Assessment of Rice Developmental Stage Using Time Series UAV Imagery for Variable Irrigation Management
Abstract
1. Introduction
2. Experiment and Analysis Methods
2.1. Experiment Location and Materials
2.2. Experimental Field Planning and Water Management
2.3. PH Measurement
2.4. UAV Image Shooting
2.5. Image Analysis
2.5.1. HL Pixel Removal
2.5.2. Image Modeling
2.5.3. Kriging Spatial Interpolation
2.5.4. PH Calculation and Analysis
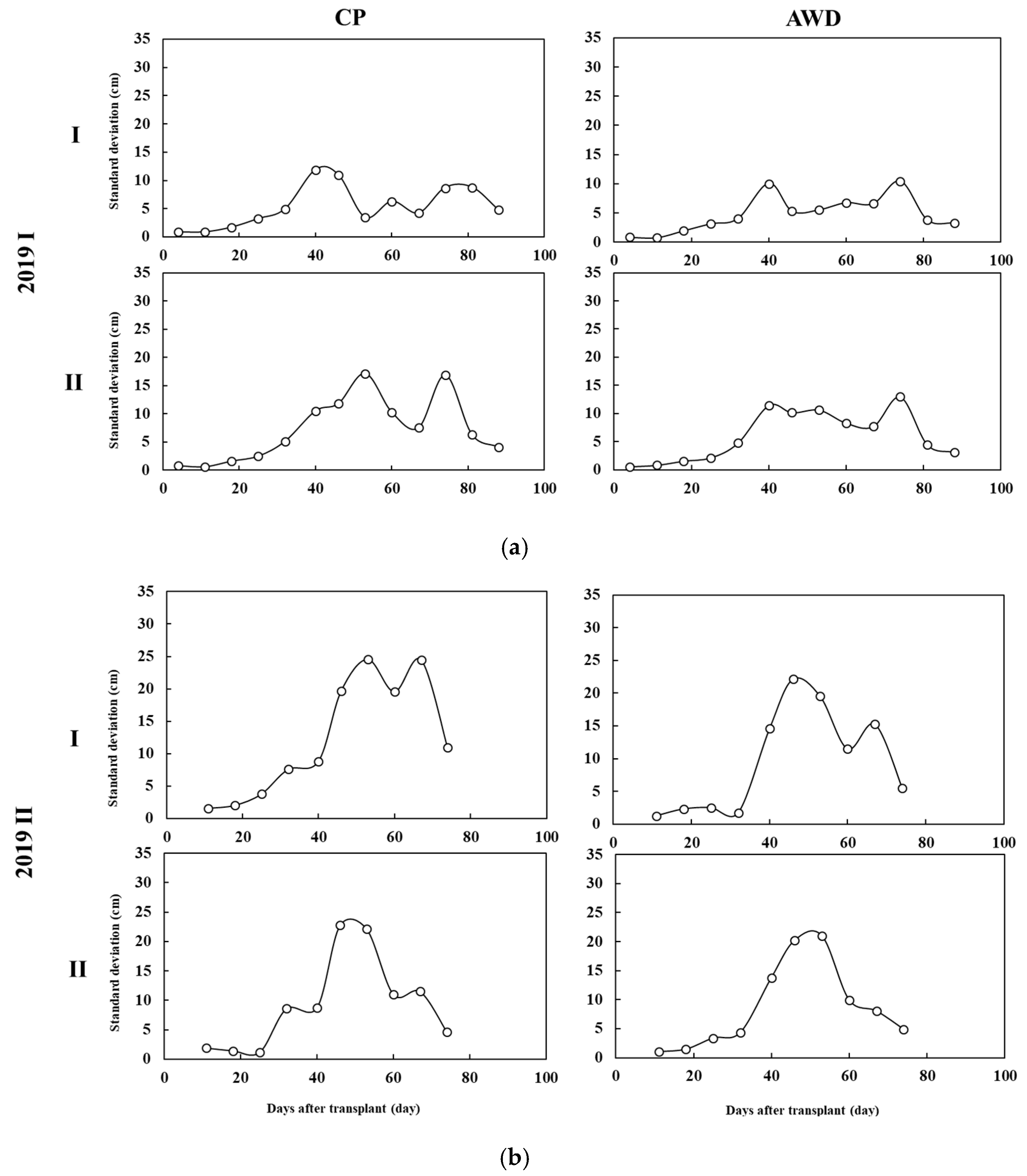
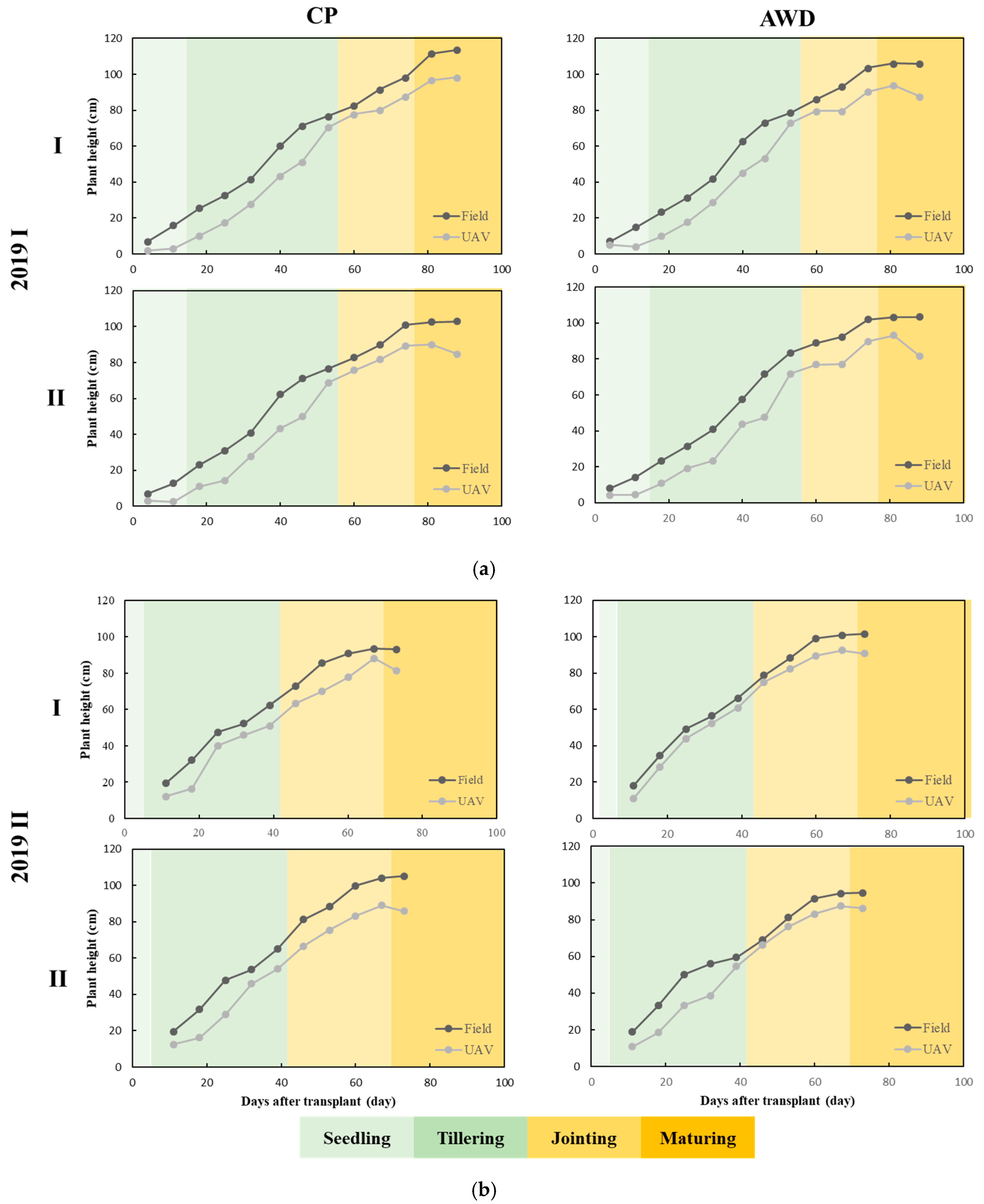
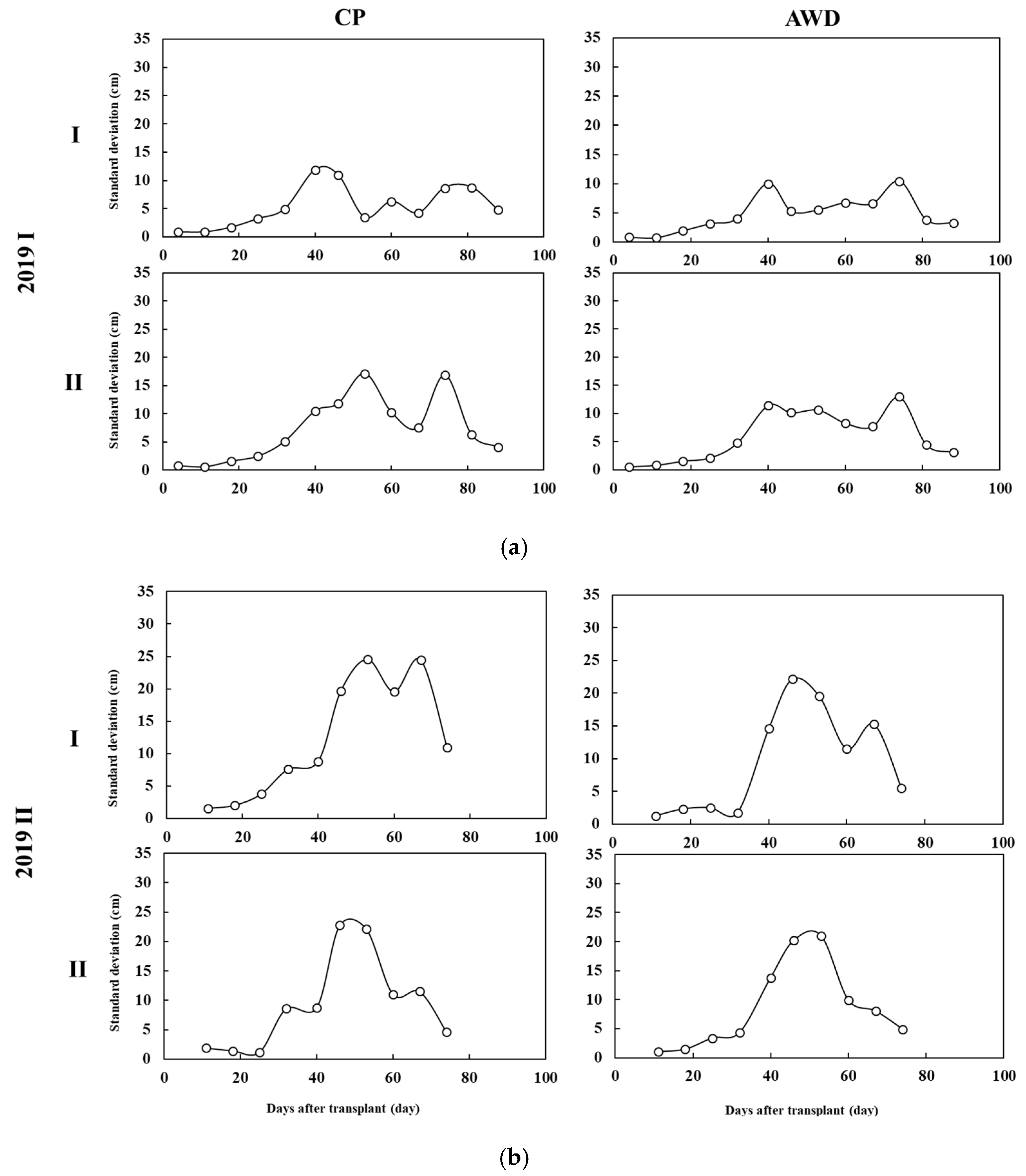
3. Results and Discussion
4. Conclusions
Author Contributions
Funding
Acknowledgments
Conflicts of Interest
References
- Long, S.P.; Marshall-Colon, A.; Zhu, X.G. Meeting the global food demand of the future by engineering crop photosynthesis and yield potential. Cell 2015, 161, 56–66. [Google Scholar] [CrossRef] [PubMed]
- Cai, Y.Y.; Bandara, J.S.; Newth, D. A framework for integrated assessment of food production economics in South Asia under climate change. Environ. Modell. Softw. 2016, 75, 459–497. [Google Scholar] [CrossRef]
- Shankar, K.R.; Nagasree, K.; Nirmala, G.; Prasad, M.S.; Venkateswarlu, B.; Rao, C.S. Climate change and agricultural adaptation in South Asia. In Handbook of Climate Change Adaptation; Springer: Berlin, Germany, 2014; ISBN 978-3-64238-671-8. [Google Scholar]
- Khepar, S.D.; Yadav, A.K.; Sondhi, S.K.; Siag, M. Water balance model for paddy fields under intermittent irrigation practices. Irrig. Sci. 2000, 19, 199–208. [Google Scholar] [CrossRef]
- Tuong, T.P.; Bouman, B.A.M. Rice production in water-scarce environments. In Water Productivity in Agriculture: Limits and Opportunities for Improvement; CAB International: Wallingford, UK, 2003; ISBN 978-1-84593-339-5. [Google Scholar]
- Satyanarayana, A.; Thiyagarajan, T.M.; Uphoff, N. Opportunities for water saving with higher yield from the system of rice intensification. Irrig. Sci. 2007, 25, 99–115. [Google Scholar] [CrossRef]
- Lampayan, R.M.; Rejesus, R.M.; Singleton, G.R.; Bouman, B.A.M. Adoption and economics of alternate wetting and drying water management for irrigated lowland rice. Field Crops Res. 2015, 170, 95–108. [Google Scholar] [CrossRef]
- Sanchez, B.; Rasmussen, A.; Porter, J.R. Temperatures and the growth and development of maize and rice: A review. Glob. Change Biol. 2014, 20, 408–417. [Google Scholar] [CrossRef]
- Adamchuk, V.I.; Ferguson, R.B.; Hergert, G.W. Soil heterogeneity and crop growth. In Precision Crop Protection—The Challenge and Use of Heterogeneity; Springer: Dordrecht, The Netherlands, 2010; ISBN 978-9-04819-276-2. [Google Scholar]
- Goyne, P.J.; Hammer, G.L.; Meinke, H.; Milroy, S.P.; Hare, J.M. Development and use of a barley crop simulation model to evaluate production management strategies in north-eastern Australia. Aust. J. Agric. Res. 1996, 47, 997–1015. [Google Scholar] [CrossRef]
- Bendig, J.; Bolten, A.; Bennertz, S.; Broscheit, J.; Eichfuss, S.; Bareth, G. Estimating biomass of barley using crop surface models (CSMs) derived from UAV-based RGB imaging. Remote Sens. 2014, 6, 10395–10412. [Google Scholar] [CrossRef]
- Reddersen, B.; Fricke, T.; Wachendorf, M. A multi-sensor approach for predicting biomass of extensively managed grassland. Comput. Electron. Agric. 2014, 109, 247–260. [Google Scholar] [CrossRef]
- Thenkabail, P.S.; Smith, R.B.; De Pauw, E. Hyperspectral vegetation indices and their relationships with agricultural crop characteristics. Remote Sens. Environ. 2000, 71, 158–182. [Google Scholar] [CrossRef]
- Tilly, N.; Aasen, H.; Bareth, G. Fusion of plant height and vegetation indices for the estimation of barley biomass. Remote Sens. 2015, 7, 11449–11480. [Google Scholar] [CrossRef]
- Fernandez, M.G.S.; Becraft, P.W.; Yin, Y.H.; Lubberstedt, T. From dwarves to giants? Plant height manipulation for biomass yield. Trends Plant Sci. 2009, 14, 454–461. [Google Scholar] [CrossRef] [PubMed]
- Chartzoulakis, K.; Bertaki, M. Sustainable water management in agriculture under climate change. Agric. Agric. Sci. Procedia 2015, 4, 88–98. [Google Scholar] [CrossRef]
- Madec, S.; Baret, F.; de Solan, B.; Thomas, S.; Dutartre, D.; Jezequel, S.; Hemmerlé, M.; Colombeau, G.; Comar, A. High-throughput phenotyping of plant height: Comparing unmanned aerial vehicles and ground LiDAR estimates. Front. Plant Sci. 2017, 8, 2002. [Google Scholar] [CrossRef] [PubMed]
- Jimenez-Berni, J.A.; Deery, D.M.; Rozas-Larraondo, P.; Condon, A.G.; Rebetzke, G.J.; James, R.A.; Bovill, W.D.; Furbank, R.T.; Sirault, X.R.R. High throughput determination of plant height, ground cover, and above-ground biomass in wheat with LiDAR. Front. Plant Sci. 2018, 9, 237. [Google Scholar] [CrossRef]
- Fricke, T.; Richter, F.; Wachendorf, M. Assessment of forage mass from grassland swards by height measurement using an ultrasonic sensor. Comput. Electron. Agric. 2011, 79, 142–152. [Google Scholar] [CrossRef]
- Bendig, J.; Bolten, A.; Bareth, G. UAV-based imaging for multi-temporal, very high resolution crop surface models to monitor crop growth variability. Photogramm. Fernerkund. Geoinf. 2013, 6, 551–562. [Google Scholar] [CrossRef]
- Bendig, J.; Willkomm, M.; Tilly, N.; Gnyp, M.L.; Bennertz, S.; Qiang, C.; Miao, Y.; Lenz-Wiedemann, V.I.S.; Bareth, G. Very high resolution crop surface models (CSMs) from UAV-based stereo images for rice growth monitoring in Northeast China. Int. Arch. Photogramm. Remote Sens. Spat. Inf. Sci. 2013, 40, 45–50. [Google Scholar] [CrossRef]
- Bendig, J.; Yu, K.; Aasen, H.; Bolten, A.; Bennertz, S.; Broscheit, J.; Gnyp, M.L.; Bareth, G. Combining UAV-based plant height from crop surface models, visible, and near infrared vegetation indices for biomass monitoring in barley. Int. J. Appl. Earth Obs. Geoinf. 2015, 39, 79–87. [Google Scholar] [CrossRef]
- Yang, M.D.; Huang, K.S.; Wan, J.; Tsai, H.P.; Lin, L.M. Timely and quantitative damage assessment of oyster racks using UAV images. IEEE J. Sel. Top. Appl. Earth Obs. Remote Sens. 2018, 11, 2862–2868. [Google Scholar] [CrossRef]
- Cen, H.Y.; Wan, L.; Zhu, J.P.; Li, Y.J.; Li, X.R.; Zhu, Y.M.; Weng, H.Y.; Wu, W.K.; Yin, W.X.; Xu, C.; et al. Dynamic monitoring of biomass of rice under different nitrogen treatments using a lightweight UAV with dual image-frame snapshot cameras. Plant Methods 2019, 15, 32. [Google Scholar] [CrossRef] [PubMed]
- Devia, C.A.; Rojas, J.P.; Petro, E.; Martinez, C.; Mondragon, I.F.; Patino, D.; Rebolledo, M.C.; Colorado, J. High-throughput biomass estimation in rice crops using UAV multispectral imagery. J. Intell. Robot. Syst. 2019, 96, 573–589. [Google Scholar] [CrossRef]
- Shimojima, K.; Ogawa, S.; Naito, H.; Valencia, M.O.; Shimizu, Y.; Hosoi, F.; Uga, Y.; Ishitani, M.; Selvaraj, M.G.; Omasa, K. Comparison between rice plant traits and color indices calculated from UAV remote sensing images. Eco-Enginerring 2017, 29, 11–16. [Google Scholar]
- Han, L.; Yang, G.J.; Dai, H.Y.; Yang, H.; Xu, B.; Feng, H.K.; Li, Z.H.; Yang, X.D. Fuzzy clustering of maize plant-height patterns using time series of UAV remote-sensing images and variety traits. Front. Plant Sci. 2019, 10, 926. [Google Scholar] [CrossRef]
- Han, L.; Yang, G.J.; Yang, H.; Xu, B.; Li, Z.H.; Yang, X.D. Clustering field-based maize phenotyping of plant-height growth and canopy spectral dynamics using a UAV remote-sensing approach. Front. Plant Sci. 2018, 9, 1638. [Google Scholar] [CrossRef]
- Wang, X.Q.; Zhang, R.Y.; Song, W.; Han, L.; Liu, X.L.; Sun, X.; Luo, M.J.; Chen, K.; Zhang, Y.X.; Yang, H.; et al. Dynamic plant height QTL revealed in maize through remote sensing phenotyping using a high-throughput unmanned aerial vehicle (UAV). Sci. Rep. 2019, 9, 3458. [Google Scholar] [CrossRef]
- Zhang, C.Y.; Craine, W.A.; McGee, R.J.; Vandemark, G.J.; Davis, J.B.; Brown, J.; Hulbert, S.H.; Sankaran, S. Image-based phenotyping of flowering intensity in cool-season crops. Sensors 2020, 20, 1450. [Google Scholar] [CrossRef]
- Yang, M.D.; Huang, K.S.; Kuo, Y.H.; Tsai, H.P.; Lin, L.M. Spatial and Spectral Hybrid Image Classification for Rice Lodging Assessment through UAV Imagery. Remote Sens. 2017, 9, 583. [Google Scholar] [CrossRef]
- Watanabe, K.; Guo, W.; Arai, K.; Takanashi, H.; Kajiya-Kanegae, H.; Kobayashi, M.; Yano, K.; Tokunaga, T.; Fujiwara, T.; Tsutsumi, N.; et al. High-throughput phenotyping of sorghum plant height using an unmanned aerial vehicle and its application to genomic prediction modeling. Front. Plant Sci. 2017, 8, 421. [Google Scholar] [CrossRef]
- Enciso, J.; Avila, C.A.; Jung, J.H.; Elsayed-Farag, S.; Chang, A.J.; Yeom, J.; Landivar, J.; Maeda, M.; Chavez, J.C. Validation of agronomic UAV and field measurements for tomato varieties. Comput. Electron. Agric. 2019, 158, 278–283. [Google Scholar] [CrossRef]
- Siebring, J.; Valente, J.; Franceschini, M.H.D.; Kamp, J.; Kooistra, L. Object-based image analysis applied to low altitude aerial imagery for potato plant trait retrieval and pathogen detection. Sensors 2019, 19, 5477. [Google Scholar] [CrossRef] [PubMed]
- Yang, M.D.; Tseng, H.H.; Hsu, Y.C.; Tsai, H.P. Semantic segmentation using deep learning with vegetation indices for rice lodging identification in multi-date UAV visible images. Remote Sens. 2020, 12, 633. [Google Scholar] [CrossRef]
- Yang, M.D.; Su, T.C.; Pan, N.F.; Yang, Y.F. Systematic image quality assessment for sewer inspection. Expert Syst. Appl. 2011, 38, 1766–1776. [Google Scholar] [CrossRef]
- Yue, J.B.; Yang, G.J.; Li, C.C.; Li, Z.H.; Wang, Y.J.; Feng, H.K.; Xu, B. Estimation of winter wheat above-ground biomass using unmanned aerial vehicle-based snapshot hyperspectral sensor and crop height improved models. Remote Sens. 2017, 9, 708. [Google Scholar] [CrossRef]
- Schirrmann, M.; Hamdorf, A.; Giebel, A.; Gleiniger, F.; Pflanz, M.; Dammer, K.-H. Regression kriging for improving crop height models fusing ultra-sonic sensing with UAV imagery. Remote Sens. 2017, 9, 665. [Google Scholar] [CrossRef]
- Akgul, M.; Yurtseven, H.; Gulci, S.; Akay, A.E. Evaluation of UAV-and GNSS-based DEMs for earthwork volume. Arab. J. Sci. 2018, 43, 1893–1909. [Google Scholar] [CrossRef]
- Tan, R.T.; Ikeuchi, K. Separating reflection components of textured surfaces using a single image. In Digitally Archiving Cultural Objects; Springer: Boston, MA, USA, 2008; pp. 353–384. [Google Scholar]
- Yoon, K.J.; Choi, Y.; Kweon, I.S. Fast separation of reflection components using a specularity-invariant image representation. In Proceedings of the 2006 International Conference on Image Processing (ICIP), Atlanta, GA, USA, 8–11 October 2006; pp. 973–976. [Google Scholar]
- Shen, H.L.; Zhang, H.G.; Shao, S.J.; Xin, J.H. Chromaticity-based separation of reflection components in a single image. Pattern Recognit. 2008, 41, 2461–2469. [Google Scholar] [CrossRef]
- Shen, H.L.; Cai, Q.Y. Simple and efficient method for specularity removal in an image. Appl. Opt. 2009, 48, 2711–2719. [Google Scholar] [CrossRef]
- Yang, Q.; Wang, S.; Ahuja, N. Real-time specular highlight removal using bilateral filtering. In European Conference on Computer Vision; Springer: Berlin, Germany, 2010; pp. 87–100. [Google Scholar]
- Shen, H.L.; Zheng, Z.H. Real-time highlight removal using intensity ratio. Appl. Opt. 2013, 52, 4483–4493. [Google Scholar] [CrossRef]
- Akashi, Y.; Okatani, T. Separation of reflection components by sparse non-negative matrix factorization. In Asian Conference on Computer Vision; Springer: Cham, Switzerland, 2014; pp. 611–625. [Google Scholar]
- Yang, M.D.; Chao, C.F.; Huang, K.S.; Lu, L.Y.; Chen, Y.P. Image-based 3D scene reconstruction and exploration in augmented reality. Autom. Constr. 2013, 33, 48–60. [Google Scholar] [CrossRef]
- Yang, M.D.; Su, T.C.; Lin, H.Y. Fusion of infrared thermal image and visible image for 3D thermal model reconstruction using smartphone sensors. Sensors 2018, 18, 2003. [Google Scholar] [CrossRef] [PubMed]
- Han, L.; Yang, G.J.; Feng, H.K.; Zhou, C.Q.; Yang, H.; Xu, B.; Li, Z.H.; Yang, X.D. Quantitative identification of maize lodging-causing feature factors using unmanned aerial vehicle images and a nomogram computation. Remote Sens. 2018, 10, 1528. [Google Scholar] [CrossRef]
- Wang, K.H.; Chu, T.; Yang, M.D.; Chen, M.C. Geostatistical based models for the spatial adjustment of radar rainfall data in typhoon events at a high-elevation river watershed. Remote Sens. 2020, 12, 1427. [Google Scholar] [CrossRef]
- Kawamura, K.; Asai, H.; Yasuda, T.; Khanthavong, P.; Soisouvanh, P.; Phongchanmixay, S. Field phenotyping of plant height in an upland rice field in Laos using low-cost small unmanned aerial vehicles (UAVs). Plant Prod. Sci. 2020, 1–14. [Google Scholar] [CrossRef]
- Holman, F.H.; Riche, A.B.; Michalski, A.; Castle, M.; Wooster, M.J.; Hawkesford, M.J. High throughput field phenotyping of wheat plant height and growth rate in field plot trials using UAV based remote sensing. Remote Sens. 2016, 8, 1031. [Google Scholar] [CrossRef]
- Bareth, G.; Bendig, J.; Tilly, N.; Hoffmeister, D.; Aasen, H.; Bolten, A. A comparison of UAV-and TLS-derived plant height for crop monitoring: Using polygon grids for the analysis of crop surface models (CSMs). Photogramm. Fernerkund. Geoinf. 2016, 2016, 85–94. [Google Scholar] [CrossRef]
- McMaster, G.S.; Wilhelm, W.W. Growing degree-days: One equation, two interpretations. Agric. For. Meteorol. 1997, 87, 291–300. [Google Scholar] [CrossRef]
- Frizzell, D.L.; Branson, J.D.; Wilson, C.E., Jr.; Norman, R.J.; Moldenhauer, K.A.K.; Gibbons, J.W. Development of degree-day 50 thermal unit thresholds for new rice cultivars. BR Wells Rice Res. Ser. Ark. Agric. Exp. Stn. Univ. Ark. 2010, 591, 187–193. [Google Scholar]
- Lin, S.H.; Lu, C.T.; Jwo, W.S.; Lu, H.Y. Establishment and validation of prediction model for rice growth stages. J. Taiwan Agric. Res. 2014, 63, 30–42. [Google Scholar]

















| UAV Survey Date | Field Survey Date | Altitude (m) | Ground Resolution (mm/pixel) | Coverage Area (ha) |
|---|---|---|---|---|
| 19 March | 19 March | 20.3 | 5.1 | 1.2 |
| 26 March | 26 March | 20.2 | 5 | 1.2 |
| 2 April | 2 April | 21.3 | 5.3 | 1.3 |
| 9 April | 9 April | 21 | 5.2 | 1.3 |
| 17 April | 17 April | 18.1 | 4.5 | 1.2 |
| 23 April | 23 April | 22.2 | 5.5 | 1.3 |
| 30 April | 30 April | 20 | 5 | 1.2 |
| 10 May | 7 May | 20.9 | 5.2 | 1.2 |
| 14 May | 14 May | 20.6 | 5 | 1.2 |
| 21 May | 21 May | 21.1 | 5.1 | 1.4 |
| 29 May | 28 May | 20.9 | 5.1 | 1.3 |
| 4 June | 4 June | 19.5 | 5.1 | 1.2 |
| 6 August | 6 August | 20.3 | 5.1 | 1.3 |
| 12 August | 13 August | 18.6 | 4.6 | 1.2 |
| 20 August | 20 August | 19.1 | 4.8 | 1.2 |
| 28 August | 27 August | 21 | 5.3 | 1.3 |
| 3 September | 3 September | 18.3 | 4.6 | 1.2 |
| 10 September | 10 September | 20.4 | 5.1 | 1.3 |
| 17 September | 17 September | 21.2 | 5.3 | 1.3 |
| 24 September | 24 September | 22.1 | 5.5 | 1.3 |
| 1 October | 1 October | 22.1 | 5.5 | 1.3 |
| 8 October | 7 October | 21.4 | 5.3 | 1.3 |
| Variety | Developmental Stage | Crop | GDDs (°C) 1 | Reference |
|---|---|---|---|---|
| TNG71 | Transplanting to panicle initiation | I, II | 814.2 | [56] |
| I | 829.85 | Our data | ||
| II | 1125.05 |
| Year | Crop Season | Date | Days | GDDs (°C) | UAV Plant Height (cm) | Developmental Stage | |
|---|---|---|---|---|---|---|---|
| CP | AWD | ||||||
| 2019 | I | 19 March | 11 | 126.2 | 2.7 | 4.1 | Seeding |
| 26 March | 18 | 209.6 | 10.5 | 10.2 | |||
| 2 April | 25 | 299.9 | 15.9 | 18.3 | |||
| 9 April | 32 | 401.8 | 27.7 | 26 | Tillering | ||
| 17 April | 40 | 521.2 | 43.4 | 44.5 | |||
| 23 April | 46 | 618.8 | 50.6 | 50.5 | |||
| 30 April | 53 | 740.2 | 69.6 | 72.4 | Max tiller | ||
| 7 May | 60 | 829.8 | 76.8 | 78.2 | Panicle initiation | ||
| 14 May | 67 | 941.7 | 80.9 | 78.3 | |||
| 21 May | 74 | 1056.8 | 88.6 | 90.1 | Booting | ||
| 28 May | 81 | 1171.4 | 93.4 | 93.6 | |||
| 4 June | 88 | 1286.1 | 91.5 | 84.7 | Flowering | ||
| II | 6 August | 11 | 254 | 12.3 | 10.9 | Seeding | |
| 13 August | 18 | 402 | 16.2 | 23.5 | |||
| 20 August | 28 | 533.2 | 34.5 | 38.7 | Tillering | ||
| 27 August | 32 | 676.6 | 45.9 | 45.5 | |||
| 3 September | 39 | 826.3 | 52.5 | 57.7 | Max tiller | ||
| 10 September | 46 | 971.9 | 65 | 70.7 | Panicle initiation | ||
| 17 September | 53 | 1125 | 72.6 | 79.3 | |||
| 24 September | 60 | 1253.1 | 80.5 | 86.3 | Booting | ||
| 1 October | 67 | 1393.1 | 88.6 | 90.1 | |||
| 7 October | 73 | 1513.5 | 83.6 | 88.5 | Flowering | ||
© 2020 by the authors. Licensee MDPI, Basel, Switzerland. This article is an open access article distributed under the terms and conditions of the Creative Commons Attribution (CC BY) license (http://creativecommons.org/licenses/by/4.0/).
Share and Cite
Yang, C.-Y.; Yang, M.-D.; Tseng, W.-C.; Hsu, Y.-C.; Li, G.-S.; Lai, M.-H.; Wu, D.-H.; Lu, H.-Y. Assessment of Rice Developmental Stage Using Time Series UAV Imagery for Variable Irrigation Management. Sensors 2020, 20, 5354. https://doi.org/10.3390/s20185354
Yang C-Y, Yang M-D, Tseng W-C, Hsu Y-C, Li G-S, Lai M-H, Wu D-H, Lu H-Y. Assessment of Rice Developmental Stage Using Time Series UAV Imagery for Variable Irrigation Management. Sensors. 2020; 20(18):5354. https://doi.org/10.3390/s20185354
Chicago/Turabian StyleYang, Chin-Ying, Ming-Der Yang, Wei-Cheng Tseng, Yu-Chun Hsu, Guan-Sin Li, Ming-Hsin Lai, Dong-Hong Wu, and Hsiu-Ying Lu. 2020. "Assessment of Rice Developmental Stage Using Time Series UAV Imagery for Variable Irrigation Management" Sensors 20, no. 18: 5354. https://doi.org/10.3390/s20185354
APA StyleYang, C.-Y., Yang, M.-D., Tseng, W.-C., Hsu, Y.-C., Li, G.-S., Lai, M.-H., Wu, D.-H., & Lu, H.-Y. (2020). Assessment of Rice Developmental Stage Using Time Series UAV Imagery for Variable Irrigation Management. Sensors, 20(18), 5354. https://doi.org/10.3390/s20185354

