Continuous Estimation of Knee Joint Angle Based on Surface Electromyography Using a Long Short-Term Memory Neural Network and Time-Advanced Feature
Abstract
1. Introduction
2. Experimental and Method
2.1. Data Acquisition
2.2. Data Processing and Feature Extraction of sEMG
2.2.1. Signal Preprocessing
2.2.2. Feature Extraction of sEMG and Time-Advanced Feature Signals
2.3. Data Normalization
2.4. Long Short-Term Memory Neural Network for Angle Estimation
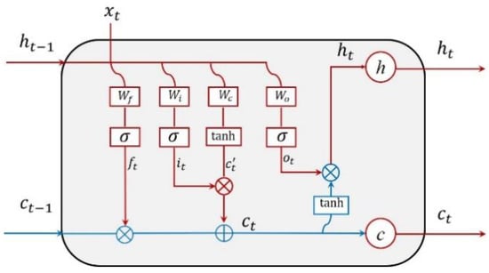
2.4.1. Basic LSTM Structure
2.4.2. Choice of LSTM Structural Parameters
2.5. BP Neural Network Algorithms
2.6. Evaluation Criteria of Angle Prediction Effect
3. Results
4. Discussion
5. Conclusions
Author Contributions
Funding
Acknowledgments
Conflicts of Interest
Appendix A
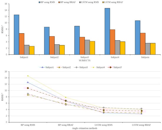
- From subject 1 to subject 5, the RMSE values of LSTM using RRTAF are respectively reduced by 12.10%, 7.31%, 9.38%, 8.44%, 6.02% and the maximum decreased percentage is 12.10% (subject1), compared to the RMSE values of LSTM using RMS.
- From subject 1 to subject 5, the RMSE values of BPNN using RRTAF are reduced by 46.90%, 33.81%, 38.52%, 46.21%, 36.70%, respectively, and the maximum decreased percentage is 46.90% (subject1), compared to the RMSE values of BPNN using RMS.
- From subject 1 to subject 5, the RMSE values of LSTM using RRTAF are reduced by 60.68%, 49.02%, 24.22%, 48.13%, 47.22%, respectively and the maximum decreased percentage is 60.68% (subject1), compared to BPNN using RRTAF.
- From subject 1 to subject 5, the RMSE values of LSTM using RMS are respectively reduced by 26.50%, 9.05%, 9.21%, 27.25%, 20.54%, respectively, and the maximum decreased percentage is 27.25% (subject4), compared to the RMSE values of BPNN using RMS.
Appendix B
- Compared to BPNN using RMS, ρ of BPNN using RRTAF are respectively increased by 20.46% (subject1), 6.00% (subject2), 21.02% (subject3), 8.01% (subject4), 14.66% (subject5), the maximum added percentage is 21.02% (subject3) and the average value is increased by 13.62%.
- The ρ values of LSTM using RRTAF are respectively increased by 0.15% (subject1), 0.13% (subject2), 0.58% (subject3), 0.41% (subject4), 0.28% (subject5), the maximum added percentage is 0.58% (subject3) and the average value is increased by 0.31%, compared to LSTM using RMS.
- Compared to BPNN using RRTAF, ρ of LSTM using RRTAF are respectively increased by 5.41% (subject1), 3.02% (subject2), 1.70% (subject3), 5.28% (subject4), 5.42% (subject5), the maximum added percentage is 5.42% (subject5) and the average value is increased by 4.15%.
- Compared to BPNN using RMS, ρ of LSTM using RMS are respectively increased by 26.50% (subject1), 9.05% (subject2), 9.21% (subject3), 27.25% (subject4), 20.54% (subject5), the maximum added percentage is 27.25% (subject4) and the average value is increased by 13.62%.
References
- Xie, H.; Li, G.; Zhao, X.; Li, F. Prediction of Limb Joint Angles Based on Multi-Source Signals by GS-GRNN for Exoskeleton Wearer. Sensors 2020, 20, 1104. [Google Scholar] [CrossRef] [PubMed]
- He, W.; Li, Z.J.; Dong, Y.T.; Zhao, T. Design and adaptive control for an upper limb robotic exoskeleton in presence of input saturation. IEEE Trans. Neural Netw. Learn. Syst. 2018, 30, 97–108. [Google Scholar]
- Benabid, P.A.L.B.; Costecalde, T.; Eliseyev, A.; Charvet, G.; Verney, A.; Karakas, S.; Foerster, M.; Lambert, A.; Morinière, B.; Abroug, N.; et al. An exoskeleton controlled by an epidural wireless brain–machine interface in a tetraplegic patient: A proof-of-concept demonstration. Lancet Neurol. 2019, 18, 1112–1122. [Google Scholar] [CrossRef]
- Wu, X.; Li, Z. Cooperative manipulation of wearable dual-arm exoskeletons using force communication between partners. IEEE Trans. Ind. Electron. 2020, 67, 6629–6638. [Google Scholar] [CrossRef]
- Jinsoo, K.; Giuk, L.; Roman, H.; Revi, D.A.; Karavas, N.; Nathanson, D.; Galiana, I.; Eckert-Erdheim, A.; Murphy, P.; Perry, D.; et al. Reducing the metabolic rate of walking and running with a versatile. Science 2019, 365, 668–672. [Google Scholar]
- Campeau-Lecours, A.; Cote-Allard, U.; Vu, D.S.; Routhier, F.; Gosselin, B.; Gosselin, C. Intuitive adaptive orientation control for enhanced human–robot interaction. IEEE Trans. Robot. 2018, 35, 509–520. [Google Scholar] [CrossRef]
- Teramae, T.; Noda, T.; Morimoto, J. EMG-based model predictive control for physical human–robot interaction: Application for assist-as-needed control. IEEE Robot. Autom. Lett. 2017, 3, 210–217. [Google Scholar] [CrossRef]
- Chen, Y.; Yu, S.; Ma, K.; Huang, S.; Li, G.; Cai, S.; Xie, L. A continuous estimation model of upper limb joint angles by using surface electromyography and deep learning method. IEEE Access 2019, 7, 174940–174950. [Google Scholar] [CrossRef]
- Kyeong, S.; Shin, W.; Yang, M.; Heo, U.; Feng, J.R.; Kim, J. Recognition of walking environments and gait period by surface electromyography. Front. Inf. Technol. Electron. Eng. 2019, 20, 40–50. [Google Scholar] [CrossRef]
- Momen, K.; Krishnan, S.; Chau, T. Real-time classification of forearm electromyographic signals corresponding to user-selected intentional movements for multifunction prosthesis control. IEEE Trans. Neural Syst. Rehabil. Eng. 2007, 15, 535–542. [Google Scholar] [CrossRef]
- Lloyd, D.G.; Besier, T.F. An EMG-driven musculoskeletal model to estimate muscle forces and knee joint moments in vivo. J. Biomech. 2003, 36, 765–776. [Google Scholar] [CrossRef]
- Anwar, T.; Al-Jumaily, A.; Watsford, M. Estimation Estimation of Torque Based on EMG using ANFIS. In Proceedings of the 2016 IEEE International Conference on Symposium on Robotics and Intelligent Sensors, Tokyo, Japan, 7–20 December 2016; Volume 105, pp. 197–202. [Google Scholar]
- Phinyomark, A.; Phukpattaranont, P.; Limsakul, C. Feature reduction and selection for EMG signal classification. Expert Syst. Appl. 2012, 39, 7420–7431. [Google Scholar] [CrossRef]
- Hudgins, B.; Parker, P.; Scott, R.N. A new strategy for multifunction myoelectric control. IEEE Trans. Bio-Med. Eng. 1993, 40, 82–94. [Google Scholar] [CrossRef]
- Batayneh, W.; Abdulhay, E.; Alothman, M. Prediction of the performance of artificial neural networks in mapping sEMG to figure joint angles via signal pre-investigation techniques. Heliyon 2020, 6, e03669. [Google Scholar] [CrossRef] [PubMed]
- Han, J.; Ding, Q.; Xiong, A.; Zhao, X. A state-space EMG model for the estimation of continuous joint movements. IEEE Trans. Ind. Electron. 2015, 62, 4267–4275. [Google Scholar] [CrossRef]
- Pang, M.; Guo, S.; Huang, Q.; Ishihara, H.; Hirata, H. Electromyography-based quantitative representation method for upper-limb elbow joint angle in sagittal plane. J. Med Biol. Eng. 2015, 35, 165–177. [Google Scholar] [CrossRef]
- Li, Q.L.; Song, Y.; Hou, Z.G. Estimation of lower limb periodic motions from sEMG using least squares support vector regression. Neural Process. Lett. 2015, 41, 371–388. [Google Scholar] [CrossRef]
- Xiao, F.; Wang, Y.; Gao, Y.; Zhu, Y.; Zhao, J. Continuous estimation of joint angle from electromyography using multiple time-delayed features and random forests. Biomed. Signal Process. Control 2018, 39, 303–311. [Google Scholar] [CrossRef]
- Zhang, F.; Li, P.; Hou, Z.G.; Lu, Z.; Chen, Y.; Li, Q.; Tan, M. sEMG-based continuous estimation of joint angles of human legs by using BP neural network. Neurocomputing 2012, 78, 139–148. [Google Scholar] [CrossRef]
- Chen, J.; Zhang, X.; Cheng, Y.; Xi, N. Surface emg based continuous estimation of human lower limb joint angles by using deep belief networks. Biomed. Signal Process. Control 2018, 40, 335–342. [Google Scholar] [CrossRef]
- Au, A.T.C.; Kirsc, R.F. EMG-based prediction of shoulder and elbow kinematics in able-bodied and spinal cord injured individuals. IEEE Trans. Rehabil. Eng. 2002, 8, 471–480. [Google Scholar] [CrossRef]
- Wang, F.; Yin, T.; Lei, C.; Zhang, Y.; Liu, J. Prediction of lower limb joint angle using sEMG based on GA-GRNN. In Proceedings of the 5th Annual IEEE International Conference on Cyber Technology in Automation, Control and Intelligent Systems, Shenyang, China, 8–12 June 2015; pp. 1894–1899. [Google Scholar]
- Wang, S.; Gao, Y.; Zhao, J.; Yang, T.; Zhu, Y. Prediction of sEMG-based tremor joint angle using the RBF neural network. In Proceedings of the 2012 IEEE international Conference on Mechatronics & Automation, Chengdu, China, 5–8 August 2012; pp. 2103–2108. [Google Scholar]
- Wang, J.; Wang, L.; Miran, S.M.; Xi, X.; Xue, A. Surface electromyography based estimation of knee joint angle by using correlation dimension of wavelet coefficient. IEEE Access 2019, 7, 60522–60531. [Google Scholar] [CrossRef]
- Huang, Y.; He, Z.; Liu, Y.; Yang, R.; Liu, T. Real-time intended knee joint motion prediction by deep-recurrent neural networks. IEEE Sens. J. 2019, 19, 11503–11509. [Google Scholar] [CrossRef]
- Hochreiter, S.; Schmidhuber, J. Long short-term memory. Neural Comput. 1997, 9, 1735–1780. [Google Scholar] [CrossRef]
- Wang, C.; Guo, W.; Zhang, H.; Guo, L.; Lin, C. sEMG-based continuous estimation of grasp movements by long-short term memory network. Biomed. Signal Process. Control 2020, 59, 101774. [Google Scholar] [CrossRef]
- Boxtel, A. Optimal signal bandwidth for the recording of surface EMG activity of facial, jaw, oral, and neck muscles. Psychophysiology 2010, 38, 22–34. [Google Scholar] [CrossRef]
- Boxtel, A.; Boelhouwer, A.J.W.; Bos, A.R. Optimal EMG signal bandwidth and interelectrode distance for the recording of acoustic, electrocutaneous, and photic blink reflexes. Psychophysiology 2010, 35, 690–697. [Google Scholar] [CrossRef]
- Liu, Y.; Qiang, L.; Song, Q.; Zhao, M.; Guan, X. Effects of Backpack Loads on Leg Muscle Activation during Slope Walking. Appl. Sci. 2020, 10, 4890. [Google Scholar] [CrossRef]
- Ma, X.; Wang, C.; Zhang, R.; Wu, X. A Real-Time Gait Switching Method for Lower-Limb Exoskeleton Robot Based on sEMG Signals. In Proceedings of the 2018 International Conference on Communications in Computer and Information Science, Beijing, China, 30 November–1 December 2018; Springer: Singapore, 2019; Volume 1005, pp. 511–523. [Google Scholar]
- Hochreiter, S.; Frasconi, P.; Scjmidhuber, J.; In, S.C. Kremer, Gradient Flow in Recurrent Nets: The Difficulty of Learning Long-term Dependencies. In A Field Guide to Dynamical Recurrent Networks; IEEE Press: Piscataway, NJ, USA, 2001. [Google Scholar]
- Graves, A.; Fernandez, S.; Schmidhuber, J. Bidirectional LSTM Networks for Improved Phoneme Classification and Recognition. In Proceedings of the 15th International Conference on Artificial Neural Networks: Formal Models and Their Applications, Warsaw, Poland, 11–15 September 2005; Volume 3697, pp. 799–804. [Google Scholar]
- Kingma, D.P.; Ba, J. Adam: A method for stochastic optimization. In Proceedings of the International Conference on Learning Representations, San Diego, CA, USA, 7–9 May 2015. [Google Scholar]











| Subjects | Age | Height (cm) | Weight (kg) | Foot Length (cm) | Foot Width (cm) |
|---|---|---|---|---|---|
| 1 | 23 | 168 | 55 | 26.5 | 10 |
| 2 | 25 | 174 | 58 | 26.5 | 10 |
| 3 | 25 | 178.5 | 65 | 27 | 10 |
| 4 | 28 | 186 | 67 | 28 | 10 |
| 5 | 22 | 180 | 65 | 27 | 10 |
| Average | 25 | 177.3 | 62 | 27 | 10 |
| Number | Name | Number | Name |
|---|---|---|---|
| 1 | Right anterior superior iliac spine (ASIS) | 9 | Right toe |
| 2 | Left anterior superior iliac spine | 10 | Left thigh middle position |
| 3 | Sacrum | 11 | Left lateral knee |
| 4 | Right thigh middle position | 12 | Left shank middle position |
| 5 | Right lateral knee | 13 | Left lateral ankle |
| 6 | Right shank middle position | 14 | Left heel |
| 7 | Right lateral ankle | 15 | Right toe |
| 8 | Right heel |
| Subject | BPNN Using RMS | BPNN Using RRTAF | LSTM Using RMS | LSTM Using RRTAF |
|---|---|---|---|---|
| 1 | 12.5307 | 6.6535 | 2.9764 | 2.6164 |
| 2 | 8.6631 | 5.7339 | 3.1535 | 2.9229 |
| 3 | 8.9609 | 5.5089 | 4.6067 | 4.1744 |
| 4 | 14.5964 | 7.8514 | 4.4482 | 4.0728 |
| 5 | 10.7052 | 6.7764 | 3.8055 | 3.5764 |
| Average | 11.0913 ± 2.2334 (*,$) | 6.5048 ± 1.8886 (#,^) | 3.7981 ± 0.6584 (&) | 3.4726 ± 0.6162 (~) |
| Subject | BPNN Using RMS | BPNN Using RRTAF | LSTM Using RMS | LSTM Using RRTAF |
|---|---|---|---|---|
| 1 | 0.7826 | 0.9427 | 0.9900 | 0.9915 |
| 2 | 0.9056 | 0.9599 | 0.9876 | 0.9889 |
| 3 | 0.8911 | 0.9625 | 0.9732 | 0.9788 |
| 4 | 0.7682 | 0.9297 | 0.9775 | 0.9815 |
| 5 | 0.8117 | 0.9307 | 0.9784 | 0.9811 |
| Average | 0.8318 ± 0.0563 (*,$) | 0.9451 ± 0.0139 (#,^) | 0.9813 ± 0.0064 (&) | 0.9844 ± 0.0049 (~) |
© 2020 by the authors. Licensee MDPI, Basel, Switzerland. This article is an open access article distributed under the terms and conditions of the Creative Commons Attribution (CC BY) license (http://creativecommons.org/licenses/by/4.0/).
Share and Cite
Ma, X.; Liu, Y.; Song, Q.; Wang, C. Continuous Estimation of Knee Joint Angle Based on Surface Electromyography Using a Long Short-Term Memory Neural Network and Time-Advanced Feature. Sensors 2020, 20, 4966. https://doi.org/10.3390/s20174966
Ma X, Liu Y, Song Q, Wang C. Continuous Estimation of Knee Joint Angle Based on Surface Electromyography Using a Long Short-Term Memory Neural Network and Time-Advanced Feature. Sensors. 2020; 20(17):4966. https://doi.org/10.3390/s20174966
Chicago/Turabian StyleMa, Xunju, Yali Liu, Qiuzhi Song, and Can Wang. 2020. "Continuous Estimation of Knee Joint Angle Based on Surface Electromyography Using a Long Short-Term Memory Neural Network and Time-Advanced Feature" Sensors 20, no. 17: 4966. https://doi.org/10.3390/s20174966
APA StyleMa, X., Liu, Y., Song, Q., & Wang, C. (2020). Continuous Estimation of Knee Joint Angle Based on Surface Electromyography Using a Long Short-Term Memory Neural Network and Time-Advanced Feature. Sensors, 20(17), 4966. https://doi.org/10.3390/s20174966

