Improving Radar Rainfall Estimations with Scaled Raindrop Size Spectra in Mei-Yu Frontal Rainstorms
Abstract
1. Introduction
2. Data and Methods
2.1. Observational Sites and Instruments
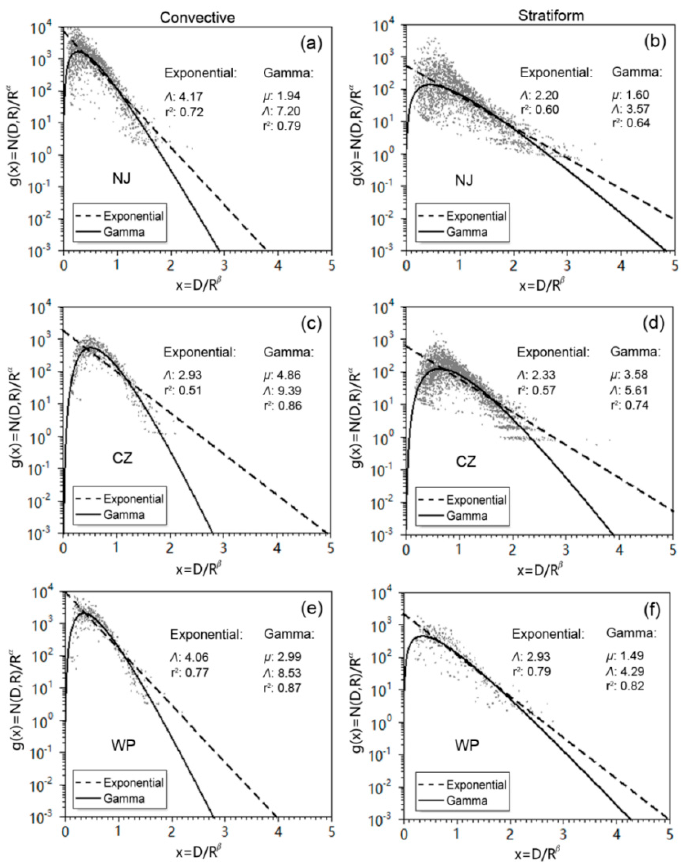
2.2. Scaling of Raindrop Size Distribution
2.3. Establishment of Z–R Relations
2.4. Variables of Polarimetric Radar
2.5. Assessment Statistics
2.6. Classification Scheme of Rain Types
3. DSD Properties from Parsivel2
3.1. Analyses of Drop Size Spectra
3.2. Statistics of DSD Parameters
3.3. µ–Λ Relations
4. QPE of Radar
4.1. Z–R Relations
4.2. Polarimetric Radar Applications
5. Summary and Conclusions
- (1)
- The spectral width of normalized DSD in NJ stratiform rain was widest among different parts of the Mei-Yu front, resulting in a “size-control” drop size distribution. The max particle concentration of convective rain was largest in WP, indicating a strong oceanic convective rainstorm. The average Dm value in heavy rain was larger in NJ (2.16 mm) and CZ (2.12 mm) than in WP (2.08 mm) of the Mei-Yu front. Given the same Λ, the parameter µ of WP was less than that of NJ (CZ).
- (2)
- The Z–R relations were estimated by using four methods (STD, LS, EXP, and GAM). The scaled spectra shapes (EXP and GAM) tended to underestimate the Mei-Yu precipitation, whereas the statistical LS method and STD relation usually overestimated the Mei-Yu rainfall. The EXP method had a better performance in stratiform rain than convective rain, which indicates that it is very sensitive to rain rates. The GAM method performed best compared to the other three methods in Mei-Yu rainfall estimations. In comparison with LS estimations, the GAM method showed a considerable improvement in both stratiform (33.9%) and convective (2.8%) rainfall estimations of the Mei-Yu front.
- (3)
- Several polarimetric variables are calculated by the use of DSD sensor data, such as ZH,V and ZDR. Furthermore, we derived empirical R(ZH, ZDR) and R(Kdp) estimators to improve the polarimetric radar rainfall estimation in the Mei-Yu front and found that the R(ZH, ZDR) estimator demonstrated the most impressive improvement.
Author Contributions
Funding
Conflicts of Interest
References
- Chiew, F.H.S. Estimation of rainfall elasticity of streamflow in Australia. Hydrol. Sci. J. 2006, 51, 613–625. [Google Scholar] [CrossRef]
- Guhathakurta, P.; Sreejith, O.P.; Menon, P.A. Impact of Climate Change on Extreme Rainfall Events and Flood Risk in India. J. Earth Syst. Sci. 2011, 120, 359. [Google Scholar] [CrossRef]
- Hoerling, M.; Eischeid, J.; Perlwitz, J.; Quan, X.-W.; Wolter, K.; Cheng, L. Characterizing recent trends in U.S. Heavy precipitation. J. Clim. 2016, 29, 2313–2332. [Google Scholar] [CrossRef]
- Cui, W.; Dong, X.; Xi, B.; Liu, M. Cloud and precipitation properties of MCSs along the Meiyu frontal zone in central and southern China and their associated large-scale environments. J. Geophys. Res. Atmos. 2020, 125, e2019JD031601. [Google Scholar] [CrossRef]
- Hsu, S.-Y.; Chen, T.-B.; Du, W.-C.; Wu, J.-H.; Chen, S.-C. Integrate Weather radar and Monitoring Devices for Urban Flooding Surveillance. Sensors 2019, 19, 825. [Google Scholar] [CrossRef] [PubMed]
- Rosenfeld, D.; Wolff, D.B.; Atlas, D. General probability-matched relations between radar reflectivity and rain rate. J. Appl. Meteorol. 1993, 32, 50–72. [Google Scholar] [CrossRef]
- Radhakrishna, B.; Rao, T.N. Differences in cyclonic raindrop size distribution from southwest to northeast monsoon season and from that of noncyclonic rain. J. Geophys. Res. 2010, 115, D16205. [Google Scholar] [CrossRef]
- Bringi, V.N.; Chandrasekar, V. Polarimetric Doppler Weather Radar: Principles and Applications; Cambridge University Press: Cambridge, UK, 2001. [Google Scholar]
- You, C.H.; Kang, M.Y.; Lee, D.I.; Uyeda, H. Rainfall estimation by S-band polarimetric radar in Korea. Part I: Preprocessing and preliminary results. Meteorol. Appl. 2014, 21, 975–983. [Google Scholar] [CrossRef]
- Chen, G.; Zhao, K.; Zhang, G.; Huang, H.; Liu, S.; Wen, L.; Yang, Z.; Yang, Z.; Xu, L.; Zhu, W. Improving Polarimetric C-Band Radar Rainfall Estimation with Two-dimensional Video Disdrometer Observations in Eastern China. J. Hydrometeorol. 2017, 18, 1375–1391. [Google Scholar] [CrossRef]
- Gou, Y.; Ma, Y.; Chen, H.; Yin, J. Utilization of a C-band Polarimetric Radar for Severe Rainfall Event Analysis in Complex Terrain over Eastern China. Remote Sens. 2019, 11, 22. [Google Scholar] [CrossRef]
- Steiner, M.; Smith, J.A. Reflflectivity, rain rate, and kinetic energy flux relationships based on raindrop spectra. J. Appl. Meteorol. 2000, 39, 1923–1940. [Google Scholar] [CrossRef]
- Chapon, B.; Delrieu, G.; Gosset, M.; Boudevillain, B. Variability of rain drop size distribution and its effect on the Z-R relationship: A case study for intense Mediterranean rainfall. Atmos. Res. 2008, 87, 52–65. [Google Scholar] [CrossRef]
- Sempere Torres, D.; Porrà, J.M.; Creutin, J.D. A general formulation for raindrop size distribution. J. Appl. Meteorol. 1994, 33, 1494–1502. [Google Scholar] [CrossRef]
- Sempere Torres, D.; Porrà, J.M.; Creutin, J.D. Experimental evidence of a general description for raindrop size distribution properties. J. Geophys. Res. 1998, 103, 1785–1797. [Google Scholar] [CrossRef]
- Marshall, J.S.; Palmer, W.M.K. The distribution of raindrops with size. J. Meteorol. 1948, 5, 165–166. [Google Scholar] [CrossRef]
- Ulbrich, C.W. Natural variations in the analytical form of the raindrop size distribution. J. Appl. Meteorol. 1983, 22, 1764–1775. [Google Scholar] [CrossRef]
- Uijlenhoet, R. Parameterization of Rainfall Microstructure for Radar Meteorology and Hydrology. Ph.D. Thesis, Wageningen University, Wageningen, The Netherlands, 1999. [Google Scholar]
- Hazenberg, P.; Yu, N.; Boudevillain, B.; Delrieu, G.; Uijlenhoet, R. Scaling of raindrop size distributions and classification of radar reflectivity–rain rate relations in intense Mediterranean precipitation. J. Hydrol. 2011, 402, 179–192. [Google Scholar] [CrossRef]
- Sampe, T.; Xie, S.P. Large-Scale Dynamics of the Meiyu-Baiu Rainband: Environmental Forcing by the Westerly Jet. J. Clim. 2010, 23, 113–134. [Google Scholar] [CrossRef]
- Kuwano-Yoshida, A.; Taguchi, B.; Xie, S.P. Baiu Rainband Termination in Atmospheric and Coupled Atmosphere–Ocean Models. J. Clim. 2013, 26, 10111–10124. [Google Scholar] [CrossRef][Green Version]
- Ogura, Y.; Asai, T.; Dohi, K. A case study of a heavy precipitation event along the Baiu front in northern Kyushu, 23 July 1982: Nagasaki heavy rainfall. J. Meteorol. Soc. Jpn. 1985, 63, 883–900. [Google Scholar] [CrossRef][Green Version]
- Ninomiya, K. Large- and meso-α-scale characteristics of Mei-Yu/Baiu front associated with intense rainfalls in 1–10 July 1991. J. Meteorol. Soc. Jpn. 2000, 78, 141–157. [Google Scholar] [CrossRef]
- Ninomiya, K.; Shibagaki, Y. Cloud system families in the Mei-Yu-Baiu front observed during 1–10 July 1991. J. Meteorol. Soc. Jpn. 2003, 81, 193–209. [Google Scholar] [CrossRef][Green Version]
- Yoshizaki, M.; Kato, T.; Tanaka, Y.; Takayama, H.; Shoji, Y.; Seko, H. Analytical and numerical study of the 26 June 1998 orographic front observed in western Kyushu, Japan. J. Meteorol. Soc. Jpn. 2000, 78, 835–856. [Google Scholar] [CrossRef]
- Kato, T.; Aranami, K. Formation factors of 2004 Niigata-Fukushima and Fukui heavy rainfalls and problems in the predictions using a cloud-resolving model. SOLA 2005, 1, 1–4. [Google Scholar] [CrossRef]
- Kato, T. Structure of the band-shaped precipitation system inducing the heavy rainfall observed over northern Kyushu, Japan on 29 June 1999. J. Meteorol. Soc. Jpn. 2006, 84, 129–153. [Google Scholar] [CrossRef]
- Löffler-Mang, M.; Joss, J. An optical distrometer for measuring size and velocity of hydrometeors. J. Atmos. Ocean. Technol. 2000, 17, 130–139. [Google Scholar] [CrossRef]
- Wu, Z.; Zhang, Y.; Zhang, L.; Lei, H.; Xie, Y.; Wen, L.; Yang, J. Characteristics of summer season raindrop size distribution in three typical regions of western Pacific. J. Geophys. Res. Atmos. 2019, 124, 4054–4073. [Google Scholar] [CrossRef]
- Gunn, R.; Kinzer, G.D. The terminal velocity of fall for region droplets in stagnant air. J. Meteorol. 1949, 6, 243–248. [Google Scholar] [CrossRef]
- Tokay, A.; Petersen, W.A.; Gatlin, P.; Wingo, M. Comparison of raindrop size distribution measurements by collocated disdrometers. J. Atmos. Ocean. Technol. 2013, 30, 1672–1690. [Google Scholar] [CrossRef]
- Tokay, A.; Wolff, D.B.; Petersen, W.A. Evaluation of the New Version of the Laser-Optical Disdrometer, OTT Parsivel2. J. Atmos. Ocean. Technol. 2014, 31, 1276–1288. [Google Scholar] [CrossRef]
- Atlas, D.; Ulbrich, C.W. Path- and area-integrated rainfall measurement by microwave attenuation in the 1–3 cm band. J. Appl. Meteorol. 1977, 16, 1322–1331. [Google Scholar] [CrossRef]
- Tokay, A.; Short, D.A. Evidence from tropical raindrop spectra of the origin of rain from stratiform versus convective clouds. J. Appl. Meteorol. 1996, 35, 355–371. [Google Scholar] [CrossRef]
- Zhang, G.; Vivekanandan, J.; Brandes, E.A.; Meneghini, R.; Kozu, T. The shape-slope relation in observed gamma raindrop size distributions: Statistical error or useful information? J. Atmos. Ocean. Technol. 2003, 20, 1106–1119. [Google Scholar] [CrossRef]
- Ryzhkov, A.V.; Giangrande, S.E.; Schuur, T.J. Rainfall Estimation with a Polarimetric Prototype of WSR-88D. J. Appl. Meteorol. 2005, 44, 502–515. [Google Scholar] [CrossRef]
- Zhang, G.; Vivekanandan, J.; Brandes, E.A. A method for estimating rain rate and drop size distribution from polarimetric radar measurements. IEEE Trans. Geosci. Remote Sens. 2001, 39, 830–841. [Google Scholar] [CrossRef]
- Brandes, E.A.; Zhang, G.; Vivekanandan, J. Experiments in rainfall estimation with a polarimetric radar in a subtropical environment. J. Appl. Meteorol. 2002, 41, 674–685. [Google Scholar] [CrossRef]
- Bringi, V.N.; Chandrasekar, V.; Hubbert, J.; Gorgucci, E.; Randeu, W.L.; Schoenhuber, M. Raindrop size distribution in different climatic regimes from disdrometer and dual-polarized radar analysis. J. Atmos. Sci. 2003, 60, 354–365. [Google Scholar] [CrossRef]
- Testud, J.; Oury, S.; Amayenc, P.; Black, R.A. The concept of “normalized” distributions to describe raindrop spectra: A tool for cloud physics and cloud remote sensing. J. Appl. Meteorol. 2001, 40, 1118–1140. [Google Scholar] [CrossRef]
- Uijlenhoet, R.; Steiner, M.; Smith, J.A. Variability of rain drop size distributions in a squall line and implications for radar rainfall estimation. J. Hydrometeorol. 2003, 4, 43–61. [Google Scholar] [CrossRef]
- Uijlenhoet, R.; Smith, J.A.; Steiner, M. The microphysical structure of extreme precipitation as inferred from ground-based raindrop spectra. J. Atmos. Sci. 2003, 60, 1220–1238. [Google Scholar] [CrossRef]
- Jameson, A.R.; Kostinski, A.B. When is rain steady? J. Appl. Meteorol. 2002, 41, 83–90. [Google Scholar] [CrossRef]
- Hu, Z.; Srivastava, R. Evolution of raindrop size distribution by coalescence, breakup, and evaporation: Theory and observations. J. Atmos. Sci. 1995, 52, 1761–1783. [Google Scholar] [CrossRef]
- Chen, B.; Yang, J.; Pu, J. Statistical Characteristics of Raindrop Size Distribution in the Mei-Yu Season Observed in Eastern China. J. Meteorol. Soc. Jpn. 2013, 91, 215–227. [Google Scholar] [CrossRef]
- Cao, Q.; Zhang, G.; Brandes, E.; Schuur, T.; Ryzhkov, A.; Ikeda, K. Analysis of video disdrometer and polarimetric radar data to characterize rain microphysics in Oklahoma. J. Appl. Meteorol. Climatol. 2008, 47, 2238–2255. [Google Scholar] [CrossRef]
- Vivekanandan, J.; Zhang, G.; Brandes, E. Polarimetric radar estimators based on a constrained gamma drop size distribution model. J. Appl. Meteorol. 2004, 43, 217–230. [Google Scholar] [CrossRef]
- Atlas, D.; Ulbrich, C.W. Drop size spectra and integral remote sensing parameters in the transition from convective to stratiform rain. Geophys. Res. Lett. 2006, 33, L16803. [Google Scholar] [CrossRef]
- Thurai, M.; Petersen, W.A.; Tokay, A. Drop size distribution comparisons between Parsivel and 2D video disdrometers. Adv. Geosci. 2011, 30, 3–9. [Google Scholar] [CrossRef]
- Thurai, M.; William, C.R.; Bring, V.N. Examining the correlations between drop size distribution parameters using data from two side-by-side 2D-video disdrometers. Atmos. Res. 2014, 144, 95–110. [Google Scholar] [CrossRef]
- Campos, E.; Zawadzki, I. Instrumental uncertainties in ZR relations. J. Appl. Meteorol. 2000, 39, 1088–1102. [Google Scholar] [CrossRef]
- Fulton, R.; Breidenbach, J.P.; Seo, D.J.; Miller, D.; O’Bannon, T. The WSR-88D rainfall algorithm. Weather Forecast. 1997, 13, 377–395. [Google Scholar] [CrossRef]
- Rosenfeld, D.; Ulbrich, C.W. Cloud Microphysical Properties, Processes, and Rainfall Estimation Opportunities. Meteorol. Monogr. 2003, 30, 237–258. [Google Scholar] [CrossRef]
- Seed, A.W.; Nicol, J.; Austin, G.L.; Stow, C.D.; Bradley, S.G. The impact of radar and raingauge sampling errors when calibrating a weather radar. Meteorol. Appl. 1996, 3, 43–52. [Google Scholar] [CrossRef]
- Wen, L.; Zhao, K.; Zhang, G.; Xue, M.; Zhou, B.; Liu, S.; Chen, X. Statistical characteristics of raindrop size distributions observed in East China during the Asian summer monsoon season using 2-D video disdrometer and Micro Rain radar data. J. Geophys. Res. Atmos. 2016, 121, 2265–2282. [Google Scholar] [CrossRef]
- Brandes, E.A.; Vivekanandan, J.; Wilson, J.W. A comparison of radar reflectivity estimates of rainfall from collocated radars. J. Atmos. Ocean. Technol. 1999, 16, 1264–1272. [Google Scholar] [CrossRef]
- Steiner, M.; Smith, J.A.; Uijlenhoet, R. A microphysical interpretation of radar reflectivity–rain rate relationships. J. Atmos. Sci. 2004, 61, 1114–1131. [Google Scholar] [CrossRef]
- Lee, C.K.; Zawadzki, I. Variability of drop size distributions: Time-scale dependence of the variability and its effects on rain estimation. J. Appl. Meteorol. 2005, 44, 241–255. [Google Scholar] [CrossRef]
- Vasiloff, S.V.; Seo, D.-J.; Howard, K.W.; Zhang, J.; Kitzmiller, D.H.; Mullusky, M.G.; Krajewski, W.F.; Brandes, E.A.; Rabin, R.M.; Berkowitz, D.S.; et al. Improving QPE and Very Short Term QPF. Bull. Am. Meteorol. Soc. 2007, 88, 1899–1911. [Google Scholar] [CrossRef]
- Cao, Q.; Zhang, G.; Brandes, E.; Schuur, T. Polarimetric radar rain estimation through retrieval of drop size distribution using a Bayesian approach. J. Appl. Meteorol. Climatol. 2010, 49, 973–990. [Google Scholar] [CrossRef]







| Date | Regions | 1-min Samples (min) | Accumulated Precipitation (mm) | Max Rain Rate (mm h−1) | Max Reflectivity Factor (dBZ) |
|---|---|---|---|---|---|
| 2 July 2014 | NJ | 828 | 34.41 | 36.26 | 44.42 |
| CZ | 610 | 9.74 | 26.47 | 41.95 | |
| WP | 454 | 8.60 | 5.74 | 48.22 | |
| 4 July 2014 | NJ | 1238 | 95.19 | 86.83 | 53.52 |
| CZ | 1112 | 107.36 | 71.90 | 49.31 | |
| WP | 104 | 5.91 | 10.54 | 16.19 | |
| 12 July 2014 | NJ | 545 | 42.73 | 88.22 | 56.94 |
| CZ | 584 | 21.18 | 22.33 | 48.26 | |
| WP | 95 | 10.79 | 48.64 | 52.76 |
| Regions | Rain Rate Classes (mm h−1) | |||||
|---|---|---|---|---|---|---|
| 0–10 | 10–20 | 20–30 | 30–40 | 40–50 | 50–60 | |
| NJ | 2030 | 284 | 66 | 33 | 25 | 19 |
| CZ | 2073 | 135 | 45 | 23 | 15 | 13 |
| WP | 468 | 81 | 36 | 13 | 11 | 9 |
| Rain Type | Regions | LS | EXP | GAM | |||
|---|---|---|---|---|---|---|---|
| A | b | A | b | A | b | ||
| convective | NJ | 128 | 1.62 | 238 | 1.81 | 116 | 1.81 |
| CZ | 115 | 1.62 | 729 | 1.67 | 143 | 1.67 | |
| WP | 142 | 1.76 | 386 | 1.80 | 168 | 1.80 | |
| stratiform | NJ | 308 | 1.50 | 1557 | 1.65 | 748 | 1.65 |
| CZ | 275 | 1.52 | 1204 | 1.68 | 365 | 1.68 | |
| WP | 489 | 1.17 | 856 | 1.74 | 576 | 1.74 | |
| Rain Type | Regions | NAE | NB | ||||||
|---|---|---|---|---|---|---|---|---|---|
| STD | LS | EXP | GAM | STD | LS | EXP | GAM | ||
| convective | NJ | 40.1 | 19.1 | 30.3 | 17.9 | 16.6 | 0 | −29.8 | −5.4 |
| CZ | 18.3 | 14.3 | 36.3 | 13.1 | 14.2 | 0 | −34.3 | −7.9 | |
| WP | 48.7 | 15.9 | 37.6 | 15.5 | 33.8 | 0 | −35.7 | −11.4 | |
| stratiform | NJ | 52.4 | 33.6 | 31.5 | 24.9 | 43.8 | 0 | −27.3 | −18.4 |
| CZ | 43.3 | 25.7 | 24.6 | 15.8 | 23.4 | 0 | −21.9 | −13.2 | |
| WP | 44.8 | 30.6 | 47.8 | 15.3 | 47.8 | 0 | −33.5 | −15 | |
| Parameters | Regions | Z–R (LS) | Z–R (GAM) | R(ZH, ZDR) | R(Kdp) |
|---|---|---|---|---|---|
| NAE | NJ | 27.6 | 25.3 | 9.2 | 17.9 |
| CZ | 28.5 | 23.9 | 10.7 | 21.1 | |
| WP | 39.8 | 35.4 | 25.5 | 34.4 | |
| NB | NJ | 0 | −11.7 | −3.8 | −9.7 |
| CZ | 0 | −13.5 | −4.9 | −11.3 | |
| WP | 0 | −25.4 | 25 | 32.2 |
© 2020 by the authors. Licensee MDPI, Basel, Switzerland. This article is an open access article distributed under the terms and conditions of the Creative Commons Attribution (CC BY) license (http://creativecommons.org/licenses/by/4.0/).
Share and Cite
Zheng, H.; Wu, Z.; Zhang, L.; Xie, Y.; Lei, H. Improving Radar Rainfall Estimations with Scaled Raindrop Size Spectra in Mei-Yu Frontal Rainstorms. Sensors 2020, 20, 5257. https://doi.org/10.3390/s20185257
Zheng H, Wu Z, Zhang L, Xie Y, Lei H. Improving Radar Rainfall Estimations with Scaled Raindrop Size Spectra in Mei-Yu Frontal Rainstorms. Sensors. 2020; 20(18):5257. https://doi.org/10.3390/s20185257
Chicago/Turabian StyleZheng, Hepeng, Zuhang Wu, Lifeng Zhang, Yanqiong Xie, and Hengchi Lei. 2020. "Improving Radar Rainfall Estimations with Scaled Raindrop Size Spectra in Mei-Yu Frontal Rainstorms" Sensors 20, no. 18: 5257. https://doi.org/10.3390/s20185257
APA StyleZheng, H., Wu, Z., Zhang, L., Xie, Y., & Lei, H. (2020). Improving Radar Rainfall Estimations with Scaled Raindrop Size Spectra in Mei-Yu Frontal Rainstorms. Sensors, 20(18), 5257. https://doi.org/10.3390/s20185257

