu, H.; Shen, Z.; Miao, C.; Leung, C.; Niyato, D. A Survey of Trust and Reputation Management Systems in Wireless Communications. Proc. IEEE 2010, 98, 1752–1754. [Google Scholar] [CrossRef]
- Shaikh, R.A.; Jameel, H.; d’Auriol, B.J.; Lee, H.; Lee, S. Group-Based Trust Management Scheme for Clustered Wireless Sensor Networks. IEEE Trans. Parallel Distrib. Syst. 2009, 20, 1698–1712. [Google Scholar] [CrossRef]
- Reddy, V.B.; Negi, A.; Venkataraman, S. Communication and Data Trust for Wireless Sensor Networks using DS Theory. IEEE Sens. J. 2017, 7, 3921–3929. [Google Scholar] [CrossRef]
- Ren, Y.; Zadorozhny, V.I.; Oleshchuk, V.A.; Li, F.Y. A novel approach to trust management in unattended wireless sensor networks. IEEE Trans. Mob. Comput. 2014, 13, 1409–1423. [Google Scholar] [CrossRef]
- Yin, L.; Luo, X.; Zhu, C.; Wang, L.; Xu, Z.; Lu, H. ConnSpoiler: Disrupting C&C Communication of IoT-Based Botnet through Fast Detection of Anomalous Domain Queries. IEEE Trans. Ind. Inform. 2019. [Google Scholar] [CrossRef]
- Shen, M.; Ma, B.; Zhu, L.; Mijumbi, R.; Du, X.; Hu, J. Cloud-Based Approximate Constrained Shortest Distance Queries over Encrypted Graphs with Privacy Protection. IEEE Trans. Inf. Forensics Secur. 2018, 13, 940–953. [Google Scholar] [CrossRef]
- Tian, Z.; Shi, W.; Wang, Y.; Zhu, C.; Du, X.; Su, S.; Sun, Y.; Guizani, N. Real Time Lateral Movement Detection based on Evidence Reasoning Network for Edge Computing Environment. IEEE Trans. Ind. Inform. 2019, 15, 4285–4294. [Google Scholar] [CrossRef]
- Xiao, L.; Li, Y.; Huang, X.; Du, X. Cloud-based Malware Detection Game for Mobile Devices with Offloading. IEEE Trans. Mob. Comput. 2017, 16, 2742–2750. [Google Scholar] [CrossRef]
- Dong, P.; Du, X.; Zhang, H.; Xu, T. A Detection Method for a Novel DDoS Attack against SDN Controllers by Vast New Low-Traffic Flows. In Proceedings of the IEEE ICC 2016, Kuala Lumpur, Malaysia, 22–27 May 2016. [Google Scholar]
- Fernández-Gago, M.C.; Roman, R.; Lopez, J. A survey on the applicability of trust management systems for wireless sensor networks. In Proceedings of the Third International Workshop on Security, Privacy and Trust in Pervasive and Ubiquitous Computing, Istanbul, Turkey, 19 July 2007; pp. 25–30. [Google Scholar]
- Li, X.; Zhou, F.; Yang, X. Scalable Feedback Aggregating (SFA) Overlay for Large-Scale P2P Trust Management. IEEE Trans. Parallel Distrib. Syst. 2012, 23, 1944–1957. [Google Scholar] [CrossRef]
- Li, X.; Ma, H.; Zhou, F.; Gui, X. Data-driven and Feedback-Enhanced Trust Computing Pattern for Large-scale Multi-Cloud Collaborative Services. IEEE Trans. Serv. Comput. 2018, 11, 671–684. [Google Scholar] [CrossRef]
- Li, X.; Ma, H.; Zhou, F.; Gui, X. Service Operator-aware Trust Scheme for Resource Matchmaking across Multiple Clouds. IEEE Trans. Parallel Distrib. Syst. 2015, 26, 1419–1429. [Google Scholar] [CrossRef]
- Li, X.; Ma, H.; Zhou, F.; Yao, W. T-broker: A Trust-aware Service Brokering Scheme for Multiple Cloud Collaborative Services. IEEE Trans. Inf. Forensics Secur. 2015, 10, 1402–1415. [Google Scholar] [CrossRef]
- Yuan, J.; Li, X. A Reliable and Lightweight Trust Computing Mechanism for IoT Edge Devices Based on Multi-Source Feedback Information Fusion. IEEE Access 2018, 6, 23626–23638. [Google Scholar] [CrossRef]
- Yu, H.; Shen, Z.; Miao, C.; An, B. Challenges and opportunities for trust management in crowdsourcing. In Proceedings of the 2012 IEEE/WIC/ACM International Joint Conferences on Web Intelligence and Intelligent Agent Technology, Macau, China, 4–7 December 2012; pp. 486–493. [Google Scholar]
- Dragoni, N. A Survey on Trust-Based Web Service Provision Approaches. In Proceedings of the 2010 Third International Conference on Dependability, Venice, Italy, 18–25 July 2010; pp. 83–99. [Google Scholar]
- Anwar, R.W.; Zainal, A.; Outay, F.; Yasar, A.; Iqbal, S. BTEM: Belief based trust evaluvation mechanism for Wireless Sensor Networks. Future Gener. Comput. Syst. 2019, 96, 605–616. [Google Scholar] [CrossRef]
- Zhan, G.; Shi, W.; Deng, J. Design and Implementation of TARF: A Trust-Aware Routing Framework for WSNs. IEEE Trans. Depend. Secure Comput. 2012, 9, 184–197. [Google Scholar] [CrossRef]
- Boukerche, A.; Li, X.; L-Khatib, K.E. Trust-Based Security for Wireless Ad Hoc and Sensor Networks. Comput. Commun. 2007, 30, 2413–2427. [Google Scholar] [CrossRef]
- Crosby, G.V.; Pissinou, N.; Gadze, J. A framework for trust-based cluster head election in wireless sensor networks. In Proceedings of the Second IEEE Workshop on Dependability and Security in Sensor Networks and Systems, Columbia, MD, USA, 24–28 April 2006; pp. 10–22. [Google Scholar]
- Li, X.; Du, J. An Adaptive and Attribute-based Trust Model for SLA Guarantee in Cloud Computing. IET Inf. Secur. 2013, 7, 39–50. [Google Scholar] [CrossRef]
- Liu, C.; Li, X.; Sun, M.; Gao, Y.; Duan, S. Bi-TCCS: Trustworthy Cloud Collaboration Service Scheme Based on Bilateral Social Feedback. IEEE Trans. Cloud Comput. 2020. [Google Scholar] [CrossRef]
- Deviation Analysis. Available online: https://en.wikipedia.org/wiki/ (accessed on 10 March 2017).
- Yu, Y.; Li, K.; Zhou, W.; Li, P. Trust mechanisms in wireless sensor networks: Attack analysis and countermeasures. J. Netw. Comput. Appl. 2012, 35, 867–880. [Google Scholar] [CrossRef]
- Whitby, A.; Jang, A.; Indulska, J. Filtering out unfair ratings in bayesian reputation systems. In Proceedings of the 7th International Workshop on Trust in Agent Societies, Autonomous Agents and Multi Agent Systems, New York, NY, USA, 19–23 August 2004; pp. 106–117. [Google Scholar]
- Guerrero, D.A.; Jimenez, R.M.; Rodriguez-Colina, E. WSN simulation model with a complex systems approach. In Proceedings of the 2013 Summer Computer Simulation Conference, Society for Modeling & Simulation International, Toronto, ON, Canada, 7–10 July 2013; p. 41. [Google Scholar]
- Abo-Zahhad, M.; Amin, O.; Farrag, M.; Ali, A. A survey on protocols, platforms and simulation tools for wireless sensor networks. Int. J. Energy Inf. Commun. 2014, 5, 17–34. [Google Scholar] [CrossRef]
- Batool, K.; Niazi, M.A.; Sadik, S.; Shakil, A.R. Towards modeling complex wireless sensor networks using agents and networks: A systematic approach. In Proceedings of the TENCON 2014 IEEE Region 10 Conference, Bangkok, Thailand, 22–25 October 2014; pp. 1–6. [Google Scholar]









| Model | Clustered WSNs | Cross-Validation | Resource-Saving | Anti-Collaborative Attack | Trust Evaluation Approach |
|---|---|---|---|---|---|
| Desai model [12] | No | No | No | No | Subjective |
| Shaikh model [18] | Yes | No | Yes | No | Subjective |
| Raja model [34] | No | No | No | Yes | Subjective |
| Crosby model [37] | Yes | No | Yes | No | Subjective |
| Boukerche model [36] | No | No | Yes | No | Subjective |
| Zhan model [35] | No | No | No | No | Subjective |
| Li model [10] | Yes | No | Yes | No | Adaptive |
| FRAT in this paper | Yes | Yes | Yes | Yes | Adaptive |
| Symbol | Description | Possible Values |
|---|---|---|
| total number of CMs | 1000–10,000 | |
| I | number of CMs in a cluster | 100 |
| J | total number of CHs | 100–1000 |
| K | total number of BSs | 10 |
| t | time-step of simulation runs | 1000 |
| time-window for trust computing | 20 | |
| percentage of HCMs | 30–100% | |
| percentage of HCHs | 50–100% | |
| penalty factor | 2 |
| Communication Overhead | |
|---|---|
| FRAT | |
| GTMS | |
| ATRM | |
| UWSN |
© 2020 by the authors. Licensee MDPI, Basel, Switzerland. This article is an open access article distributed under the terms and conditions of the Creative Commons Attribution (CC BY) license (http://creativecommons.org/licenses/by/4.0/).
Share and Cite
Liu, C.; Li, X. Fast, Resource-Saving, and Anti-Collaborative Attack Trust Computing Scheme Based on Cross-Validation for Clustered Wireless Sensor Networks. Sensors 2020, 20, 1592. https://doi.org/10.3390/s20061592
Liu C, Li X. Fast, Resource-Saving, and Anti-Collaborative Attack Trust Computing Scheme Based on Cross-Validation for Clustered Wireless Sensor Networks. Sensors. 2020; 20(6):1592. https://doi.org/10.3390/s20061592
Chicago/Turabian StyleLiu, Chuanyi, and Xiaoyong Li. 2020. "Fast, Resource-Saving, and Anti-Collaborative Attack Trust Computing Scheme Based on Cross-Validation for Clustered Wireless Sensor Networks" Sensors 20, no. 6: 1592. https://doi.org/10.3390/s20061592
APA StyleLiu, C., & Li, X. (2020). Fast, Resource-Saving, and Anti-Collaborative Attack Trust Computing Scheme Based on Cross-Validation for Clustered Wireless Sensor Networks. Sensors, 20(6), 1592. https://doi.org/10.3390/s20061592
