Photonic Voltage Transducer with Lightning Impulse Protection for Distributed Monitoring of MV Networks
Abstract
1. Introduction
2. Photonic Voltage Transducer Design and Construction
2.1. Design Requirements
2.2. Piezoelectric Transduser Lightning Impulse Testing
2.3. Lightning Impulse Attenuator Requirements
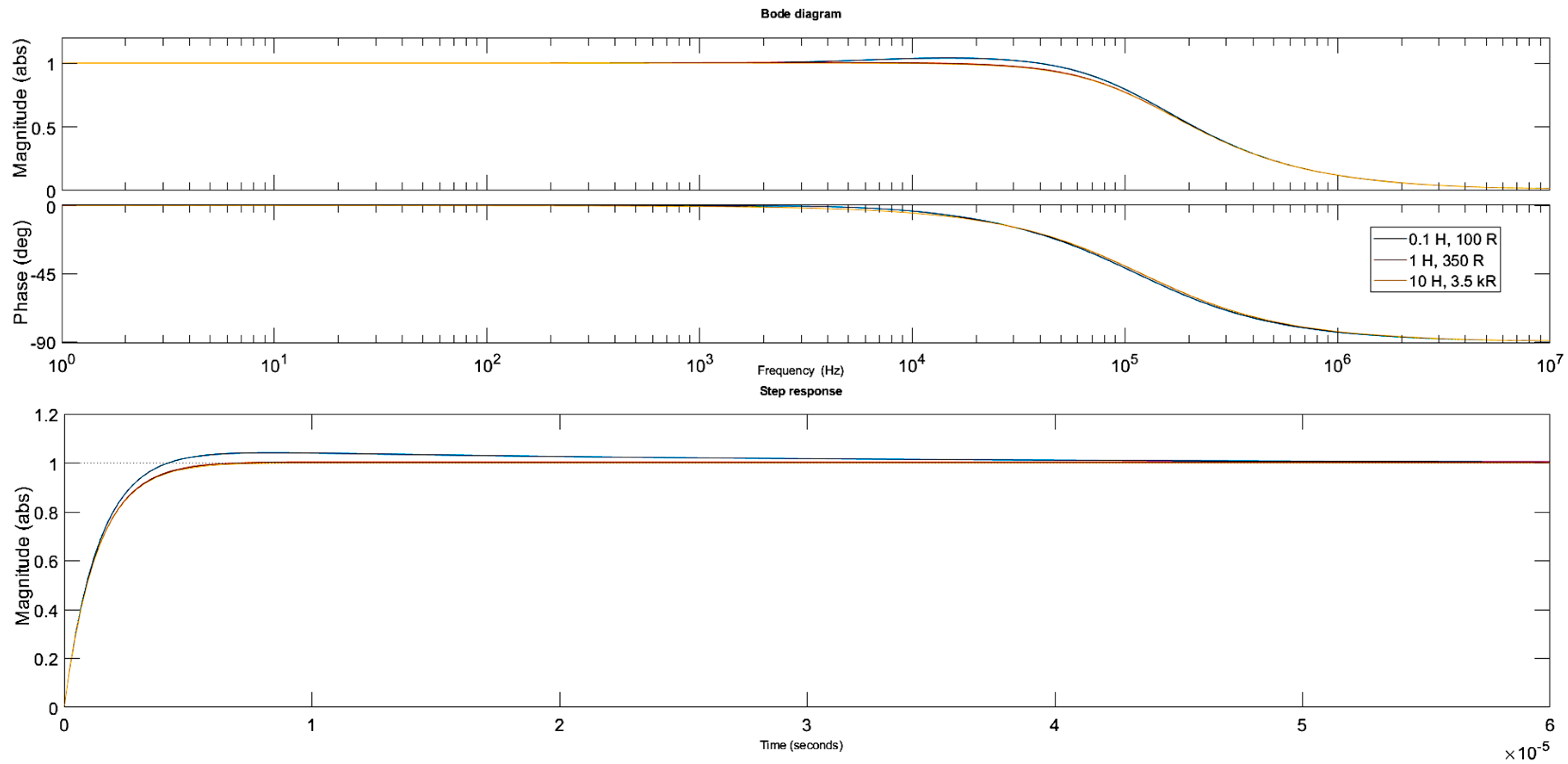
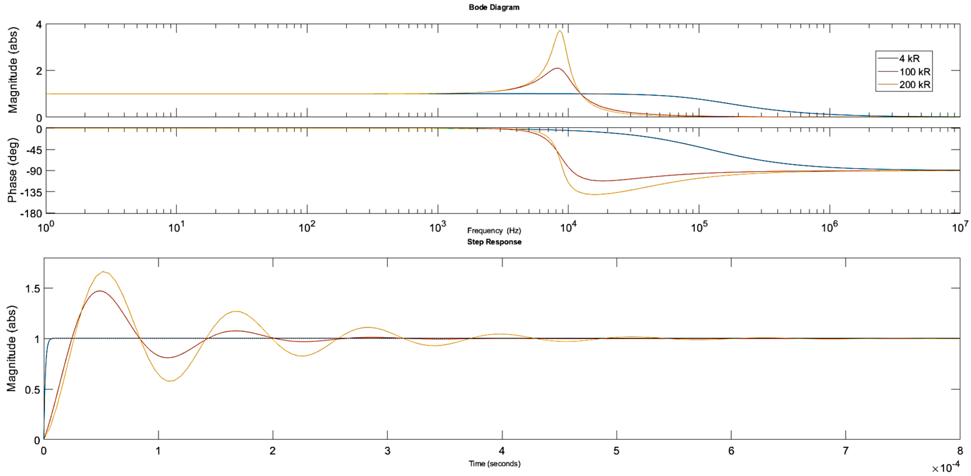
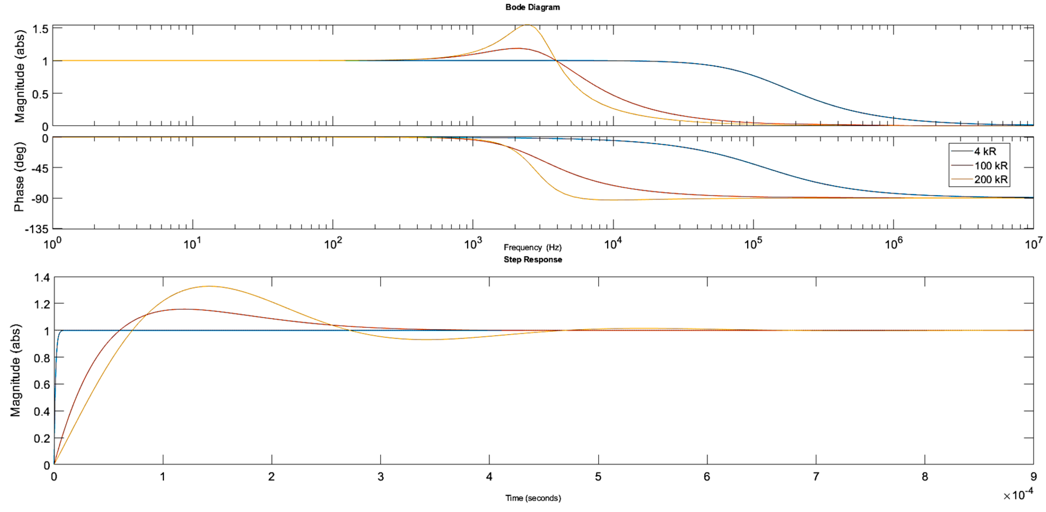
2.4. Frequency and Step Response Simulations
2.5. Lightning Waveform Simulations
2.6. Finite Element Analysis
2.7. Lightning Impulse Attenuator Construction
- A coil wound on a dedicated former;
- A ferromagnetic core made of ferrite toroids;
- High voltage (HV) resistors connected in parallel with the coil.
2.7.1. Attenuator Design
2.7.2. Inductor Construction
2.7.3. PVT Assembly
2.7.4. Lightning Impulse Tests
3. Sensor Calibration and Accuracy Testing
3.1. Experimental Setup
3.2. Sensor Calibration and Accuracy Testing
3.3. Accuracy Testing
4. Discussion
5. Conclusions
6. Patents
Dataset
Author Contributions
Funding
Acknowledgments
Conflicts of Interest
Abbreviations
| DMM | digital multimeter |
| DUT | device under test |
| FBG | fiber Bragg grating |
| GPIB | general purpose interface bus |
| HV | high voltage |
| ID/OD | inner diameter/outer diameter |
| IEC | International Electrotechnical Commission |
| MV | medium voltage |
| PC | personal computer |
| PEEK | polyether ether ketone |
| PVT | photonic voltage transducer |
| RMS | root mean square |
| USB | universal serial bus |
| VD | voltage divider |
References
- Gan, G.K.; Silva, N.; Pudjianto, D.; Strbac, G.; Ferris, R.; Foster, I.; Aten, M. Evaluation of alternative distribution network design strategies. In Proceedings of the IET Conference Publications, Prague, Czech Republic, 8–11 June 2009. [Google Scholar]
- Wang, L. The Fault Causes of Overhead Lines in Distribution Network. MATEC Web Conf. 2016, 61, 02017. [Google Scholar] [CrossRef]
- Lehtonen, M. Fault rates of different types of medium voltage power lines in different environments. In Proceedings of the 2010 Electric Power Quality and Supply Reliability Conference, Kuressaare, Estonia, 16–18 June 2010; pp. 197–202. [Google Scholar] [CrossRef]
- Haes Alhelou, H.; Hamedani-Golshan, M.; Njenda, T.; Siano, P. A Survey on Power System Blackout and Cascading Events: Research Motivations and Challenges. Energies 2019, 12, 682. [Google Scholar] [CrossRef]
- IEC. Instrument Transformers—Part 7: Electronic Voltage Transformers; IEC 60044; IEC: Geneva, Switzerland, 1999. [Google Scholar]
- Phadke, A.G.; Wall, P.; Ding, L.; Terzija, V. Improving the performance of power system protection using wide area monitoring systems. J. Mod. Power Syst. Clean Energy 2016, 4, 319–331. [Google Scholar] [CrossRef]
- Terzija, V.; Valverde, G.; Cai, D.; Regulski, P.; Madani, V.; Fitch, J.; Skok, S.; Begovic, M.M.; Phadke, A. Wide-Area Monitoring, Protection, and Control of Future Electric Power Networks. Proc. IEEE 2011, 99, 80–93. [Google Scholar] [CrossRef]
- Orr, P.; Fusiek, G.; Niewczas, P.; Booth, C.D.; Dysko, A.; Kawano, F.; Nishida, T.; Beaumont, P. Distributed Photonic Instrumentation for Power System Protection and Control. IEEE Trans. Instrum. Meas. 2015, 64, 19–26. [Google Scholar] [CrossRef]
- Nelson, J.; Fusiek, G.; Clayburn, L.; Niewczas, P.; Booth, C.; Orr, P.; Gordon, N. Development and testing of optically-interrogated current sensors. In Proceedings of the 2016 IEEE International Workshop on Applied Measurements for Power Systems (AMPS), Aachen, Germany, 28–30 September 2016; IEEE: New York, NY, USA, 2016; pp. 1–5. [Google Scholar]
- Fusiek, G.; Nelson, J.; Niewczas, P.; Havunen, J.; Suomalainen, E.-P.; Hallstrom, J. Optical voltage sensor for MV networks. In Proceedings of the 2017 IEEE Sensors, Glasgow, UK, 29 October–1 November 2017; IEEE: New York, NY, USA, 2017; pp. 1–3. [Google Scholar]
- Fusiek, G.; Niewczas, P.; Gordon, N.; Orr, P.; Clarkson, P. 132 kV optical voltage sensor for wide area monitoring, protection and control applications. In Proceedings of the I2MTC 2020—2020 IEEE International Instrumentation and Measurement Technology Conference, Dubrovnik, Croatia, 25–28 May 2020. [Google Scholar]
- Fusiek, G.; Nelson, J.; Orr, P.; Niewczas, P.; Booth, C. Frequency characterisation of an optically-interrogated Rogowski coil for smart grid protection applications. In Proceedings of the 2015 IEEE Sensors, Busan, Korea, 1–4 November 2015; IEEE: New York, NY, USA, 2015; pp. 1–4. [Google Scholar]
- Peddigari, M.; Kim, G.-Y.; Park, C.H.; Min, Y.; Kim, J.-W.; Ahn, C.-W.; Choi, J.-J.; Hahn, B.-D.; Choi, J.-H.; Park, D.-S.; et al. A Comparison Study of Fatigue Behavior of Hard and Soft Piezoelectric Single Crystal Macro-Fiber Composites for Vibration Energy Harvesting. Sensors 2019, 19, 2196. [Google Scholar] [CrossRef] [PubMed]
- Guillon, O.; Thiebaud, F.; Perreux, D. Tensile fracture of soft and hard PZT. Int. J. Fract. 2002. [Google Scholar] [CrossRef]
- Physik Instrumente Ltd. Available online: http://www.piceramic.com/product-detail-page/p-882 (accessed on 11 June 2020).
- Matsugasaki, N.; Shinyama, K.; Fujita, S. Dielectric breakdown and mechanical properties of polylactic acid of different spherulite sizes. IEEJ Trans. Electr. Electron. Eng. 2013, 8, S106–S107. [Google Scholar] [CrossRef]
- Wheeler, H.A. Simple Inductance Formulas for Radio Coils. Proc. IRE 1928, 16, 1398–1400. [Google Scholar] [CrossRef]
- Wheeler, H.A. Discussion on simple inductance formulas for radio coils. Proc. Inst. Radio Eng. 1929, 17, 580–582. [Google Scholar]
- Magnetics. Available online: https://www.mag-inc.com/Media/Magnetics/Datasheets/ZW42508TC.pdf (accessed on 11 June 2020).
- IEC. High-Voltage Test Techniques—Part 1: General Definitions and Test Requirements; IEC 60060; IEC: Geneva, Switzerland, 2010. [Google Scholar]
- IEC. High-Voltage Test Techniques—Part 2: Measuring Systems; IEC 60060; IEC: Geneva, Switzerland, 2011. [Google Scholar]
- IEC. TC 38 Work Programme. Available online: https://www.iec.ch/dyn/www/f?p=103:23:0::::FSP_ORG_ID:1241 (accessed on 20 June 2020).



























| Primary Rated Voltage (kV) | Voltage Factor 1.2 (kV) | Voltage Factor 1.5 (kV) | Highest Voltage for Equipment (rms) (kV) | Rated Power-Frequency withstand Voltage (rms) (kV) | Rated Lightning-Impulse withstand Voltage (peak) (kV) |
|---|---|---|---|---|---|
| 6.35 | 7.6 | 9.5 | 12 | 28 | 60 or 75 |
| Accuracy Class | Up/Upn | ||||||||
|---|---|---|---|---|---|---|---|---|---|
| 2 | 5 | X (1) | |||||||
| εu % ± | φe Minutes ± | φe Centiradians ± | εu % ± | φe Minutes ± | φe Centiradians ± | εu % ± | φe Minutes ± | φe Centiradians ± | |
| 3P | 6 | 240 | 7 | 3 | 120 | 3.5 | 3 | 120 | 3.5 |
| 6P | 12 | 480 | 14 | 6 | 240 | 7 | 6 | 240 | 7 |
| Accuracy Class | εu Percentage Voltage (Ratio) Error ± | φe Phase Error ± | |
|---|---|---|---|
| Minutes | Centiradians | ||
| 0.1 | 0.1 | 5 | 0.15 |
| 0.2 | 0.2 | 10 | 0.3 |
| 0.5 | 0.5 | 20 | 0.6 |
| 1.0 | 1.0 | 40 | 1.2 |
| 3.0 | 3.0 | Not specified | |
| Cross-Sectional Area (mm2) | 1256 |
|---|---|
| Thickness (mm) | 40 |
| Piezoelectric charge constant d33 (pm/V) | 265 |
| Resistance Rp (MΩ) | 200 |
| Capacitance Cp (nF) | 0.33 |
| Strain-to-voltage sensitivity (nε/V) | 13.3 |
| Maximum permissible electric field strength of the material (kV/mm) | 2.5 |
| Maximum compressive stress (MPa) | 100 |
| Maximum tensile stress (MPa) | 10 |
© 2020 by the authors. Licensee MDPI, Basel, Switzerland. This article is an open access article distributed under the terms and conditions of the Creative Commons Attribution (CC BY) license (http://creativecommons.org/licenses/by/4.0/).
Share and Cite
Fusiek, G.; Niewczas, P. Photonic Voltage Transducer with Lightning Impulse Protection for Distributed Monitoring of MV Networks. Sensors 2020, 20, 4830. https://doi.org/10.3390/s20174830
Fusiek G, Niewczas P. Photonic Voltage Transducer with Lightning Impulse Protection for Distributed Monitoring of MV Networks. Sensors. 2020; 20(17):4830. https://doi.org/10.3390/s20174830
Chicago/Turabian StyleFusiek, Grzegorz, and Pawel Niewczas. 2020. "Photonic Voltage Transducer with Lightning Impulse Protection for Distributed Monitoring of MV Networks" Sensors 20, no. 17: 4830. https://doi.org/10.3390/s20174830
APA StyleFusiek, G., & Niewczas, P. (2020). Photonic Voltage Transducer with Lightning Impulse Protection for Distributed Monitoring of MV Networks. Sensors, 20(17), 4830. https://doi.org/10.3390/s20174830
