Satellite-Aided Consensus Protocol for Scalable Blockchains
Abstract
1. Introduction
- We develop a satellite-aided permissionless consensus protocol for sustainable, scalable blockchains, which, to the best of our knowledge, has never been investigated before.
- Technically, we demonstrate how the satellite-aided blockchain evolves and eventually converges despite various misbehaviors on a case-by-case basis, and show how the transmission outage and possible adversarial participants affect the chain evolution.
- Using the PoW-based blockchain as a benchmark, we theoretically analyze and assess the system performance regarding security and network throughput.
- Simulation results demonstrate that the satellite-aided blockchain exhibits greater scalability and can achieve higher TPS than the traditional PoW-based blockchains.
2. Satellite-Aided Consensus Protocol
3. Patterns of Chain Evolution
4. Security Implications
5. Throughput Analysis
5.1. Network Capacity Limits
5.2. Propagation Delay
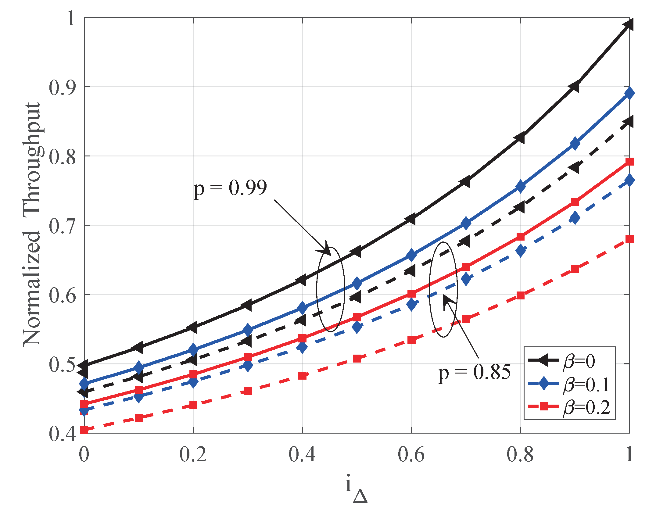
6. Evaluation
7. Conclusions and Future Research
- Access control. As pointed out in Section 4, a larger fraction of adversarial satellites will increase the confirmation error probability, which means an adversary can make the blockchain more vulnerable by hacking satellites. Therefore, access control is vital to the space–terrestrial blockchains [43]. On the one hand, our protocol does not require (or allow) terrestrial networks to upload data to satellites, which reduces the risks as another advantage. On the other hand, context-aware access control [44] should be considered as a potential approach to safeguard satellites further.
- Multiple satellite coordination. A constellation of satellites can multicast oracles for more extensive coverage, which can benefit space–terrestrial blockchains. Our protocol can easily expand from a single satellite setting to a constellation of participation satellites. However, it might compromise the blockchain security since more vulnerabilities are exposed in a constellation. More works need to be done for a practical space–terrestrial blockchain with multiple satellites.
- Information propagation model. In Section 5.2, we assess the impact of propagation delay by only considering , the fraction of informed nodes after one round. However, in the real world, network delays could be long-tailed or even unbounded [29]. A more general information propagation model is needed to characterize the terrestrial network and evaluate the throughput more accurately in future works.
Author Contributions
Funding
Conflicts of Interest
Abbreviations
| PoW | proof of work |
| IoT | internet of things |
| TPS | transactions per second |
| MSNET | mobile satellite communication networks |
| DVB-S2 | Digital Video Broadcasting Second Generation Satellite |
| DVB-S2X | Digital Video Broadcasting Second Generation Satellite Extensions |
| P2P | peer to peer |
| GEO | geostationary earth orbit |
| MEO | medium earth orbit |
| LEO | low earth orbit |
| VSAT | very small aperture terminal |
| SNR | signal-to-noise ratio |
| TV | television |
| GPS | global positioning system |
| PoS | proof of stake |
References
- Ling, X.; Le, Y.; Wang, J.; Ding, Z. Hash Access: Trustworthy Grant-Free IoT Access Enabled by Blockchain Radio Access Networks. IEEE Netw. 2020, 34, 54–61. [Google Scholar] [CrossRef]
- Cao, B.; Li, Y.; Zhang, L.; Zhang, L.; Mumtaz, S.; Zhou, Z.; Peng, M. When Internet of Things Meets Blockchain: Challenges in Distributed Consensus. IEEE Netw. 2019, 33, 133–139. [Google Scholar] [CrossRef]
- Ling, X.; Wang, J.; Bouchoucha, T.; Levy, B.C.; Ding, Z. Blockchain Radio Access Network (B-RAN): Towards Decentralized Secure Radio Access Paradigm. IEEE Access 2019, 7, 9714–9723. [Google Scholar] [CrossRef]
- Ling, X.; Wang, J.; Le, Y.; Ding, Z.; Gao, X. Blockchain Radio Access Network Beyond 5G. IEEE Wirel. Commun. 2020, in press. [Google Scholar]
- Xiong, Z.; Zhang, Y.; Niyato, D.; Wang, P.; Han, Z. When Mobile Blockchain Meets Edge Computing. IEEE Commun. Mag. 2018, 56, 33–39. [Google Scholar] [CrossRef]
- Xiong, Z.; Kang, J.; Niyato, D.; Wang, P.; Poor, V. Cloud/Edge Computing Service Management in Blockchain Networks: Multi-leader Multi-follower Game-based ADMM for Pricing. IEEE Trans. Serv. Comput. 2019, 13, 356–367. [Google Scholar] [CrossRef]
- Yang, J.; He, S.; Xu, Y.; Chen, L.; Ren, J. A Trusted Routing Scheme Using Blockchain and Reinforcement Learning for Wireless Sensor Networks. Sensors 2019, 19, 970. [Google Scholar] [CrossRef]
- Xie, J.; Tang, H.; Huang, T.; Yu, F.R.; Xie, R.; Liu, J.; Liu, Y. A Survey of Blockchain Technology Applied to Smart Cities: Research Issues and Challenges. IEEE Commun. Surv. Tutor. 2019, 21, 2794–2830. [Google Scholar] [CrossRef]
- Dwork, C.; Naor, M. Pricing via Processing or Combatting Junk Mail. In Proceedings of the Annual International Cryptology Conferenc, Santa Barbara, CA, USA, 16–20 August 1992; pp. 139–147. [Google Scholar]
- Nakamoto, S. Bitcoin: A peer-to-peer electronic cash system. In Proceedings of the 26th International Conference on Computer Communication and Networks (ICCCN), Vancouver, BC, Canada, 31 July–3 August 2017. [Google Scholar]
- Bagaria, V.; Kannan, S.; Tse, D.; Fanti, G.; Viswanath, P. Prism: Deconstructing the Blockchain to Approach Physical Limits. In Proceedings of the 2019 ACM SIGSAC Conference on Computer and Communications Security (CCS), New York, NY, USA, 17–20 November 2019; pp. 585–602. [Google Scholar]
- Bitcoin Energy Consumption Index. Available online: https://digiconomist.net/bitcoin-energy-consumption (accessed on 29 September 2020).
- Tschorsch, F.; Scheuermann, B. Bitcoin and Beyond: A Technical Survey on Decentralized Digital Currencies. IEEE Commun. Surv. Tutor. 2016, 18, 2084–2123. [Google Scholar] [CrossRef]
- Poon, J.; Dryja, T. The Bitcoin Lightning Network: Scalable Off-Chain Instant Payments. Available online: https://lightning.network/lightning-network-paper.pdf (accessed on 14 January 2016).
- Sompolinsky, Y.; Zohar, A. Secure High-Rate Transaction Processing in Bitcoin. In Proceedings of the International Conference on Financial Cryptography and Data Security (FC), Berlin, Germany, 26–30 January 2015; pp. 507–527. [Google Scholar]
- Feng, M.; Xu, H. MSNET-Blockchain: A New Framework for Securing Mobile Satellite Communication Network. In Proceedings of the 16th Annual IEEE International Conference on Sensing, Communication, and Networking (SECON), Boston, MA, USA, 10–13 June 2019; pp. 1–9. [Google Scholar]
- Devi, M.S.; Suguna, R.; Abhinaya, P.M. Integration of Blockchain and IoT in Satellite Monitoring Process. In Proceedings of the 2019 IEEE International Conference on Electrical, Computer and Communication Technologies (ICECCT), Coimbatore, India, 20–22 February 2019; pp. 1–6. [Google Scholar]
- La Beaujardiere, J.; Mital, R.; Mital, R. Blockchain Application Within A Multi-Sensor Satellite Architecture. In Proceedings of the 2019 IEEE International Geoscience and Remote Sensing Symposium (IGARSS), Yokohama, Japan, 28 July–2 August 2019; pp. 5293–5296. [Google Scholar]
- Wei, H.; Feng, W.; Zhang, C.; Chen, Y.; Fang, Y.; Ge, N. Creating Efficient Blockchains for the Internet of Things by Coordinated Satellite-Terrestrial Networks. IEEE Wirel. Commun. 2020, 27, 104–110. [Google Scholar] [CrossRef]
- Zhang, Y.; Liu, X. Satellite Broadcasting Enabled Blockchain Protocol: A Preliminary Study. arXiv 2004, arXiv:2004.14591. Available online: https://arxiv.org/abs/2004.14591 (accessed on 30 April 2020).
- BitSats. Available online: https://www.coindesk.com/tag/bitsat (accessed on 29 September 2020).
- SpaceChain. Available online: https://spacechain.com/ (accessed on 29 September 2020).
- BlockStream. Available online: https://blockstream.com/satellite/ (accessed on 29 September 2020).
- ChainSat. Available online: https://chainsat.accubits.com/ (accessed on 29 September 2020).
- Space Impulse. Available online: https://spaceimpulse.com/ (accessed on 29 September 2020).
- SupremeSat. Available online: http://www.supremesat.com/ (accessed on 29 September 2020).
- Digital Video Broadcasting (DVB); Second Generation Framing Structure, Channel Coding and Modulation Systems for Broadcasting, Interactive Services, News Gathering and Other Broad-Band Satellite Applications (DVB-S2); ETSI EN 302 307-1 V1.4.1; European Telecommunications Standards Institute: Sophia Antipolis, France, June 2014.
- Digital Video Broadcasting (DVB); Second Generation Framing Structure, Channel Coding and Modulation Systems for Broadcasting, Interactive Services, News Gathering and Other Broad-Band Satellite Applications. Part 2: DVB-S2 Extensions (DVB-S2X); ETSI EN 302 307-2 V1.1.1; European Telecommunications Standards Institute: Sophia Antipolis, France, June 2014.
- Decker, C.; Wattenhofer, R. Information Propagation in the Bitcoin Network. In Proceedings of the IEEE P2P 2013 Proceedings (P2P), Trento, Italy, 9–11 September 2013; pp. 1–10. [Google Scholar]
- Liu, J.; Shi, Y.; Fadlullah, Z.M.; Kato, N. Space-Air-Ground Integrated Network: A Survey. IEEE Commun. Surv. Tutor. 2018, 20, 2714–2741. [Google Scholar] [CrossRef]
- Lin, Z.; Lin, M.; Wang, J.; Huang, Y.; Zhu, W. Robust Secure Beamforming for 5G Cellular Networks Coexisting with Satellite Networks. IEEE J. Sel. Areas Commun. 2018, 36, 932–945. [Google Scholar] [CrossRef]
- Kodheli, O.; Lagunas, E.; Maturo, N.; Sharma, S.K.; Shankar, B.; Montoya, J.; Duncan, J.; Spano, D.; Chatzinotas, S.; Kisseleff, S.; et al. Satellite Communications in the New Space Era: A Survey and Future Challenges. arXiv 2002, arXiv:2002.08811. Available online: https://arxiv.org/abs/2002.08811 (accessed on 20 February 2020).
- You, L.; Li, K.; Wang, J.; Gao, X.; Xia, X.; Ottersten, B. Massive MIMO Transmission for LEO Satellite Communications. IEEE J. Sel. Areas Commun. 2020, 38, 1851–1865. [Google Scholar] [CrossRef]
- Wang, W.; Tong, Y.; Li, L.; Lu, A.; You, L.; Gao, X. Near Optimal Timing and Frequency Offset Estimation for 5G Integrated LEO Satellite Communication System. IEEE Access 2019, 7, 113298–113310. [Google Scholar] [CrossRef]
- Wang, C.; Bian, D.; Shi, S.; Xu, J.; Zhang, G. A Novel Cognitive Satellite Network with GEO and LEO Broadband Systems in the Downlink Case. IEEE Access 2018, 6, 25987–26000. [Google Scholar] [CrossRef]
- An, K.; Lin, M.; Zhu, W.; Huang, Y.; Zheng, G. Outage Performance of Cognitive Hybrid Satellite–Terrestrial Networks with Interference Constraint. IEEE Trans. Veh. Technol. 2016, 65, 9397–9404. [Google Scholar] [CrossRef]
- Jiang, Y.; Yang, S.; Zhang, G.; Li, G. Coverage Performances Analysis on Combined-GEO-IGSO Satellite Constellation. J. Electron. 2011, 28, 228. [Google Scholar] [CrossRef]
- Van Allen, J.A.; McIlwain, C.E.; Ludwig, G.H. Radiation Observations with Satellite 1958 ε. J. Geophys. Res. 1959, 64, 271–286. [Google Scholar] [CrossRef]
- Judge, D.L.; Coleman, P.J., Jr. Observations of Low-Frequency Hydromagnetic Waves in the Distant Geomagnetic Field: Explorer 6. J. Geophys. Res. 1962, 67, 5071–5090. [Google Scholar] [CrossRef]
- Barth, J.L.; Dyer, C.; Stassinopoulos, E. Space, Atmospheric, and Terrestrial Radiation Environments. IEEE Trans. Nucl. Sci. 2003, 50, 466–482. [Google Scholar] [CrossRef]
- Rosenfeld, M. Analysis of Hashrate-Based Double Spending. arXiv 2009, arXiv:1402.2009. Available online: https://arxiv.org/abs/1402.2009 (accessed on 9 February 2014).
- Hu, S.; Jiang, L.; Shi, W. Design of BeiDou-based Data Acquisition System for Oil and Gas Wells in Remote Areas. In Proceedings of the IOP Conference Series: Materials Science and Engineering, Kuantan, Malaysia, 30–31 July 2019; pp. 012090–012103. [Google Scholar]
- Kayes, A.S.M.; Kalaria, R.; Sarker, L.H.; Islam, M.S.; Watters, P.A.; Ng, A.; Hammoudeh, M.; Badsha, S.; Kumara, I. A Survey of Context-Aware Access Control Mechanisms for Cloud and Fog Networks: Taxonomy and Open Research Issues. Sensors 2020, 20, 2464. [Google Scholar] [CrossRef] [PubMed]
- Kayes, A.S.M.; Rahayu, W.; Watters, P.; Alazab, M.; Dillon, T.; Chang, E. Achieving security scalability and flexibility using Fog-Based Context-Aware Access Control. Future Gener. Comput. Syst. 2020, 107, 307–323. [Google Scholar] [CrossRef]






© 2020 by the authors. Licensee MDPI, Basel, Switzerland. This article is an open access article distributed under the terms and conditions of the Creative Commons Attribution (CC BY) license (http://creativecommons.org/licenses/by/4.0/).
Share and Cite
Ling, X.; Gao, Z.; Le, Y.; You, L.; Wang, J.; Ding, Z.; Gao, X. Satellite-Aided Consensus Protocol for Scalable Blockchains. Sensors 2020, 20, 5616. https://doi.org/10.3390/s20195616
Ling X, Gao Z, Le Y, You L, Wang J, Ding Z, Gao X. Satellite-Aided Consensus Protocol for Scalable Blockchains. Sensors. 2020; 20(19):5616. https://doi.org/10.3390/s20195616
Chicago/Turabian StyleLing, Xintong, Zheng Gao, Yuwei Le, Li You, Jiaheng Wang, Zhi Ding, and Xiqi Gao. 2020. "Satellite-Aided Consensus Protocol for Scalable Blockchains" Sensors 20, no. 19: 5616. https://doi.org/10.3390/s20195616
APA StyleLing, X., Gao, Z., Le, Y., You, L., Wang, J., Ding, Z., & Gao, X. (2020). Satellite-Aided Consensus Protocol for Scalable Blockchains. Sensors, 20(19), 5616. https://doi.org/10.3390/s20195616

