Sensor Failure Detection in Ambient Assisted Living Using Association Rule Mining
Abstract
1. Introduction
2. Related Work
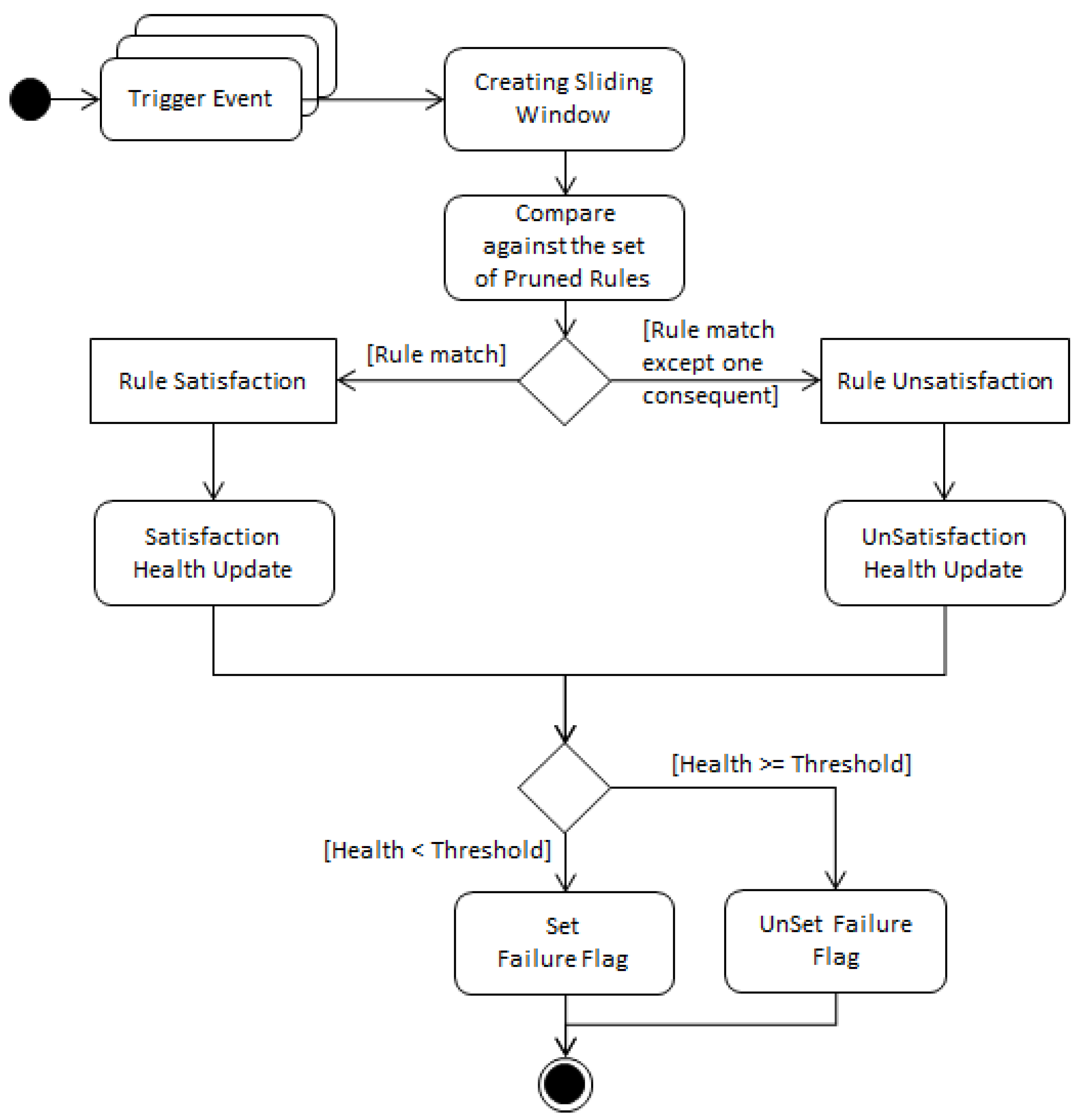
3. Sensor Failure Detection and Isolation System
3.1. Sensor Correlations Extraction
3.1.1. Data Preprocessing
3.1.2. Extracting Correlations
3.1.3. Post-Pruning of Correlations
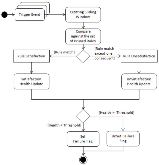
3.2. Sensor Correlations Monitoring
4. Experimental Work and Results
4.1. Dataset
4.2. Evaluation Method
4.3. Parameters of the Correlations Extraction
4.3.1. Parameter Effect
4.3.2. Setting Parameters
- First, extract the association rules for various combinations of values from wide range of sliding window size, minimum relative support and confidence > = 50%, while maintaining a single preliminary threshold value, using the training dataset.
- Then, sort the combinations of parameters according to the total number of sensors in consequent part of their extracted rules in descending order.
- Select the top-most set of parameters, which produces rules with the highest number of consequent sensors, then prune this set of rules as illustrated in Section 3.1.3.
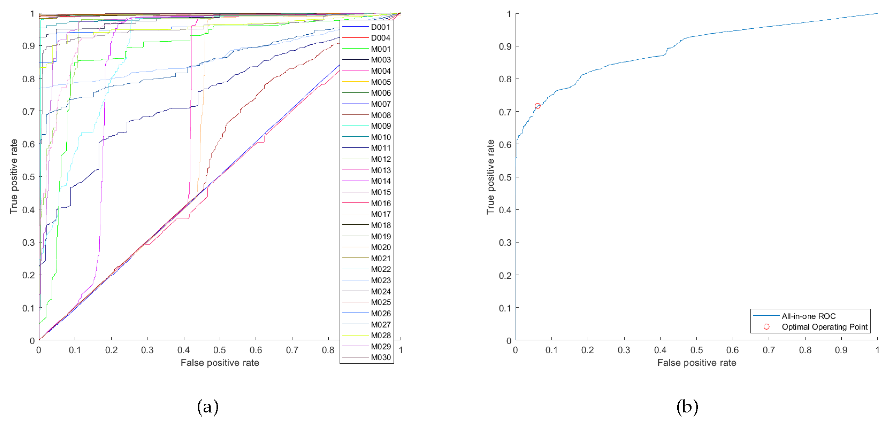
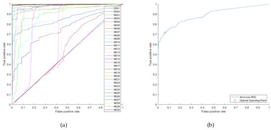
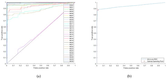
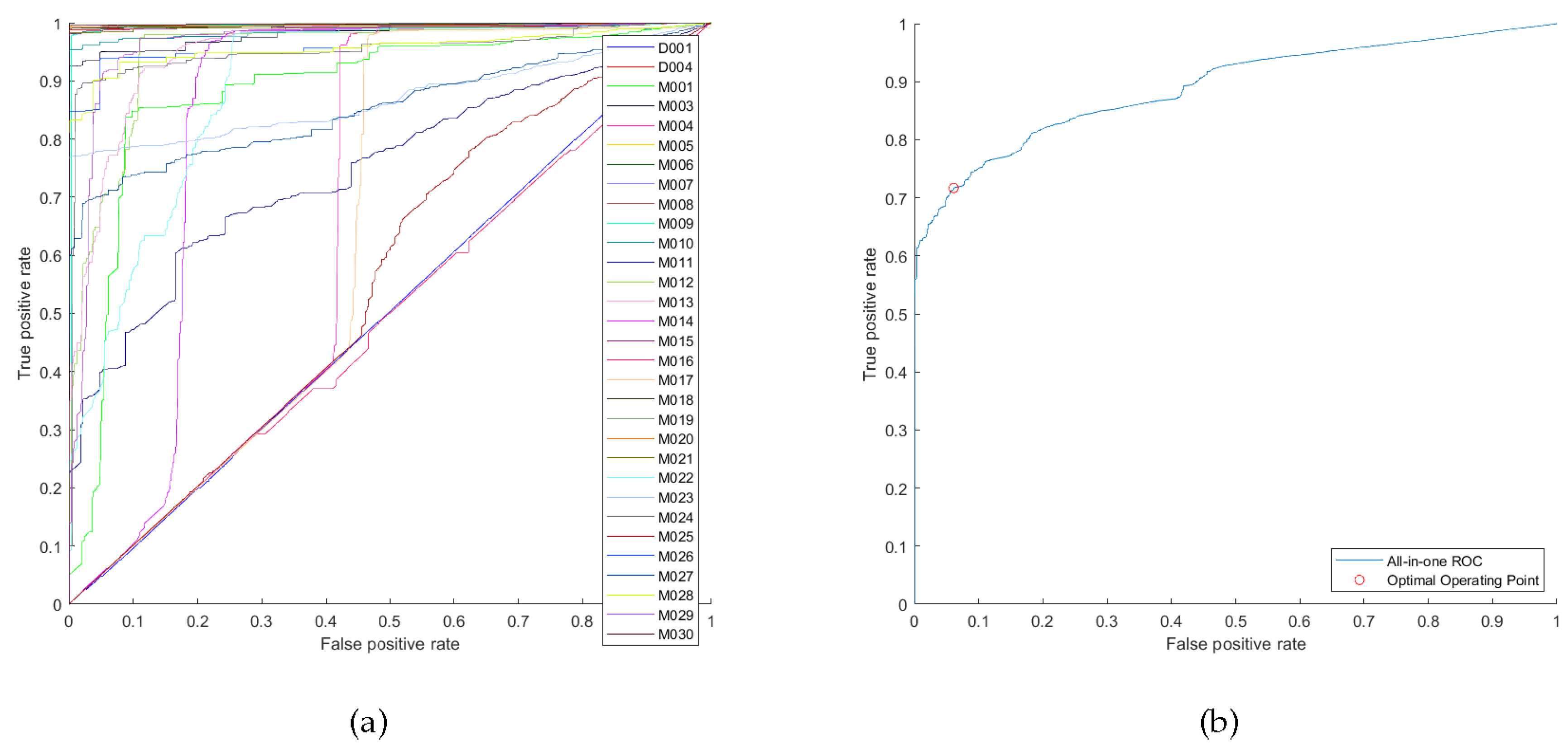
- Use the pruned rules to detect failure when each of the consequent sensors is injected with fail-stop failure in the thresholds setting dataset. Afterwards, plot the all-in-one ROC curve of failure detection, that is plotted with aggregating all the sensor failure cases. Furthermore, plot the individual ROC curves of failure detection when each sensor has failed to have more insights about the performance.
- Find the optimal operating point and the AUC of the all-in-one ROC curve.
- If the all-in-one ROC curve shows poor performance, i.e., optimal TPR is low (<0.8), optimal FPR is high (>0.02) and AUC is low (<0.9), then delete this set of parameters entry from the sorted combinations and repeat Steps 3–6 with the next highest number of consequent sensors. Otherwise, the selection process of parameters is done successfully, recording the corresponding sliding window size, minimum relative support and minimum confidence.
- Record the health threshold value that corresponds to the optimal operating point of the all-in-one ROC curve.
4.4. Experiments
4.4.1. Fail-Stop Failure
4.4.2. Obstructed-View Failure
4.4.3. Moved-Location Failure
5. Discussion
6. Conclusions
Author Contributions
Funding
Acknowledgments
Conflicts of Interest
Abbreviations
| AAL | Ambient assisted living | 
| ICT | Information and communication technologies | 
| AmI | Ambient intelligence | 
| ADL | Activities of daily living | 
| PIR | Passive infrared sensor | 
| TP | True positives | 
| FN | False negatives | 
| FP | False positives | 
| TN | True negatives | 
| ROC | Receiver operating characteristic | 
| AUC | Area under curve | 
| TPR | True positive rate | 
| FPR | False positive rate | 
Appendix A
| Algorithm A1 Failure detection. | 
| Input: | 
| DataStream: the stream of the AAL sensors events | 
| Sen: the set of sensors represented by tuples {(, , )}, where is the sensor’s id | 
| number, is the health status of sensor, and is the failure flag of sensor | 
| R: the set of rules represented by tuples {(, , , )}, where contains the sensors | 
| in the rule antescedent, contains the sensors in the rule consequent, is the support of | 
| rule, and is the rule’s confidence | 
| : the set of rules that were satisfied in the previous sliding window , where | 
| is the sliding window’s running number | 
| : the set of rules that were unsatisfied, i.e., has one missing sensor in the rule | 
| consequent, in the previous sliding window | 
| : the set of sensors that are active in the next sliding window | 
| : the threshold value for the health status of sensors | 
| Output: | 
| : updated and of the set of sensors | 
| 1: while ProcessSW() do | 
| 2: // is the set of active sensors in the current sliding window | 
| 3: for each do | 
| 4: if then | 
| 5: SatisfHealthUpdate(, , ) | 
| 6: | 
| 7: else if then | 
| 8: if then | 
| 9: if then | 
| 10: UnSatisfHealthUpdate(,,) | 
| 11: end if | 
| 12: | 
| 13: end if | 
| 14: end if | 
| 15: end for | 
| 16: for each do | 
| 17: if then | 
| 18: | 
| 19: else | 
| 20: | 
| 21: end if | 
| 22: end for | 
| 23: end while | 
| Algorithm A2 Health Status Update due to Rule Satisfaction. | 
| 
 | 
| Algorithm A3 Health Status Update due to Rule UnSatisfaction. | 
| 
 | 
References
- Nations, U. World Population Ageing; Technical Report; Department of Economic and Social Affairs, Population Division: New York City, NY, USA, 2019. [Google Scholar]
- Rashidi, P.; Mihailidis, A. A Survey on Ambient-Assisted Living Tools for Older Adults. IEEE J. Biomed. Health Inform. 2013, 17, 579–590. [Google Scholar] [CrossRef] [PubMed]
- Monekosso, D.; Florez-Revuelta, F.; Remagnino, P. Ambient Assisted Living [Guest editors’ introduction]. IEEE Intell. Syst. 2015, 30, 2–6. [Google Scholar] [CrossRef]
- Dobre, C.; Mavromoustakis, C.X.; Garcia, N.M.; Mastorakis, G.; Goleva, R.I. Introduction to the AAL and ELE Systems. In Ambient Assisted Living and Enhanced Living Environments; Butterworth-heinemann: Oxford, UK, 2017; pp. 1–16. [Google Scholar]
- Viard, K.; Fanti, M.P.; Faraut, G.; Lesage, J.J. An event-based approach for discovering activities of daily living by hidden Markov models. In Proceedings of the 2016 15th International Conference on Ubiquitous Computing and Communications and 2016 International Symposium on Cyberspace and Security (IUCC-CSS), Granada, Spain, 14–16 December 2016; pp. 85–92. [Google Scholar]
- Kapitanova, K.; Hoque, E.; Stankovic, J.A.; Whitehouse, K.; Son, S.H. Being SMART about failures: Assessing repairs in SMART homes. In Proceedings of the 2012 ACM Conference on Ubiquitous Computing, Pittsburgh, PA, USA, 5–8 September 2012; pp. 51–60. [Google Scholar]
- Rahal, Y.; Pigot, H.; Mabilleau, P. Location Estimation in a Smart Home: System Implementation and Evaluation Using Experimental Data. Int. J. Telemed. Appl. 2008, 2008, 142803. [Google Scholar] [CrossRef] [PubMed][Green Version]
- Feng, Z.; Fu, J.Q.; Wang, Y. Weighted distributed fault detection for wireless sensor networks Based on the distance. In Proceedings of the 33rd Chinese Control Conference, Nanjing, China, 28–30 July 2014; pp. 322–326. [Google Scholar]
- Fan, C.; Tan, J. A majority voting scheme in wireless sensor networks for detecting suspicious node. In Proceedings of the 2009 Second International Symposium on Electronic Commerce and Security, Nanchang, China, 22–24 May 2009; Volume 2, pp. 495–498. [Google Scholar]
- Nguyen, T.A.; Bucur, D.; Aiello, M.; Tei, K. Applying time series analysis and neighbourhood voting in a decentralised approach for fault detection and classification in WSNs. In Proceedings of the Fourth Symposium on Information and Communication Technology, Da Nang, Vietnam, 5–6 December 2013; pp. 234–241. [Google Scholar]
- ElHady, N.E.; Provost, J. A Systematic Survey on Sensor Failure Detection and Fault-Tolerance in Ambient Assisted Living. Sensors 2018, 18, 1991. [Google Scholar] [CrossRef]
- Ballardini, A.L.; Ferretti, L.; Fontana, S.; Furlan, A.; Sorrenti, D.G. An indoor localization system for telehomecare applications. IEEE Trans. Syst. Man Cybern. Syst. 2016, 46, 1445–1455. [Google Scholar] [CrossRef]
- Ahvar, E.; Lee, G.M.; Han, S.N.; Crespi, N.; Khan, I. Sensor network-based and user-friendly user location discovery for future smart homes. Sensors 2016, 16, 969. [Google Scholar] [CrossRef] [PubMed]
- Mckeever, S.; Ye, J.; Coyle, L.; Bleakley, C.; Dobson, S. Activity recognition using temporal evidence theory. J. Ambient. Intell. Smart Environ. 2010, 2, 253–269. [Google Scholar] [CrossRef]
- Javadi, E.; Moshiri, B.; Yazdi, H.S. Activity Recognition In Smart Home Using Weighted Dempster-Shafer Theory. Int. J. Smart Home 2013, 7, 23–34. [Google Scholar] [CrossRef]
- Amri, M.H.; Aubry, D.; Becis, Y.; Ramdani, N. Robust fault detection and isolation applied to indoor localization. IFAC-PapersOnLine 2015, 48, 440–445. [Google Scholar] [CrossRef]
- Danancher, M. A Discrete Event Approach for Model-Based Location Tracking of Inhabitants in Smart Homes. Ph.D. Thesis, École Normale Supérieure de Cachan-ENS Cachan, Cachan, France, 2013. [Google Scholar]
- Veronese, F.; Pour, D.S.; Comai, S.; Matteucci, M.; Salice, F. Method, Design and Implementation of a Self-checking Indoor Localization System. In International Workshop on Ambient Assisted Living; Springer: Berlin, Germany, 2014; pp. 187–194. [Google Scholar]
- Veronese, F.; Comai, S.; Matteucci, M.; Salice, F. Method, design and implementation of a multiuser indoor localization system with concurrent fault detection. In Proceedings of the 11th International Conference on Mobile and Ubiquitous Systems: Computing, Networking and Services, ICST (Institute for Computer Sciences, Social-Informatics and Telecommunications Engineering), London, UK, 2–5 December 2014; pp. 100–109. [Google Scholar]
- Mohamed, A.; Jacquet, C.; Bellik, Y. A fault detection and diagnosis framework for ambient intelligent systems. In Proceedings of the Ubiquitous Intelligence & Computing and 9th International Conference on Autonomic & Trusted Computing (UIC/ATC), Fukuoka, Japan, 4–7 September 2012; pp. 394–401. [Google Scholar]
- Jacquet, C.; Mohamed, A.; Bellik, Y. An ambient assisted living framework with automatic self-diagnosis. Int. J. Adv. Life Sci. 2013, 5, 10. [Google Scholar]
- Oliveira, C.H.S.; Giroux, S.; Ngankam, H.; Pigot, H. Generating Bayesian Network Structures for Self-diagnosis of Sensor Networks in the Context of Ambient Assisted Living for Aging Well. In Proceedings of the International Conference on Smart Homes and Health Telematics, Paris, France, 29–31 August 2017; pp. 198–210. [Google Scholar]
- Munir, S.; Stankovic, J.A. Failuresense: Detecting sensor failure using electrical appliances in the home. In Proceedings of the Mobile Ad Hoc and Sensor Systems (MASS), Philadelphia, PA, USA, 28–30 October 2014; pp. 73–81. [Google Scholar]
- Kodeswaran, P.A.; Kokku, R.; Sen, S.; Srivatsa, M. Idea: A system for efficient failure management in smart iot environments. In Proceedings of the 14th Annual International Conference on Mobile Systems, Applications, and Services, Singapore, 25–30 June 2016; pp. 43–56. [Google Scholar]
- Ye, J.; Stevenson, G.; Dobson, S. Using temporal correlation and time series to detect missing activity-driven sensor events. In Proceedings of the Pervasive Computing and Communication Workshops (PerCom Workshops), St. Louis, MO, USA, 23–27 March 2015; pp. 44–49. [Google Scholar]
- Ye, J.; Stevenson, G.; Dobson, S. Fault detection for binary sensors in smart home environments. In Proceedings of the Pervasive Computing and Communications (PerCom), St. Louis, MO, USA, 23–27 March 2015; pp. 20–28. [Google Scholar]
- Ye, J.; Stevenson, G.; Dobson, S. Detecting abnormal events on binary sensors in smart home environments. Pervasive Mob. Comput. 2016, 33, 32–49. [Google Scholar] [CrossRef]
- Kapitanova, K.; Hoque, E.; Stankovic, J.A.; Son, S.H.; Whitehouse, K.; Alessandrelli, D. Being SMART About Failures: Assessing Repairs in Activity Detection. 2011. Available online: https://www.semanticscholar.org/paper/Being-SMART-About-Failures-%3A-Assessing-Repairs-in-Kapitanova-Hoque/f05968403b88738e869a360ca3910bebad5218b4#citing-papers (accessed on 19 August 2020).
- Choi, J.; Jeoung, H.; Kim, J.; Ko, Y.; Jung, W.; Kim, H.; Kim, J. Detecting and identifying faulty IoT devices in smart home with context extraction. In Proceedings of the 2018 48th Annual IEEE/IFIP International Conference on Dependable Systems and Networks (DSN), Luxembourg, 25–28 June 2018; pp. 610–621. [Google Scholar]
- Agrawal, R.; Imieliński, T.; Swami, A. Mining Association Rules between Sets of Items in Large Databases; Acm Sigmod Record; ACM: New York, NY, USA, 1993; Volume 22, pp. 207–216. [Google Scholar]
- Yairi, T.; Kato, Y.; Hori, K. Fault detection by mining association rules from house-keeping data. In Proceedings of the International Symposium on Artificial Intelligence, Robotics and Automation in Space, Montréal, QC, Canada, 18–22 June 2001; Volume 3. [Google Scholar]
- Hou, Z.; Lian, Z.; Yao, Y.; Yuan, X. Data mining based sensor fault diagnosis and validation for building air conditioning system. Energy Convers. Manag. 2006, 47, 2479–2490. [Google Scholar] [CrossRef]
- Liu, J.; Shi, D.; Li, G.; Xie, Y.; Li, K.; Liu, B.; Ru, Z. Data-driven and association rule mining-based fault diagnosis and action mechanism analysis for building chillers. Energy Build. 2020, 216, 109957. [Google Scholar] [CrossRef]
- Agarwal, R.; Srikant, R. Fast algorithms for mining association rules. In Proceedings of the 20th VLDB Conference, Santiago de Chile, Chile, 12–15 September 1994; pp. 487–499. [Google Scholar]
- Jacquenet, F.; Largeron, C.; Udréa, C. Efficient management of non redundant rules in large pattern bases: Bitmap approach. In Proceedings of the Eighth International Conference on Enterprise Information Systems: Databases and Information Systems Integration, Paphos, Cyprus, 23–27 May 2006; pp. 208–215. [Google Scholar]
- CASAS Datasets. Available online: http://ailab.wsu.edu/casas/datasets/ (accessed on 19 August 2020).











| Publisher’s Note: MDPI stays neutral with regard to jurisdictional claims in published maps and institutional affiliations. | 
© 2020 by the authors. Licensee MDPI, Basel, Switzerland. This article is an open access article distributed under the terms and conditions of the Creative Commons Attribution (CC BY) license (http://creativecommons.org/licenses/by/4.0/).
Share and Cite
ElHady, N.E.; Jonas, S.; Provost, J.; Senner, V. Sensor Failure Detection in Ambient Assisted Living Using Association Rule Mining. Sensors 2020, 20, 6760. https://doi.org/10.3390/s20236760
ElHady NE, Jonas S, Provost J, Senner V. Sensor Failure Detection in Ambient Assisted Living Using Association Rule Mining. Sensors. 2020; 20(23):6760. https://doi.org/10.3390/s20236760
Chicago/Turabian StyleElHady, Nancy E., Stephan Jonas, Julien Provost, and Veit Senner. 2020. "Sensor Failure Detection in Ambient Assisted Living Using Association Rule Mining" Sensors 20, no. 23: 6760. https://doi.org/10.3390/s20236760
APA StyleElHady, N. E., Jonas, S., Provost, J., & Senner, V. (2020). Sensor Failure Detection in Ambient Assisted Living Using Association Rule Mining. Sensors, 20(23), 6760. https://doi.org/10.3390/s20236760
 
        

