Analysis of the Kinetics of Swimming Pool Water Reaction in Analytical Device Reproducing Its Circulation on a Small Scale
Abstract
1. Introduction
- Chloramines, which are formed as a result of the reaction of chlorine with ammonium nitrogen (e.g., present in sweat or urine) in the water. They cause a characteristic “chlorine smell” in the pool. Carbon filters and water irradiation with ultraviolet UV light in pool water treatment plants remove chloramines from pool water. As a result, the concentration of chloramine in the pool air is minimized [15,16,17]. In humans, chloramines can irritate the conjunctiva of eyes. Red eyes are often the result of a longer time spent in the pool.
- Trihalomethanes, which are a by-product of chlorine disinfection of the pool water. While determining THMs in water and air there are four main compounds: chloroform, bromoform, dibromochloroform, and bromodichloroform, of which the first one is the most popular (part in mixture 71–72%) [18,19,20,21]. Chloroform is an organic compound, which is insoluble in water, volatile, and heavier than air, through which it easily passes from liquid to gaseous phase, and its higher concentrations can be observed just above the water surface, i.e., in the main area of human presence. Its concentration in the air is much higher in indoor pools than in outdoor pools [22].
2. Analytical Device of the Pool Technology
2.1. Elements of the Analytical Device
2.2. Sensors and Measurement Probes
Control System
- automatic control of the device’s work and monitoring of the control process,
- control of devices (agitator speed and circulating pump capacity) in manual operation, and
- communication with the controller module in order to obtain data on water parameters.
- HMI panel (SIMATIC HMI 7” touch panel): it is connected to driver with the Profinet protocol. The HMI panel is an operator interface; it ensures selection of appropriate operational algorithm, current change of operational parameters, as well as illustration of key functions and states of the analytical device control system; and
- agitator speed and pump capacity monitor: is a system based on Raspberry Pi 3 computer. The task of the Raspberry Pi is to conduct appropriate calculations based on data from sensors (flow meter and speed sensor) and display the agitator speed [Revolutions Per Minute] and circulating pump capacity [mL × min].
3. Operational Algorithm of An Analytical Device
- Initialization, where the initial values are set (e.g., initial agitator speed and valve states).
- STEP 1: in which the operator decides whether to fill the device with pool water or sewage water, and, after approving the selection, the filling valve is opened until the level determined by the upper level sensor is reached. After filling the device, the reactor and measurement probes are rinsed, for this purpose the agitator and circulation pump are started, and the drain valve is opened.
- STEP 2: in which the analytical device is refilled with water, the circulation pump and the agitator are started, the flow meter is used to check the parameters of liquid flow through the measuring probes, and the obtained results are compared with the reference values.
- STEP 3: in which the main measurement is carried out. In this step, the current water parameters (free chlorine concentration) are compared with assumed parameters and by means of a dosing pump the appropriate chlorine portions are added so that the water parameters are in accordance with expected.
- STEP 4: in which the device is rinsed before the next measurement series begins. For this purpose, the drain valve of the reactor is opened, after complete emptying of the reactor, indicated by a lower level sensor, the drain valve is closed and the station is ready for operation. In this step, the measuring probe tank is not emptied.
- VPP screen
- SEQ screen
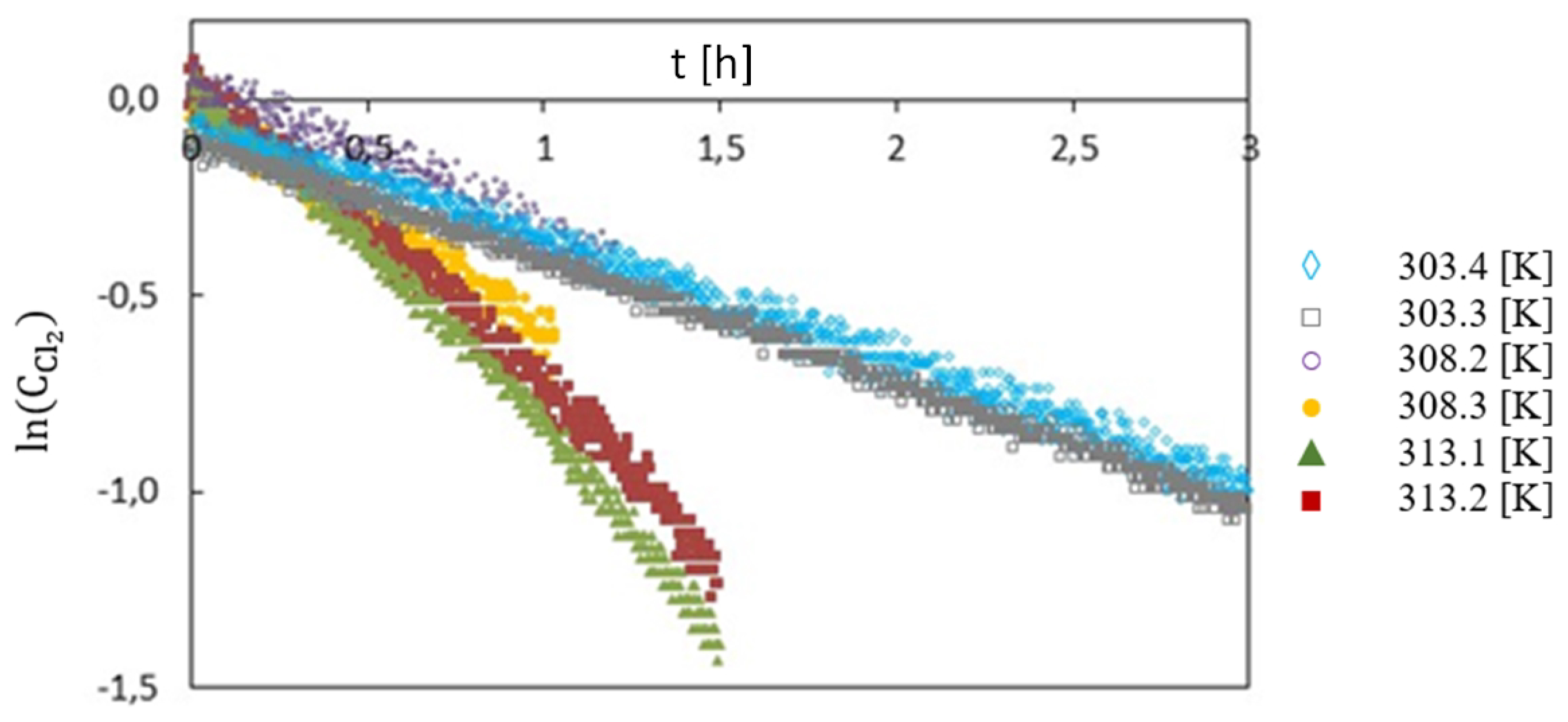
4. Results
5. Discussion
6. Conclusions
Author Contributions
Funding
Conflicts of Interest
References
- Rozpȩdek, W. What’s Lurking in the Water? — Interview with Dr. Monika Brzychczy-Włoch. (In Polish). Available online: https://biotechnologia.pl/biotechnologia/co-czyha-w-wodzie-rozmowa-z-dr-monika-brzychczy-wloch,14438 (accessed on 1 July 2020).
- Schlegel, H. General Microbiology; PWN Scientific Publishing House: Warsaw, Poland, 2000. [Google Scholar]
- Sinclair, R.; Jones, E.; Gerba, C. Viruses in recreational water-borne disease outbreaks: A review. J. Appl. Microbiol. 2009, 107, 1769–1780. [Google Scholar] [CrossRef]
- Leoni, E.; Catalani, F.; Marini, S.; Dallolio, L. Legionellosis Associated with Recreational Waters: A Systematic Review of Cases and Outbreaks in Swimming Pools, Spa Pools, and Similar Environments. Int. J. Environ. Res. Public Health 2018, 15, 1612. [Google Scholar] [CrossRef]
- Barna, Z.; Kádár, M. The risk of contracting infectious diseases in public swimming pools: A review. Ann. Dell’Istituto Super. Sanita 2012, 48, 374–386. [Google Scholar] [CrossRef]
- Zwiener, C.; Richardson, S.D.; De Marini, D.M.; Grummt, T.; Glauner, T.; Frimmel, F.H. Drowning in Disinfection Byproducts? Assessing Swimming Pool Water. Environ. Sci. Technol. 2007, 41, 363–372. [Google Scholar] [CrossRef]
- Boudenne, J.-L. Risques Sanitaires Liés Aux Piscines: Évaluation des Risques Sanitaires Liés Aux Piscines—Partie 1 Piscines Réglementées; Technical Report; Agence française de sécurité sanitaire de l’environnement et du travail: Maisons-Alfort, France, 2010; Available online: https://www.anses.fr/fr/system/files/EAUX2007sa0409Ra.pdf (accessed on 26 August 2020).
- Goodman, M.; Hays, S. Asthma and Swimming: A Meta-Analysis. J. Asthma 2008, 45, 639–647. [Google Scholar] [CrossRef]
- Jacobs, J.H.; Spaan, S.; van Rooy, G.B.G.J.; Meliefste, C.; Zaat, V.A.C.; Rooyackers, J.M.; Heederik, D. Exposure to trichloramine and respiratory symptoms in indoor swimming pool workers. Eur. Respir. J. 2007, 29, 690–698. [Google Scholar] [CrossRef]
- Stav, D.; Stav, M. Asthma and Whirlpool Baths. N. Engl. J. Med. 2005, 353, 1635–1636. [Google Scholar] [CrossRef]
- Weisel, C.P.; Richardson, S.D.; Nemery, B.; Aggazzotti, G.; Baraldi, E.; Blatchley, E.R.; Blount, B.C.; Carlsen, K.H.; Eggleston, P.A.; Frimmel, F.H.; et al. Childhood Asthma and Environmental Exposures at Swimming Pools: State of the Science and Research Recommendations. Environ. Health Perspect. 2009, 117, 500–507. [Google Scholar] [CrossRef]
- Bernard, A. Lung hyperpermeability and asthma prevalence in schoolchildren: Unexpected associations with the attendance at indoor chlorinated swimming pools. Occup. Environ. Med. 2003, 60, 385–394. [Google Scholar] [CrossRef]
- Bernard, A.; Carbonnelle, S.; de Burbure, C.; Michel, O.; Nickmilder, M. Chlorinated Pool Attendance, Atopy, and the Risk of Asthma during Childhood. Environ. Health Perspect. 2006, 114, 1567–1573. [Google Scholar] [CrossRef]
- Daiber, E.J.; DeMarini, D.M.; Ravuri, S.A.; Liberatore, H.K.; Cuthbertson, A.A.; Thompson-Klemish, A.; Byer, J.D.; Schmid, J.E.; Afifi, M.Z.; Blatchley, E.R.; et al. Progressive Increase in Disinfection Byproducts and Mutagenicity from Source to Tap to Swimming Pool and Spa Water: Impact of Human Inputs. Environ. Sci. Technol. 2016, 50, 6652–6662. [Google Scholar] [CrossRef]
- Cheema, W.A.; Kaarsholm, K.M.; Andersen, H.R. Combined UV treatment and ozonation for the removal of by-product precursors in swimming pool water. Water Res. 2017, 110, 141–149. [Google Scholar] [CrossRef]
- Zare Afifi, M.; Blatchley, E.R. Effects of UV-based treatment on volatile disinfection byproducts in a chlorinated, indoor swimming pool. Water Res. 2016, 105, 167–177. [Google Scholar] [CrossRef]
- E, Y.; Bai, H.; Lian, L.; Li, J.; Blatchley, E.R. Effect of chloride on the formation of volatile disinfection byproducts in chlorinated swimming pools. Water Res. 2016, 105, 413–420. [Google Scholar] [CrossRef]
- Czajka, K.; Sziwa, D.; Latour, T.; Adamczewska, M. The study of contents of trihalomethanes in brine of a therapeutic swimming pool and in the swimming pool hall air. Rocz. Panstw. Zakl. Hig. 2003, 54, 109–117. [Google Scholar]
- Piotrowska, A.; Szczechowiak, E. Trihalomethanes in indoor swimming pool. Origin, measurement, toxicity and removal. Ciepłownictwo Ogrzew. Went. 2014, 45, 397–402. (In Polish) [Google Scholar]
- Piotrowska, A.; Szczechowiak, E. The impact of water treatment plant and ventilation system on the presence of trihalomethanes in a indoor swimming pool environment. Ciepłownictwo Ogrzew. Went. 2014, 45, 432–439. (In Polish) [Google Scholar]
- Aggazzotti, G.; Fantuzzi, G.; Righi, E.; Predieri, G. Blood and breath analyses as biological indicators of exposure to trihalomethanes in indoor swimming pools. Sci. Total Environ. 1998, 217, 155–163. [Google Scholar] [CrossRef]
- Sokołowski, C. Sanitary and Hygienic Requirements for Indoor Swimming Pools; Technical Report; Department of Public Health: Warsaw, Poland, 1998.
- Tardif, R.; Catto, C.; Haddad, S.; Simard, S.; Rodriguez, M. Assessment of air and water contamination by disinfection by-products at 41 indoor swimming pools. Environ. Res. 2016, 148, 411–420. [Google Scholar] [CrossRef]
- Bożym, M.; Kłosok-Bazan, I.; Wzorek, M. Analyzing THM Concentrations in Selected Indoor Swimming Pool Waters in the Opole Region. Pol. J. Environ. Stud. 2018, 27, 1001–1008. [Google Scholar] [CrossRef]
- Yang, L.; Schmalz, C.; Zhou, J.; Zwiener, C.; Chang, V.W.; Ge, L.; Wan, M.P. An insight of disinfection by-product (DBP) formation by alternative disinfectants for swimming pool disinfection under tropical conditions. Water Res. 2016, 101, 535–546. [Google Scholar] [CrossRef]
- Manasfi, T.; Coulomb, B.; Boudenne, J.L. Occurrence, origin, and toxicity of disinfection byproducts in chlorinated swimming pools: An overview. Int. J. Hyg. Environ. Health 2017, 220, 591–603. [Google Scholar] [CrossRef]
- Weaver, W.A.; Li, J.; Wen, Y.; Johnston, J.; Blatchley, M.R.; Blatchley, E.R., III. Volatile disinfection by-product analysis from chlorinated indoor swimming pools. Water Res. 2009, 43, 3308–3318. [Google Scholar] [CrossRef]
- Yeh, R.Y.; Farré, M.J.; Stalter, D.; Tang, J.Y.; Molendijk, J.; Escher, B.I. Bioanalytical and chemical evaluation of disinfection by-products in swimming pool water. Water Res. 2014, 59, 172–184. [Google Scholar] [CrossRef]
- Wang, X.; M I, G.L.; Zhang, X.; Yang, H.; Xie, Y. Haloacetic acids in swimming pool and spa water in the United States and China. Front. Environ. Sci. Eng. 2014, 8, 820–824. [Google Scholar] [CrossRef]
- Ordinance of the Minister of Health of November 9, 2015 on the Requirements for Swimming Pool Water; MIN. of HEALTH: Warsaw, Poland, 2015. (In Polish)
- Simard, S.; Tardif, R.; Rodriguez, M.J. Variability of chlorination by-product occurrence in water of indoor and outdoor swimming pools. Water Res. 2013, 47, 1763–1772. [Google Scholar] [CrossRef]
- Weng, S.; Sun, P.; Ben, W.; Huang, C.H.; Lee, L.T.; Blatchley, E.R., III. The Presence of Pharmaceuticals and Personal Care Products in Swimming Pools. Environ. Sci. Technol. Lett. 2014, 1, 495–498. [Google Scholar] [CrossRef]
- Babaei, A.A.; Atari, L.; Ahmadi, M.; Ahmadiangali, K.; Zamanzadeh, M.; Alavi, N. Trihalomethanes formation in Iranian water supply systems: Predicting and modeling. J. Water Health 2015, 13, 859–869. [Google Scholar] [CrossRef]
- Schoefer, Y.; Zutavern, A.; Brockow, I.; Schäfer, T.; Krämer, U.; Schaaf, B.; Herbarth, O.; von Berg, A.; Wichmann, H.E.; Heinrich, J. Health risks of early swimming pool attendance. Int. J. Hyg. Environ. Health 2008, 211, 367–373. [Google Scholar] [CrossRef]
- Voisin, C.; Sardella, A.; Marcucci, F.; Bernard, A. Infant swimming in chlorinated pools and the risks of bronchiolitis, asthma and allergy. Eur. Respir. J. 2010, 36, 41–47. [Google Scholar] [CrossRef]
- Andersson, M.; Hedman, L.; Nordberg, G.; Forsberg, B.; Eriksson, K.; Rönmark, E. Swimming pool attendance is related to asthma among atopic school children: A population-based study. Environ. Health 2015, 14, 37. [Google Scholar] [CrossRef]
- Font-Ribera, L.; Kogevinas, M.; Zock, J.P.; Nieuwenhuijsen, M.J.; Heederik, D.; Villanueva, C.M. Swimming pool attendance and risk of asthma and allergic symptoms in children. Eur. Respir. J. 2009, 34, 1304–1310. [Google Scholar] [CrossRef]
- Pančík, J.; Maxera, P. Control of Hydraulic Pulse System Based on the PLC and State Machine Programming. Designs 2018, 2, 48. [Google Scholar] [CrossRef]
- Mystkowski, A.; Kierdelewicz, A. Fractional-Order Water Level Control Based on PLC: Hardware-In-The-Loop Simulation and Experimental Validation. Energies 2018, 11, 2928. [Google Scholar] [CrossRef]
- González, I.; Calderón, A.; Mejías, A.; Andújar, J. Novel Networked Remote Laboratory Architecture for Open Connectivity Based on PLC-OPC-LabVIEW-EJS Integration. Application in Remote Fuzzy Control and Sensors Data Acquisition. Sensors 2016, 16, 1822. [Google Scholar] [CrossRef]
- Kaczmarek, W.; Borys, S.; Panasiuk, J.; Majsterek, M.; Pobudkowska, A. Studies on the work characteristics of amperometric free chlorine probes. Aip Conf. Proc. 2018, 2029, 020026. [Google Scholar] [CrossRef]
- Kaczmarek, W.; Borys, S. Design of an analytical system for swimming pool water circulation in a small scale, excluding the filtration and disinfection system. PRZEGLA̧D Mech. 2018, 1, 33–35. (In Polish) [Google Scholar] [CrossRef]
- Depolox ® Pool Compact Wallace & Tiernan® Measuring, Control and Dosing System; Evoqua Water Technologies: Gunzburg, Germany, 2020; Available online: https://trility.com.au/wp-content/uploads/Depolox-Pool-Compact-OM-Manual.pdf (accessed on 26 August 2020).
- Berger, H. Automating with SIMATIC S7-1200: Configuring, Programming and Testing with STEP 7 Basic; Publicis MCD Verlag: Erlangen, Germany, 2018. [Google Scholar]
- Stenerson, J.; Deeg, D. Siemens Step 7 (TIA Portal) Programming, a Practical Approach; CreateSpace Independent Publishing Platform: Scotts Valley, CA, USA, 2015. [Google Scholar]
- Doktorov, A.B. Encounter Theory of Chemical Reactions in Solution: Approximate Methods of Calculating Rate Constants. In Chemical Kinetics; Lindenberg, K., Metzler, R., Oshanin, G., Eds.; World Scientific: Singapore, 2019; pp. 35–64. [Google Scholar] [CrossRef]
- Ivanov, K.L.; Lukzen, N.N. Integral Encounter Theory: A Universal Method for Kinetic Description of Multistage Reactions in Solutions. In Chemical Kinetics; Lindenberg, K., Metzler, R., Oshanin, G., Eds.; World Scientific: Singapore, 2019; pp. 97–135. [Google Scholar] [CrossRef]













| T | k | ln k | Date | |
|---|---|---|---|---|
| [K] | [] | - | of Experiment | |
| 303.4 | 3.30 | 0.331 | −1.107 | 21.06 |
| 303.3 | 3.30 | 0.345 | −1.054 | 9.07 |
| 308.2 | 3.24 | 0.511 | −0.672 | 5.07 |
| 308.3 | 3.24 | 0.572 | −0.559 | 21.06 |
| 313.1 | 3.19 | 0.932 | −0.070 | 4.07 |
| 313.2 | 3.19 | 0.813 | −0.207 | 6.07 |
© 2020 by the authors. Licensee MDPI, Basel, Switzerland. This article is an open access article distributed under the terms and conditions of the Creative Commons Attribution (CC BY) license (http://creativecommons.org/licenses/by/4.0/).
Share and Cite
Kaczmarek, W.; Panasiuk, J.; Borys, S.; Pobudkowska, A.; Majsterek, M. Analysis of the Kinetics of Swimming Pool Water Reaction in Analytical Device Reproducing Its Circulation on a Small Scale. Sensors 2020, 20, 4820. https://doi.org/10.3390/s20174820
Kaczmarek W, Panasiuk J, Borys S, Pobudkowska A, Majsterek M. Analysis of the Kinetics of Swimming Pool Water Reaction in Analytical Device Reproducing Its Circulation on a Small Scale. Sensors. 2020; 20(17):4820. https://doi.org/10.3390/s20174820
Chicago/Turabian StyleKaczmarek, Wojciech, Jarosław Panasiuk, Szymon Borys, Aneta Pobudkowska, and Mikołaj Majsterek. 2020. "Analysis of the Kinetics of Swimming Pool Water Reaction in Analytical Device Reproducing Its Circulation on a Small Scale" Sensors 20, no. 17: 4820. https://doi.org/10.3390/s20174820
APA StyleKaczmarek, W., Panasiuk, J., Borys, S., Pobudkowska, A., & Majsterek, M. (2020). Analysis of the Kinetics of Swimming Pool Water Reaction in Analytical Device Reproducing Its Circulation on a Small Scale. Sensors, 20(17), 4820. https://doi.org/10.3390/s20174820

