QA-kNN: Indoor Localization Based on Quartile Analysis and the kNN Classifier for Wireless Networks
Abstract
1. Introduction
2. Related Works
3. Material and Methods
3.1. Experimental Scenario
3.2. Relationship between the Distance and RSSI
- Signals collected in a RP with the same distance in relation to two APs had different mean RSSI values;
- Signals collected in a RP with different distances in relation to two APs had the same average RSSI values;
- Signals collected from two RPs with the same distance in relation to an AP had different mean RSSI values;
- Signals collected from two RPs with different distances from an AP had the same average RSSI value.
3.3. Data Representation Using Quartile Analysis
3.4. Localization Method
3.4.1. Coordinates of the Majority Reference Point
3.4.2. Coordinates of the Centroid of the Reference Points
4. Experiments
4.1. Dataset
4.2. Tests
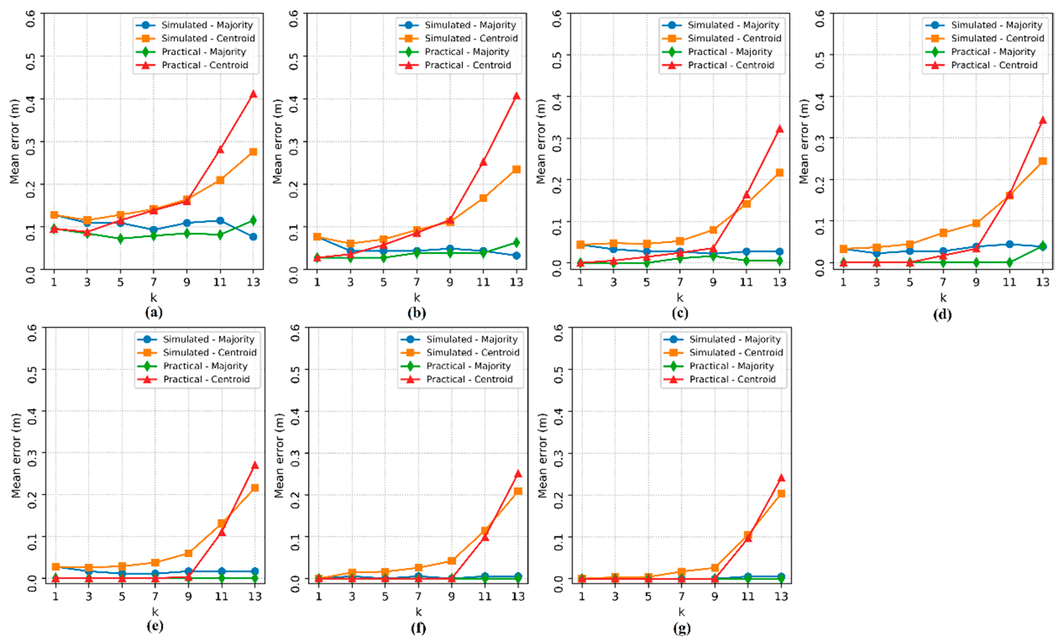
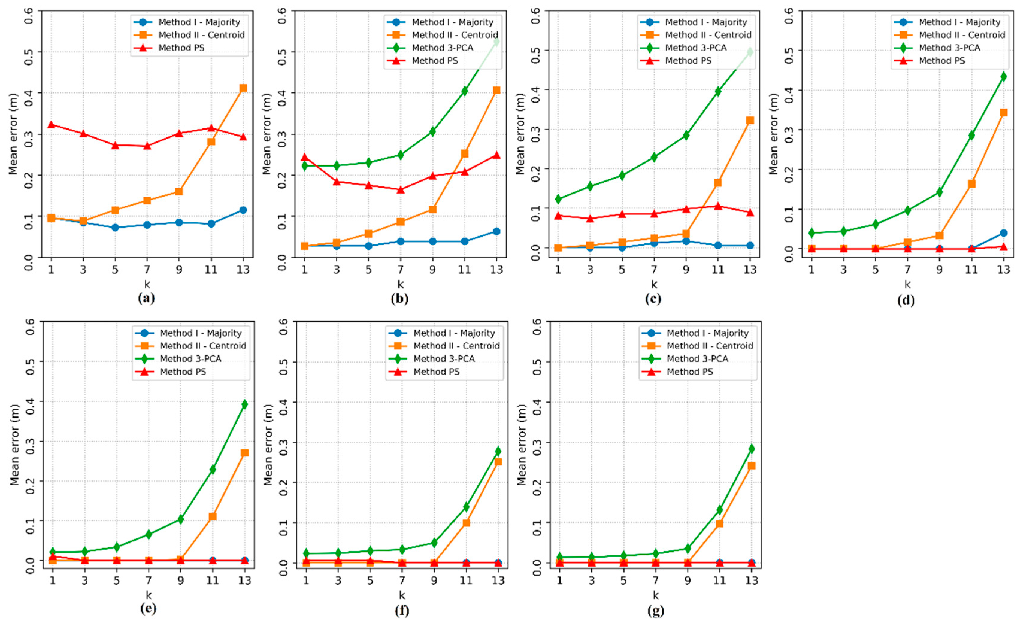
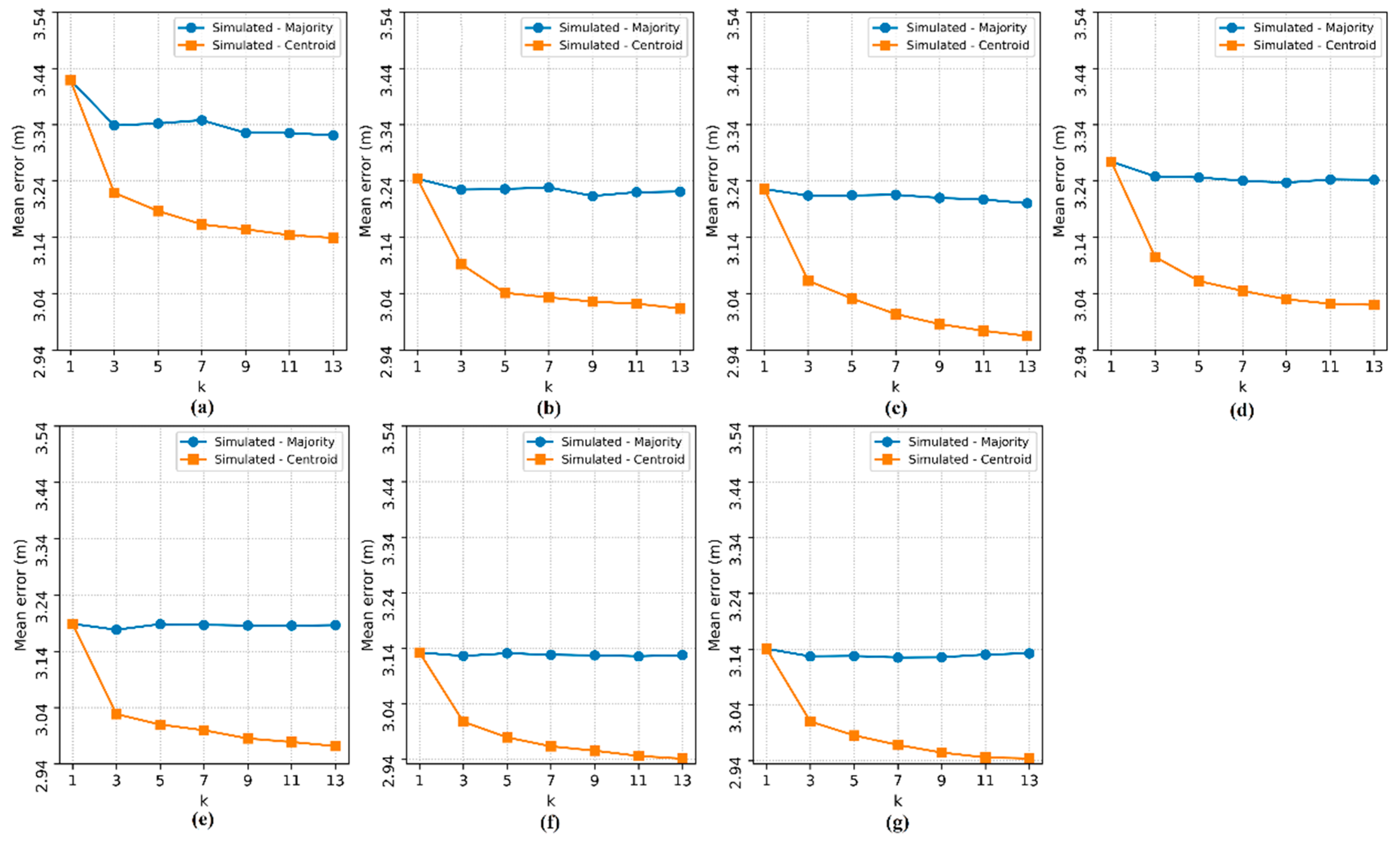
5. Results and Discussion
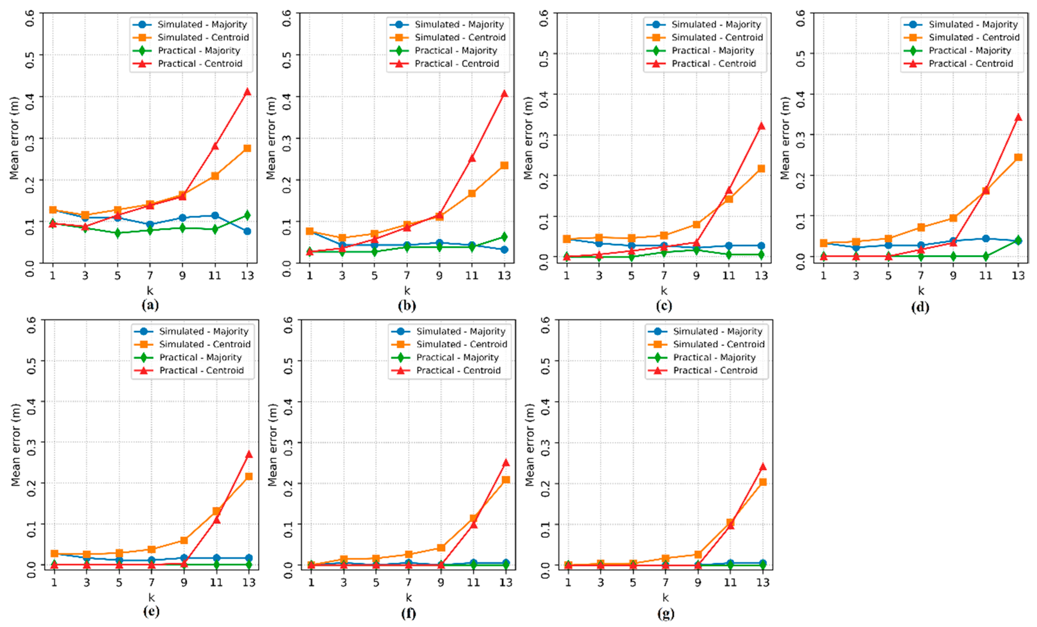
5.1. Localization Mean Error
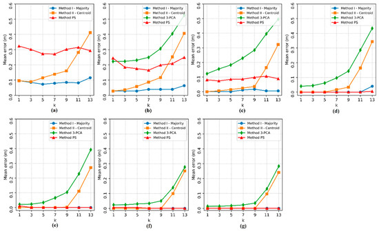
5.1.1. Variation in the Number of APs and K Hyperparameter
5.1.2. Collection Time and Processing Time
6. Simulated Experimentation
6.1. Estimation of Simulation Parameters (Propagation Loss Exponent and Shadowing)
6.2. Practical versus Simulated
6.3. Expanded Simulation
7. Conclusions
Author Contributions
Funding
Conflicts of Interest
References
- Jabraeil, M.A.J.; Bahrami, B.; Heidari, A.; Allahverdizadeh, P.; Norouzi, F. Some Cases of Smart Use of the IoT. In Towards the Internet of Things. EAI/Springer Innovations in Communication and Computing; Springer: Cham, Switzerland, 2020. [Google Scholar]
- Al-Fuqaha, A.; Guizani, M.; Mohammadi, M.; Aledhari, M.; Ayyash, M. Internet of Things: A Survey on Enabling Technologies, Protocols, and Applications. IEEE Commun. Surv. Tutor. 2015, 17, 2347–2376. [Google Scholar] [CrossRef]
- Salim, F.; Williams, M.; Sony, N.; Pena, M.D.; Petrov, Y.; Saad, A.A.; Wu, B. Visualization of Wireless Sensor Networks using Zigbee’s Received Signal Strength Indicator (RSSI) for Indoor Localization and Tracking. In Proceedings of the Second IEEE International Workshop on Social and Community Intelligence, Budapest, Hungary, 24–28 March 2014. [Google Scholar]
- Bahl, P.; Padmanabhan, V.N. RADAR: An In-Building RF-based User Location and Tracking System. In Proceedings of the IEEE INFOCOM, Tel Aviv, Israel, 30 March 2000. [Google Scholar]
- Youssef, M.A.; Agrawala, A.; Shankar, A.U. WLAN Location Determination via Clustering and Probability Distributions. In Proceedings of the IEEE PerCom, Fort Worth, TX, USA, 26 March 2003. [Google Scholar]
- Le, W.; Wang, Z.; Wang, J.; Zhao, G.; Miao, H. A novel WIFI indoor positioning method based on Genetic Algorithm and Twin Support Vector Regression. In Proceedings of the 26th Chinese Control and Decision Conference (2014 CCDC), Changsha, China, 31 May–2 June 2014; pp. 4859–4862. [Google Scholar]
- Popleteev, A.; Osmani, V.; Mayora, O. Investigation of indoor localization with ambient FM radio stations. In Proceedings of the 2012 IEEE International Conference on Pervasive Computing and Communications, Lugano, Switzerland, 19–23 March 2012; pp. 171–179. [Google Scholar]
- Kaemarungsi, K.; Krishnamurthy, P. Properties of Indoor Received Signal Strength for WLAN Location Fingerprinting. In Proceedings of the First Annual International Conference on Mobile and Ubiquitous Systems: Networking and Services (MobiQuitous’04), Boston, MA, USA, 22–25 August 2004. [Google Scholar]
- Ghourchian, N.; Allegue-Martinez, M.; Precup, D. Real-Time Indoor Localization in Smart Homes Using Semi-Supervised Learning. In Proceedings of the Twenty-Ninth AAAI Conference on Innovative Applications, San Francisco, CA, USA, 4–9 February 2017. [Google Scholar]
- Cai, X.; Li, X.; Yuan, R.; Hei, Y. Identification and mitigation of NLOS based on channel state information for indoor WiFi localization. In Proceedings of the International Conference on Wireless Communications & Signal Processing (WCSP), Nanjing, China, 15–17 October 2015; pp. 1–5. [Google Scholar]
- Kim, K.S.; Wang, R.; Zhong, Z.; Tan, Z.; Song, H.; Cha, J.; Lee, S. Largescale location-aware services in access: Hierarchical building/floor classification and location estimation using Wi-Fi fingerprinting based on deep neural networks. In Proceedings of the International Workshop on Fiber Optics in Access Network (FOAN), Munich, Germany, 6–8 November 2017; pp. 1–5. [Google Scholar]
- Labinghisa, B.; Lee, D.M. Indoor Localization Algorithm based on Predictive Path Learning in Wi-Fi Environment. In Proceedings of the Symposium of the Korean Institute of Communications and Information Sciences, Seoul, Korea, 17–19 January 2018. [Google Scholar]
- Wu, Z.; Jedari, E.; Liu, B.; Rahidzadeh, R.; Ahmadi, M. Particle Filter and Extreme Learning Machine Based Indoor Localization System. In Proceedings of the IPSN, Seattle, WA, USA, 14–16 April 2015. [Google Scholar]
- Khullar, R.; Dong, Z. Indoor localization framework with WiFi fingerprinting. In Proceedings of the 26th Wireless and Optical Communication Conference (WOCC), Newark, NJ, USA, 7–8 April 2017; pp. 1–6. [Google Scholar]
- Torres-Sospedra, J.; Montoliu, R.; Trilles, S.; Belmonte, O.; Huerta, J. Comprehensive analysis of distance and similarity measures for Wi-Fi fingerprinting indoor positioning systems. Expert Syst. Appl. 2015, 42, 9263–9278. [Google Scholar] [CrossRef]
- Salamah, A.H.; Tamazin, M.; Sharkase, M.A.; Khedr, M. An enhanced WiFi indoor localization system based on machine learning. In Proceedings of the International Conference on Indoor Positioning, and Indoor Navigation (IPIN), Alcala de Henares, Spain, 4–7 October 2016; pp. 1–8. [Google Scholar]
- Kuntal, A.; Karmakar, P. Range-Free Localization Algorithm for IEEE802.11 WLAN Based on K-NN. In Proceedings of the 6th International Conference on Computational Intelligence, Communication Systems and Networks, Tetova, Macedonia, 27–29 May 2014; pp. 164–169. [Google Scholar]
- The MathWorks Inc. Available online: https://www.mathworks.com (accessed on 21 September 2018).
- Torres-Sospedra, J.; Montoliu, R.; Martínez-Usó, A.; Avariento, J.P.; Arnau, T.J.; Benedito-Bordonau, M.; Huerta, J. UJIIndoorLoc: A new multi-building and multi-floor database for WLAN fingerprint-based indoor localization problems. In Proceedings of the 2014 International Conference on Indoor Positioning and Indoor Navigation (IPIN), Busan, Korea, 27–30 October 2014; pp. 261–270. [Google Scholar]
- Sørensen, T. A method of establishing groups of equal amplitude in plant sociology based on similarity of species content and its application to analyses of the vegetation on Danish commons. K. Dan. Vidensk. Selsk. Biol. Skr. 1948, 5, 1–34. [Google Scholar]
- Jedari, E.; Wu, Z.; Rashidzadeh, R.; Saif, M. Wi-Fi based indoor locationpositioning employing random forest classifier. In Proceedings of the International Conference on Indoor Positioning and Indoor Navigation (IPIN), Banff, AB, Canada, 13–16 October 2015; pp. 1–5. [Google Scholar]
- Witten, I.H.; Frank, E. Data Mining: Practical Machine Learning Tools and Techniques with Java Implementations, 2nd ed.; Morgan Kaufmann Publishers: San Francisco, CA, USA, 2005. [Google Scholar]
- McHugh, M.L. The Chi-square test of independence. Biochem. Med. 2013, 23, 143–149. [Google Scholar] [CrossRef] [PubMed]
- Fang, S.-H.; Lin, T.-N. Principal Component Localization in Indoor WLAN Environments. IEEE Trans. Mob. Comput. 2011, 11, 100–110. [Google Scholar] [CrossRef]
- Tang, P. Wi-Fi Fingerprint Localization Using RSSI-Probability Radio Map and AP Weight Clustering. J. Adv. Comput. Netw. 2016, 4, 121–124. [Google Scholar] [CrossRef]
- Bhattacharyya, A. On a measure of divergence between two statistical populations defined by their probability distributions. Bull. Calcutta Math. Soc. 1943, 35, 99–109. [Google Scholar]
- Barral, V.; Escudero, C.J.; García-Naya, J.A.; Maneiro-Catoira, R. NLOS Identification and Mitigation Using Low-Cost UWB Devices. Sensors 2019, 19, 3464. [Google Scholar] [CrossRef] [PubMed]
- Barral, V.; Escudero, C.J.; García-Naya, J.A.; Suárez-Casal, P. Environmental Cross-Validation of NLOS Machine Learning Classification/Mitigation with Low-Cost UWB Positioning Systems. Sensors 2019, 19, 5438. [Google Scholar] [CrossRef] [PubMed]
- NodeMCU Documentation. Available online: https://nodemcu.readthedocs.io/en/master (accessed on 1 October 2018).
- ESP8266EX Datasheet. Available online: https://www.espressif.com/sites/default/files/documentation/0a-esp8266ex_datasheet_en.pdf (accessed on 29 July 2020).
- ESP8266 Mesh User Guide. 2016. Available online: http://wiki.ai-thinker.com/media/esp8266/docs/30a-esp8266meshuserguideen.pdf (accessed on 29 July 2020).
- Isokawa, T.; Motomura, S.; Ohtsuka, J.; Kawa, H.; Nakashima, S.; Kamiura, N.; Matsui, N. An Anchor-Free Localization Scheme with Kalman Filtering in ZigBee Sensor Network. ISRN Sens. Netw. 2013, 2013, 1–11. [Google Scholar] [CrossRef]
- Parwekar, P.; Reddy, R. An efficient fuzzy localization approach in Wireless Sensor Networks. In Proceedings of the IEEE International Conference on Fuzzy Systems (FUZZIEEE), Hyderabad, India, 7–10 July 2013; pp. 1–6. [Google Scholar]
- Feng, X.; Gao, Z.; Yang, M.; Xiong, S. Fuzzy distance measuring based on RSSI in Wireless Sensor Network. In Proceedings of the 3rd International Conference on Intelligent System and Knowledge Engineering, Xiamen, China, 17–19 November 2008; pp. 395–400. [Google Scholar]
- Zhao, J.; Wang, J. WiFi indoor positioning algorithm based on machine learning. In Proceedings of the 7th IEEE International Conference on Electronics Information and Emergency Communication (ICEIEC), Macau, China, 21–23 July 2017; pp. 279–283. [Google Scholar]
- Pires, R.P.; Gracioli, G.; Wanner, L.F.; Frohlich, A.A.M. Evaluation of an RSSI-based Location Algorithm for Wireless Sensor Networks. IEEE Lat. Am. Trans. 2011, 9, 830–835. [Google Scholar] [CrossRef]
- Joarder, A.; Firozzaman, M. Quartiles for Discrete Data. Teach. Stat. 2001, 23, 86–89. [Google Scholar] [CrossRef]
- Langford, E. Quartiles in Elementary Statistics. J. Stat. Educ. 2006, 14. [Google Scholar] [CrossRef]
- Mosteller, F.; Tukey, J.W. Data analysis and regression: A second course in statistics. In Addison-Wesley Series in Behavioral Science: Quantitative Methods; Addison-Wesley Pub. Co.: Boston, MA, USA, 1977. [Google Scholar]
- Cover, T.; Hart, P. Nearest neighbor pattern classification. IEEE Trans. Inf. Theory 1967, 13, 21–27. [Google Scholar] [CrossRef]
- Lantz, B. Machine Learning with R, 2nd ed.; Packt Publishing Ltd.: Birmingham, UK, 2015. [Google Scholar]
- Wi-Fi Power in Office Dataset. 2020. Available online: https://github.com/ferreirad08/DSciBox/tree/master/datasets/Wi-FiPowerInOfficeDataset (accessed on 29 July 2020).
- Shin, B.; Lee, J.H.; Lee, T.; Kim, H.S. Enhanced weighted K-nearest neighbor algorithm for indoor Wi-Fi positioning systems. In Proceedings of the 8th International Conference on Computing Technology and Information Management (NCM and ICNIT), Seoul, Korea, 24–26 April 2012. [Google Scholar]
- Rappaport, T.S. Wireless Communications: Principles and Practice, 2nd ed.; Prentice Hall: Upper Saddle River, NJ, USA, 2002. [Google Scholar]















| Identifier | X Coordinate | Y Coordinate | Z Coordinate |
|---|---|---|---|
| Access Points | |||
| AP1 | 0.78 | 0.00 | 2.27 |
| AP2 | 2.48 | 0.00 | 2.27 |
| AP3 | 0.78 | 3.56 | 2.27 |
| AP4 | 2.48 | 3.56 | 2.27 |
| AP5 | 0.78 | 0.00 | 0.97 |
| AP6 | 2.48 | 0.00 | 0.97 |
| AP7 | 0.78 | 3.56 | 0.97 |
| AP8 | 2.48 | 3.56 | 0.97 |
| Reference Points | |||
| RP1 | 0.4375 | 0.445 | 0.87 |
| RP2 | 1.3125 | 0.445 | 0.87 |
| RP3 | 2.1875 | 0.445 | 0.87 |
| RP4 | 3.0625 | 0.445 | 0.87 |
| RP5 | 0.4375 | 1.335 | 0.87 |
| RP6 | 1.3125 | 1.335 | 0.87 |
| RP7 | 2.1875 | 1.335 | 0.87 |
| RP8 | 3.0625 | 1.335 | 0.87 |
| RP9 | 0.4375 | 2.225 | 0.87 |
| RP10 | 1.3125 | 2.225 | 0.87 |
| RP11 | 2.1875 | 2.225 | 0.87 |
| RP12 | 3.0625 | 2.225 | 0.87 |
| RP13 | 0.4375 | 3.115 | 0.87 |
| RP14 | 1.3125 | 3.115 | 0.87 |
| RP15 | 2.1875 | 3.115 | 0.87 |
| RP16 | 3.0625 | 3.115 | 0.87 |
| AP2 | |||
|---|---|---|---|
| Q1/4 (dBm) | Q2/4 (dBm) | Q3/4 (dBm) | |
| RP1 | −47.25 | −45 | −44 |
| RP2 | −45 | −45 | −44 |
| Parameter | Initial Value | Final Value | Increment |
|---|---|---|---|
| n | 2 | 8 | 1 |
| k | 1 | 13 | 2 |
| Method | Similarity Function | Data Representation | Obtaining the Coordinates | |
|---|---|---|---|---|
| Proposals | I | Euclidian distance | Quartiles analysis | Majority RP |
| II | Euclidian distance | Quartiles analysis | Centroid of RPs | |
| Literature | 3-PCA | Euclidian distance | PCA | Centroid of RPs |
| PS | Sørensen | Powed | Majority RP | |
| Method | Collection Time (ms) | Processing Time (ms) | Total (ms) |
|---|---|---|---|
| I (n = 4, k = 1) | 598.205 | 7.288 | 605.493 |
| II (n = 4, k = 1) | 598.205 | 8.390 | 606.595 |
| 3-PCA (n = 8, k = 1) | 1196.411 | 8.333 | 1204.744 |
| PS (n = 5, k = 1) | 747.757 | 8.027 | 755.784 |
© 2020 by the authors. Licensee MDPI, Basel, Switzerland. This article is an open access article distributed under the terms and conditions of the Creative Commons Attribution (CC BY) license (http://creativecommons.org/licenses/by/4.0/).
Share and Cite
Ferreira, D.; Souza, R.; Carvalho, C. QA-kNN: Indoor Localization Based on Quartile Analysis and the kNN Classifier for Wireless Networks. Sensors 2020, 20, 4714. https://doi.org/10.3390/s20174714
Ferreira D, Souza R, Carvalho C. QA-kNN: Indoor Localization Based on Quartile Analysis and the kNN Classifier for Wireless Networks. Sensors. 2020; 20(17):4714. https://doi.org/10.3390/s20174714
Chicago/Turabian StyleFerreira, David, Richard Souza, and Celso Carvalho. 2020. "QA-kNN: Indoor Localization Based on Quartile Analysis and the kNN Classifier for Wireless Networks" Sensors 20, no. 17: 4714. https://doi.org/10.3390/s20174714
APA StyleFerreira, D., Souza, R., & Carvalho, C. (2020). QA-kNN: Indoor Localization Based on Quartile Analysis and the kNN Classifier for Wireless Networks. Sensors, 20(17), 4714. https://doi.org/10.3390/s20174714

